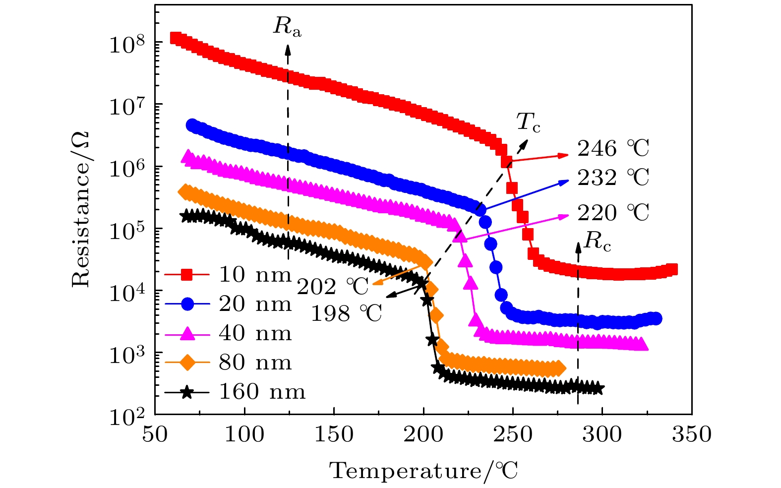
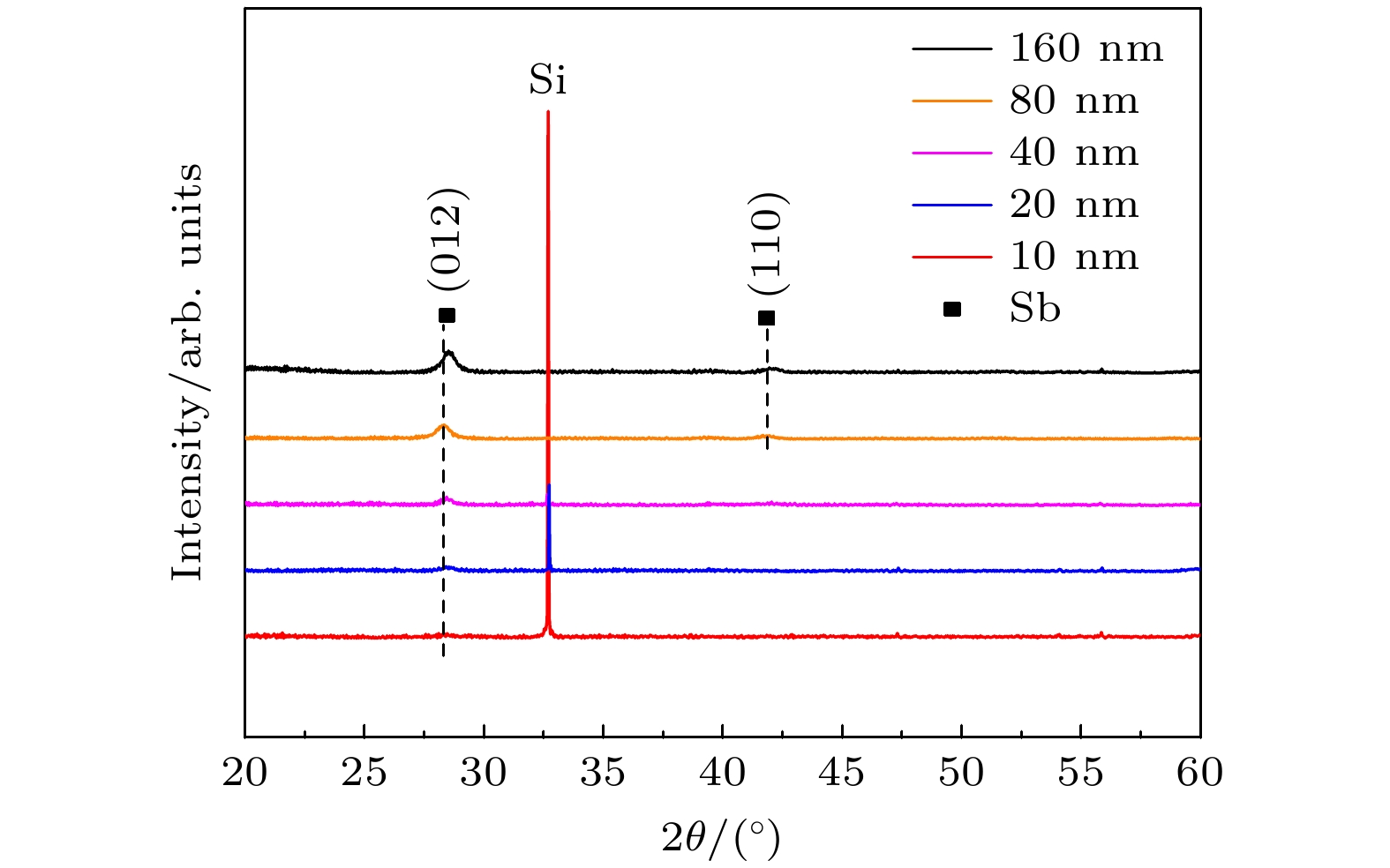
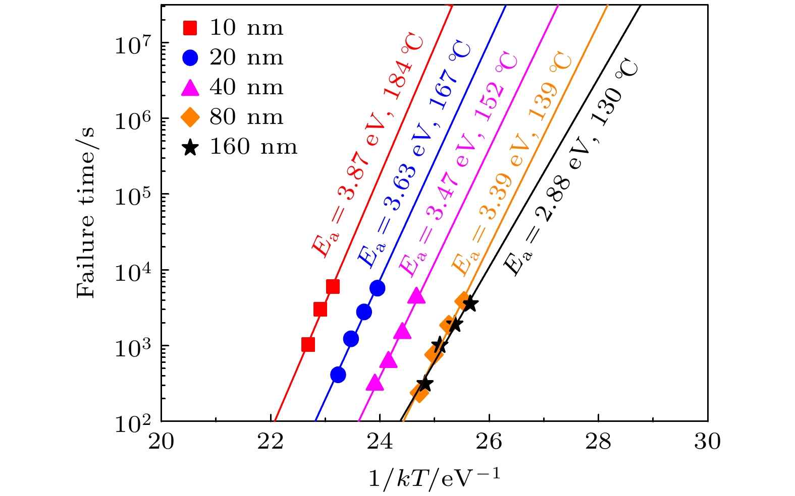
| [1] |
康亚斌, 袁小朋, 王晓波, 李克伟, 宫殿清, 程旭东.分层化金属陶瓷光热转换涂层的微结构构筑与热稳定性. 必威体育下载 , 2023, 72(5): 057103.doi:10.7498/aps.72.20221693 |
| [2] |
刘骏杭, 朱照照, 毕林竹, 王鹏举, 蔡建旺.重金属缓冲层和覆盖层对TbFeCo超薄膜磁性及热稳定性的影响. 必威体育下载 , 2023, 72(7): 077501.doi:10.7498/aps.72.20222239 |
| [3] |
刘娜, 王译, 李文波, 张丽艳, 何世坤, 赵建坤, 赵纪军.外尔半金属WTe2/Ti异质结的热稳定性拉曼散射研究. 必威体育下载 , 2022, 71(19): 197501.doi:10.7498/aps.71.20220712 |
| [4] |
王晓波, 李克伟, 高丽娟, 程旭东, 蒋蓉.耐高温CrAlON基太阳能光谱选择性吸收涂层的制备与热稳定性. 必威体育下载 , 2021, 70(2): 027103.doi:10.7498/aps.70.20200845 |
| [5] |
朱小芹, 胡益丰.Ge50Te50/Zn15Sb85纳米复合多层薄膜在高热稳定性和低功耗相变存储器中的应用. 必威体育下载 , 2020, 69(14): 146101.doi:10.7498/aps.69.20200502 |
| [6] |
刘乐, 汤建, 王琴琴, 时东霞, 张广宇.石墨烯封装单层二硫化钼的热稳定性研究. 必威体育下载 , 2018, 67(22): 226501.doi:10.7498/aps.67.20181255 |
