Wurtzite ZnO and rutile TiO
2have important application value in solar cells, photocatalysts, self-cleaning coatings, etc. In addition, ZnO and TiO
2are crucial basic materials for the development of semiconductor spintronics devices due to room temperature ferromagnetism in the state of defects or doped specific elements. Many studies indicate that the magnetic, optical, and electrical properties of ZnO and TiO
2are affected by intrinsic defects (such as vacancies, interstitial atoms, etc.). Electron irradiation has the incomparable advantages over other particle beam irradiation, the defects produced by electron beam irradiation are mainly independent vacancy-interstitial atom pairs (Frenkel pairs), and there are no new doping elements introduced into the material during the irradiation by electron beam with energy of several MeV, that is, electron irradiation is a relatively “pure” particle irradiation method. On the one hand, since the displacement threshold energy values of different atoms are different from each other, the type of defect during electron irradiation can be controlled by the energy of the electron beam. On the other hand, the electron fluence can determine the concentration of defects. Therefore, various defects of different concentrations can be generated by electron irradiation, thereby studying the influences of related defects on the magnetic, optical, and electrical properties of ZnO and TiO
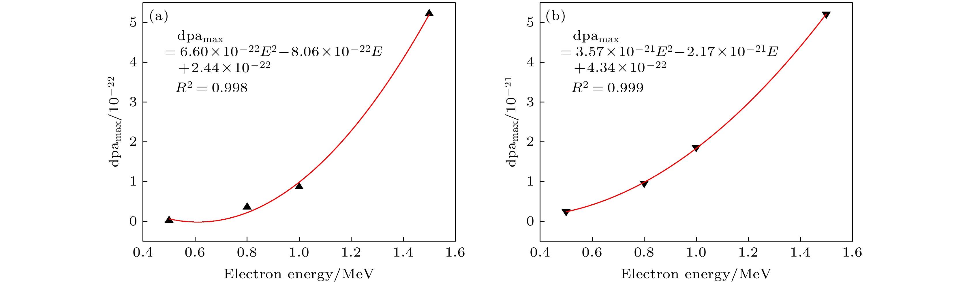
2. However, simulation calculations related to electron beam irradiation damage are relatively scarce. Therefore, in this work, the electron beam irradiation damage is taken as a research topic and the related theoretical simulation calculations are carried out, which lays a theoretical foundation for subsequent experimental researches. The size and the distribution of radiation damage (dpa) caused by point source electrons and that by plane source electrons with different energy values in ZnO and TiO
2are simulated and calculated through the MCNP5 program combined with the MCCM algorithm. The calculation results show that O atoms and Zn atoms can be dislocated when the electron energy values are greater than 0.31 MeV and 0.87 MeV in ZnO, respectively; while in TiO
2, O atoms and Ti atoms can be dislocated when the electron beam energy values are greater than 0.12 MeV and 0.84 MeV, respectively. The dpa caused by point source electrons is mainly distributed in the longitudinal direction, and attenuates quickly in the lateral direction; on the contrary, the dpa caused by plane source electrons first increases and then decreases with the augment of the electron incidence depth, and the unevenness of the dpa distribution becomes more serious with the increase of the electron energy. Therefore, for each of ZnO and TiO
2, the dpa will be relatively even distribution when the thickness of the sample is about 0.25 mm. Furthermore, the calculation results of the electron energy deposition show that the size of the energy deposition area is closely related to the electron beam energy. At the same time, with the increase of the electron beam energy, the position where the maximum energy deposition appears gradually moves to the inside of the sample, and the entire energy deposition area has a tendency to lean forward.