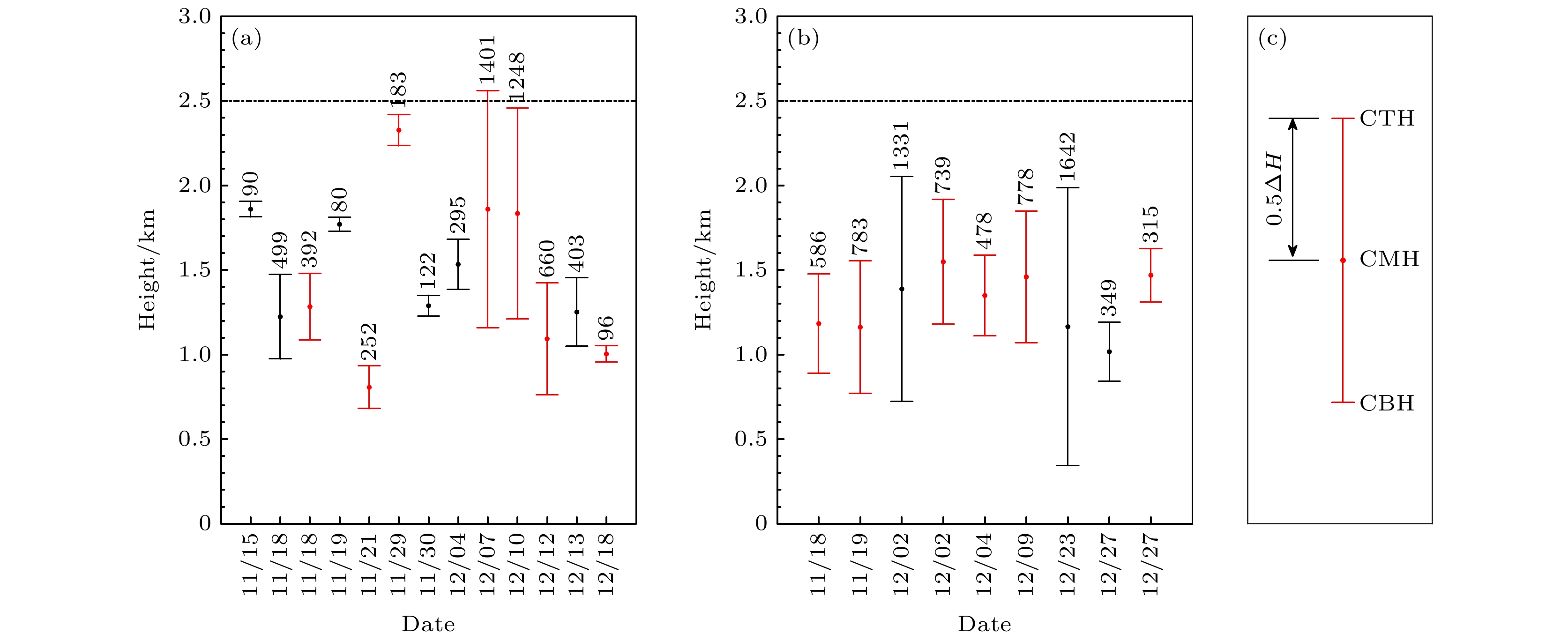
\begin{document}$ C_n^2 $\end{document}、气象条件和大气稳定度的平均统计结果. 结果表明, 低层薄云对\begin{document}$ {C}_{n}^{2} $\end{document}起伏变化的影响微乎甚微, 仅仅表现出轻微增大的趋势, 云底\begin{document}$ {C}_{n}^{2} $\end{document}相对于晴空天气平均增大1.6倍, 云顶之上最大程度增大2.5倍. 低层中厚云在云顶处\begin{document}$ {C}_{n}^{2} $\end{document}相对于晴空天气增大了3.80—6.61倍, 且云顶区域\begin{document}$ C_n^2 $\end{document}增大的幅度大于云底区域. 云底区域大气湍流特性受到地面热力驱动与低云冷却的联合作用, 沉降气流与地面向上气流发生了耦合, 增强了风切变, \begin{document}$ C_n^2 $\end{document}在这一高度附近也出现了增强. 综合对比晴空和有云天气\begin{document}$ C_n^2 $\end{document}大小可知, 云对\begin{document}$ C_n^2 $\end{document}的增强效应大致在10–16量级. 一方面, 风切变在云顶处或者云顶之上达到最大值; 另一方面, 因为云顶短波辐射增温和长波辐射冷却的共同作用, 云顶之上会形成不同厚度的逆温层, 致使云顶处位温变化率急剧增大, Brunt-Vaisala频率\begin{document}$ {N^2} $\end{document}值较晴空天气下增大了0.5—3.0倍; 而云底区域\begin{document}$ {N}^{2} $\end{document}均小于晴空天气. 由于云层多尺度活动引发的湍流效应, 势必会引起对激光传输大气效应评估和订正的偏差. 正确掌握不同相态云层及边界处湍流的变化规律, 也可以为进一步建立云层周围大气湍流的变化规律模型奠定基础."> - 必威体育下载

搜索

x

留言板

姓名
邮箱
手机号码
标题
留言内容
验证码

downloadPDF
引用本文:
Citation:

    张坤, 罗涛, 王菲菲, 孙刚, 刘庆, 青春, 李学彬, 翁宁泉, 朱文越

    Influence of low clouds on atmospheric refractive index structure constant based on radiosonde data

    Zhang Kun, Luo Tao, Wang Fei-Fei, Sun Gang, Liu Qing, Qing Chun, Li Xue-Bin, Weng Ning-Quan, Zhu Wen-Yue
    PDF
    HTML
    导出引用
    计量
    • 文章访问数:4250
    • PDF下载量:60
    • 被引次数:0
    出版历程
    • 收稿日期:2021-09-27
    • 修回日期:2021-12-27
    • 上网日期:2022-01-26
    • 刊出日期:2022-04-20

      返回文章
      返回