| [7] |
卢顺顺, 张晋敏, 郭笑天, 高廷红, 田泽安, 何帆, 贺晓金, 吴宏仙, 谢泉.碳纳米管包裹的硅纳米线复合结构的热稳定性研究. 必威体育下载 , 2016, 65(11): 116501.doi:10.7498/aps.65.116501 |
| [8] |
鲁东, 金冬月, 张万荣, 张瑜洁, 付强, 胡瑞心, 高栋, 张卿远, 霍文娟, 周孟龙, 邵翔鹏.新型宽温区高热稳定性微波功率SiGe 异质结双极晶体管. 必威体育下载 , 2013, 62(10): 104401.doi:10.7498/aps.62.104401 |
| [9] |
周广宏, 潘旋, 朱雨富.BiFeO3/Ni81Fe19磁性双层膜中的交换偏置及其热稳定性研究. 必威体育下载 , 2013, 62(9): 097501.doi:10.7498/aps.62.097501 |
| [10] |
张章, 熊贤仲, 乙姣姣, 李金富.Al-Ni-RE非晶合金的晶化行为和热稳定性. 必威体育下载 , 2013, 62(13): 136401.doi:10.7498/aps.62.136401 |
| [11] |
钱利波, 朱樟明, 杨银堂.一种考虑硅通孔电阻-电容效应的三维互连线模型. 必威体育下载 , 2012, 61(6): 068001.doi:10.7498/aps.61.068001 |
| [12] |
张颖, 何智兵, 李萍, 闫建成.硅掺杂辉光放电聚合物薄膜的热稳定性研究. 必威体育下载 , 2011, 60(12): 126501.doi:10.7498/aps.60.126501 |
| [13] |
闫建成, 何智兵, 阳志林, 陈志梅, 唐永建, 韦建军.玻璃微球表面辉光等离子体聚合物涂层的热稳定性研究. 必威体育下载 , 2010, 59(11): 8005-8009.doi:10.7498/aps.59.8005 |
