-
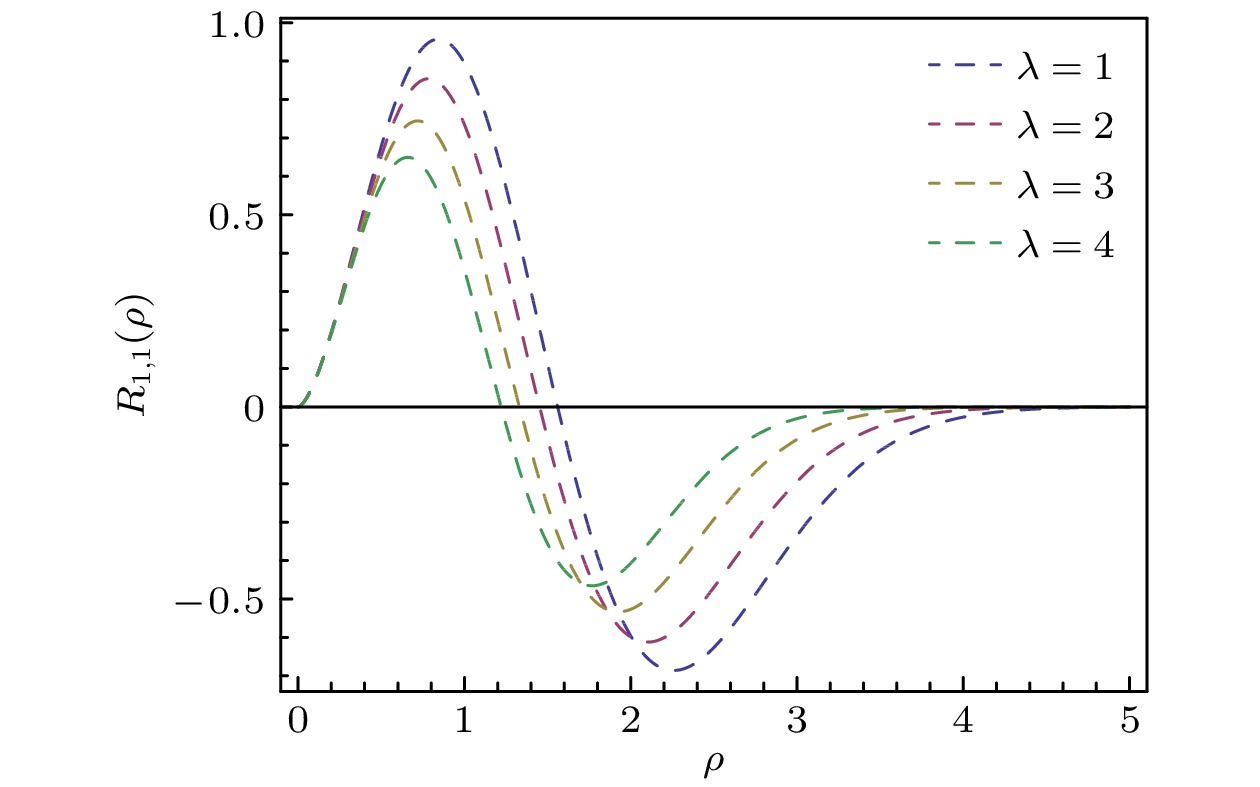
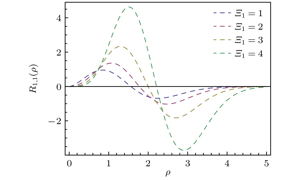
在洛伦兹对称破缺的背景下研究了广义克莱因-戈尔登谐振子, 主要使用Nikiforov-Uvarov方法分析了有磁场和无磁场两种情况下的克莱因-戈尔登谐振子. 在此基础上, 详细分析了具有康奈尔势函数的克莱因-戈尔登谐振子的一些特殊情况. 结果表明, 广义克莱因-戈尔登谐振子的波函数和能量本征值明显依赖于洛伦兹对称破缺效应, 另外, 康奈尔势函数对克莱因-戈尔登谐振子也有着不可忽略的影响.
-
关键词:
- 洛伦兹对称破缺/
- 克莱因-戈尔登谐振子/
- 康奈尔势/
- 相对论束缚态
In this paper, the generalized Klein-Gordon oscillator is studied in the framework of Lorentz symmetry violation, and the Nikiforov-Uvarov method is used to analyze the Klein-Gordon oscillator with and without magnetic field. On this basis, we analyze some special cases of Klein-Gordon oscillators with Cornell potential functions in detail. The results show that the wave function and the energy eigenvalues of the generalized Klein-Gordon oscillator obviously depend on the Lorentz symmetry violation effect, and the Cornell potential function also has a non-negligible effect on the Klein-Gordon oscillator.-
Keywords:
- Lorentz symmetry violation/
- Klein-Gordon oscillator/
- Cornell potential/
- relativistic bound states
[1] [2] [3] [4] [5] [6] [7] [8] [9] [10] [11] [12] [13] [14] [15] [16] [17] [18] [19] [20] [21] [22] [23] [24] [25] [26] [27] [28] [29] [30] [31] [32] [33] [34] [35] [36] [37] [38] [39] [40] [41] [42] [43] [44] [45] [46] [47] [48] -
[1] [2] [3] [4] [5] [6] [7] [8] [9] [10] [11] [12] [13] [14] [15] [16] [17] [18] [19] [20] [21] [22] [23] [24] [25] [26] [27] [28] [29] [30] [31] [32] [33] [34] [35] [36] [37] [38] [39] [40] [41] [42] [43] [44] [45] [46] [47] [48]
计量
- 文章访问数:3660
- PDF下载量:68
- 被引次数:0












下载:


