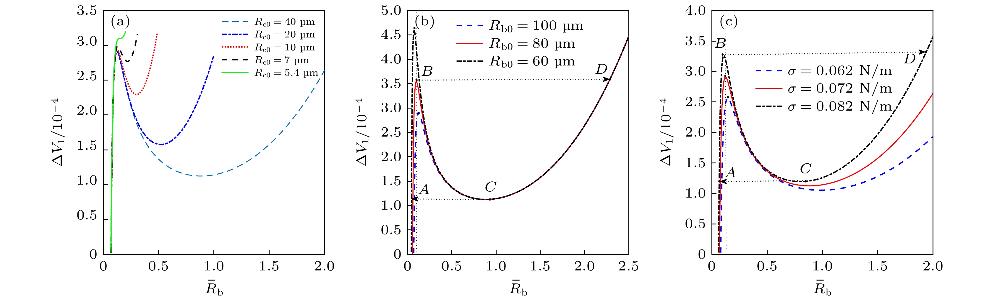
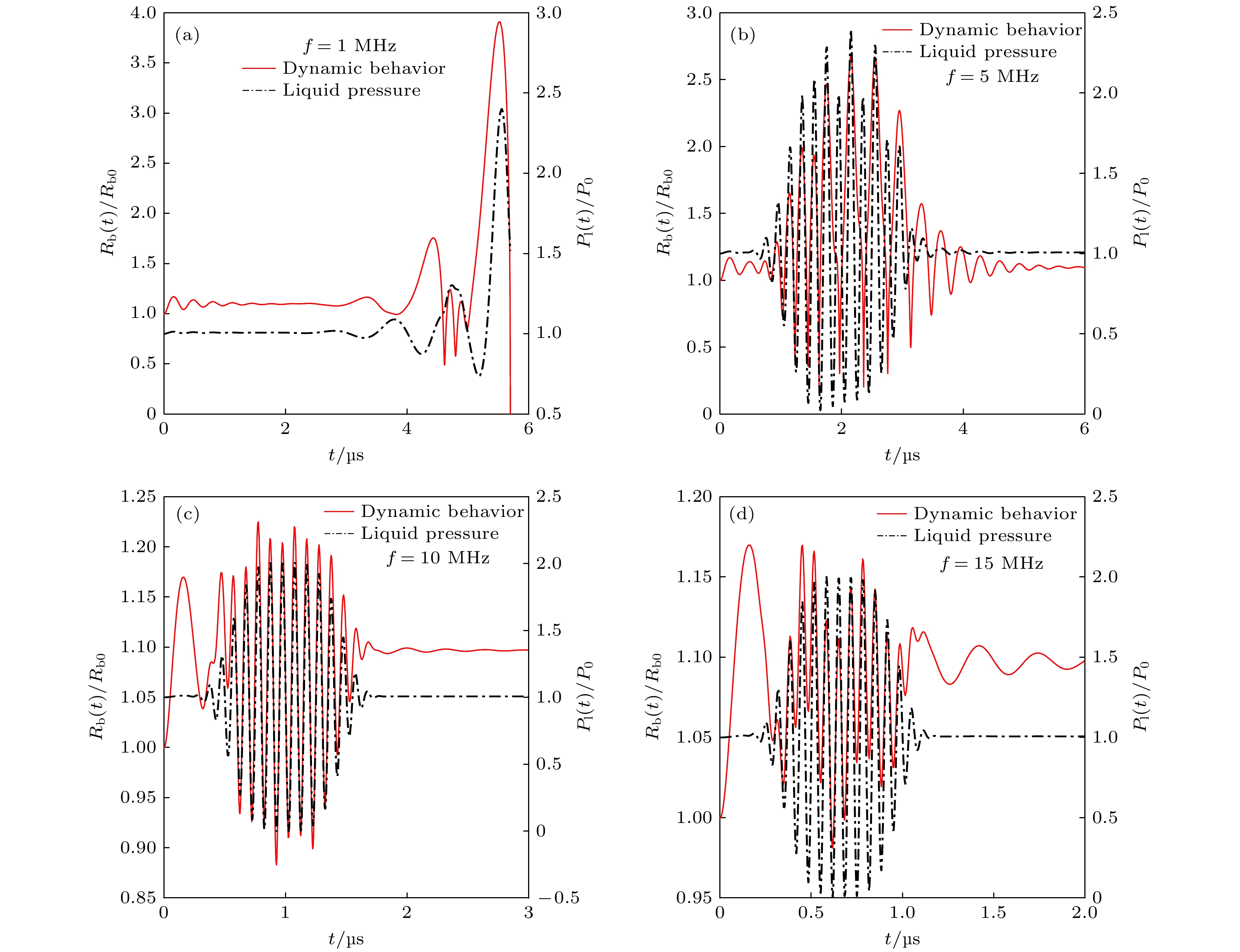
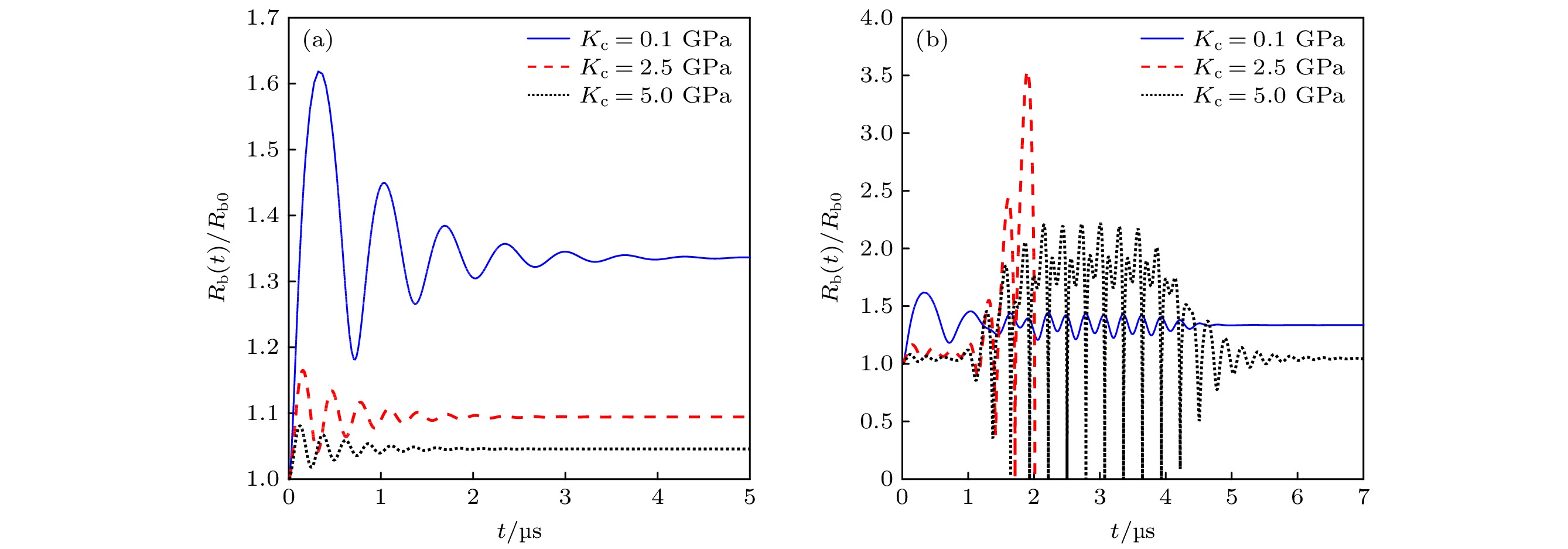
The cavitation effects occur in the ultrasound therapy technology. With the development of ultrasound therapy technology, cavitation effect in biological tissues has attracted more and more attention. The aim of the present study is to discuss the factors affecting cavitation nucleation and dynamics in tissues, and to provide a theoretical reference for the application of cavitation effects to ultrasound therapy. A model is developed for the cavitation inception in a spherical liquid cavity wrapped by an elastic medium. The Blake threshold value and the critical radius of the liquid cavity for the generation of spherical bubbles are obtained by the pressure equilibrium relationship. The effects of the excitation frequency, the volume modulus of the medium and the volume of the liquid in the cavity on the bubble vibration behavior are analyzed by deriving a bubble dynamic equation that consider the elastic effect of the medium outside the cavity using Lagrange equation. It is shown that the volume modulus, initial radius of bubble nucleus and surface tension can affect the Blake threshold pressure and bubble size, and those form a parameter reference for the control conditions that trigger or inhibit cavitation. The gas core can rapidly grow to a new equilibrium radius and oscillate under the action of an acoustic wave, and the bubble equilibrium radius is independent of the external field, but it can affect the bubble dynamic behavior. When the frequency of the ultrasonic signal is equal to the natural oscillation frequency of the bubble, the bubble collapses after several periods of intense vibration, and the pressure fluctuation in the liquid in the cavity is obvious. The response of bubbles under high frequency ultrasonic driving is relatively weak, and the oscillations of bubbles are dominated by free oscillation.