| [14] |
许雪芹, 汤晨毅, 王璇, 程玲, 姚忻.面内和面外取向对RBa2Cu3Oz薄膜热稳定性影响的研究. 必威体育下载 , 2010, 59(2): 1294-1301.doi:10.7498/aps.59.1294 |
| [15] |
张凯旺, 孟利军, 李 俊, 刘文亮, 唐 翌, 钟建新.碳纳米管内金纳米线的结构与热稳定性. 必威体育下载 , 2008, 57(7): 4347-4355.doi:10.7498/aps.57.4347 |
| [16] |
李 岩, 陈庆永, 姜宏伟, 王艾玲, 郑 鹉.PtMn层厚度对NiFe/PtMn双层膜交换偏置形成及热稳定性的影响. 必威体育下载 , 2006, 55(12): 6647-6650.doi:10.7498/aps.55.6647 |
| [17] |
沈 祥, 聂秋华, 徐铁峰, 高 媛.Er3+/Yb3+共掺碲钨酸盐玻璃的光谱性质和热稳定性的研究. 必威体育下载 , 2005, 54(5): 2379-2384.doi:10.7498/aps.54.2379 |
| [18] |
王 劼, 李红红, 李锐鹏, 郭玉献, 王雅新.x射线磁性圆二色吸收谱分析Co膜厚度对原子磁矩和自旋磁矩的影响. 必威体育下载 , 2005, 54(11): 5474-5480.doi:10.7498/aps.54.5474 |
| [19] |
滕蛟, 蔡建旺, 熊小涛, 赖武彦, 朱逢吾.NiFe/FeMn双层膜交换偏置的形成及热稳定性研究. 必威体育下载 , 2004, 53(1): 272-275.doi:10.7498/aps.53.272 |
| [20] |
杨慎东, 宁兆元, 黄峰, 程珊华, 叶超.a-C:F薄膜的热稳定性与光学带隙的关联. 必威体育下载 , 2002, 51(6): 1321-1325.doi:10.7498/aps.51.1321 |