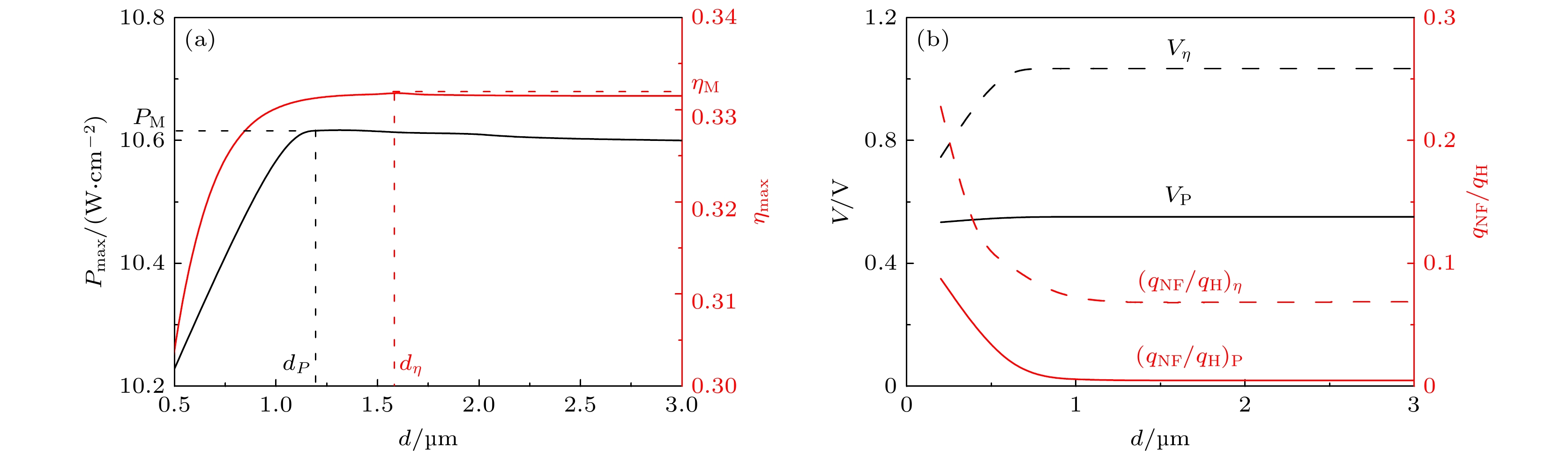
In recent years, researchers have proposed a model of graphene thermionic energy converter (GTEC) for the utilization of high-grade thermal energy, which is used to extensively study the physical mechanism and parametric optimization. However, the influences of space charge accumulation and near-field radiative effects on the GTEC’s energy conversion performance are rarely reported. In the present work, the theories of thermionic emission, Langmuir space charge, non-equilibrium thermodynamics, and fluctuating electrodynamics are used to construct an improved model, in which the coupling effects of thermionic transport, near-field radiative heat transfer, and Newton heat transfer are considered. Firstly, the dependence of additional potential barrier, current density, power density, efficiency, and heat flows on the voltage and the vacuum gap are analyzed by neglecting the Newton heat transfer. The results show that the vacuum gap has a significant influence on the power density, while it has a negligible effect on the efficiency, the optimal power density and efficiency can be obtained at two different voltages. Secondly, the variations of power density and efficiency with voltage are analyzed on condition that the electrodes’ temperatures are restricted by the energy balance equation. It is found that Newton heat transfer has a significant influence on the power density, while it has a negligible effect on the conversion efficiency; the anode’s temperature at the optimal power density is higher than the ambient temperature, and the temperature at the optimal efficiency is close to the ambient temperature; the optimal regions of voltage, vacuum gap, and anode’s temperature are determined by considering the trade-off between power density and efficiency. The results obtained in this work can provide a theoretical basis for the development of practical devices.