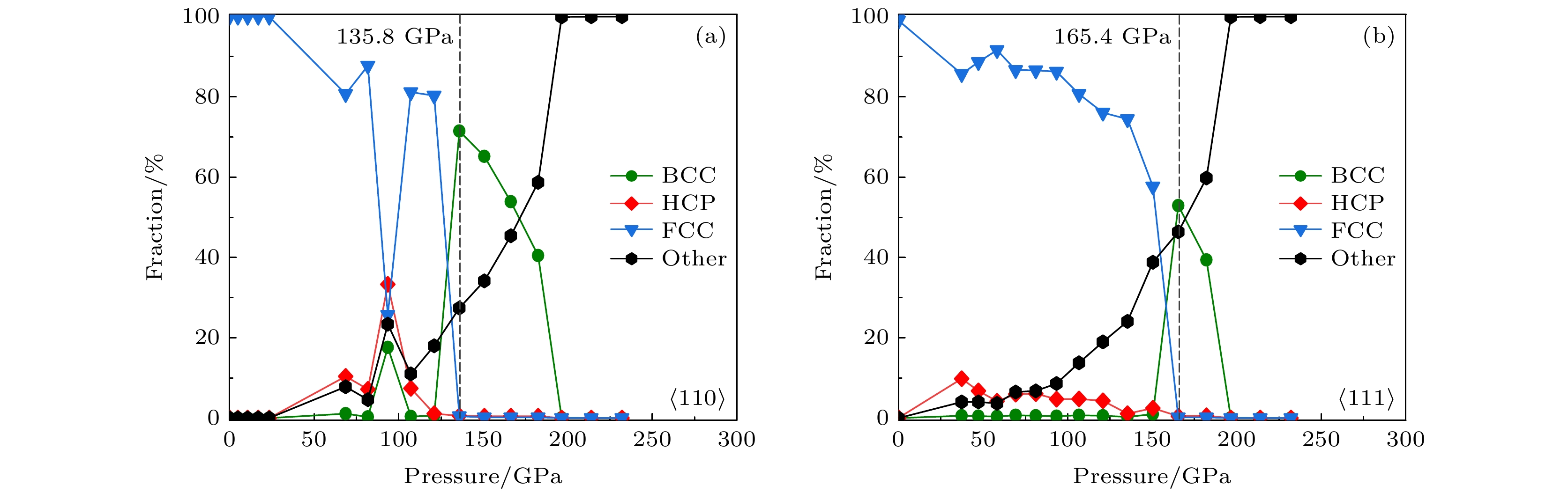
For palladium (Pd) as a typical high-pressure standard material, studying its structural changes and thermodynamic properties under extreme conditions is widely demanded and challenging. Particularly, the solid-solid phase transition process of Pd under shock loading is understood still scarcely. In this paper, using the classical molecular dynamics simulations with embedded atom method (EAM) based on the interatomic potential, we investigate the phase transition of single crystal Pd from atomic scale under shock loading. A series of structural features is observed in a pressure range of 0–375 GPa, revealing that the structure feature transforms from the initial face-centered cubic (FCC) structure to the stacking faults body-centered cubic (BCC) structure with hexagonal close-packed (HCP) structure, and finally complete melting. Under shock loading of
$ \left\langle {100} \right\rangle $
oriented bulk Pd, we find the transformation to BCC structure can take place almost at 70.0 GPa, which is much lower than the previous static calculation result. In addition, we find that the phase transition depends on the direction initially impacting crystal. Under impacting along the
$ \left\langle {110} \right\rangle $
direction and the
$ \left\langle {111} \right\rangle $
direction, the FCC-BCC phase transition pressures increase to 135.8 GPa and 165.4 GPa, respectively. Also, the introduction of defects will increase the phase transition pressure of FCC-BCC by 20–30 GPa in comparison with perfect crystals, which is verified by the distribution of the potential energy. An interesting phenomenon that FCC-BCC transition pressure of Pd decreases under shock loading is found in this work, which provides a new theoretical insight into the application of high pressure experiments in the future.