From the perspective of calculating ultrasonic absorption and scattering properties of individual solid particle and droplet, the ultrasonic wave is treated as discrete phonons. And by tracking their motion process and event statistics, a new prediction model of ultrasonic attenuation of spherical mixed particles in gaseous medium is established with Monte Carlo method. Considering the difference in physical properties between solid particles and liquid particles, the ultrasonic absorption characteristics of the two kinds of particles are obviously different, and when dimensionless particle size
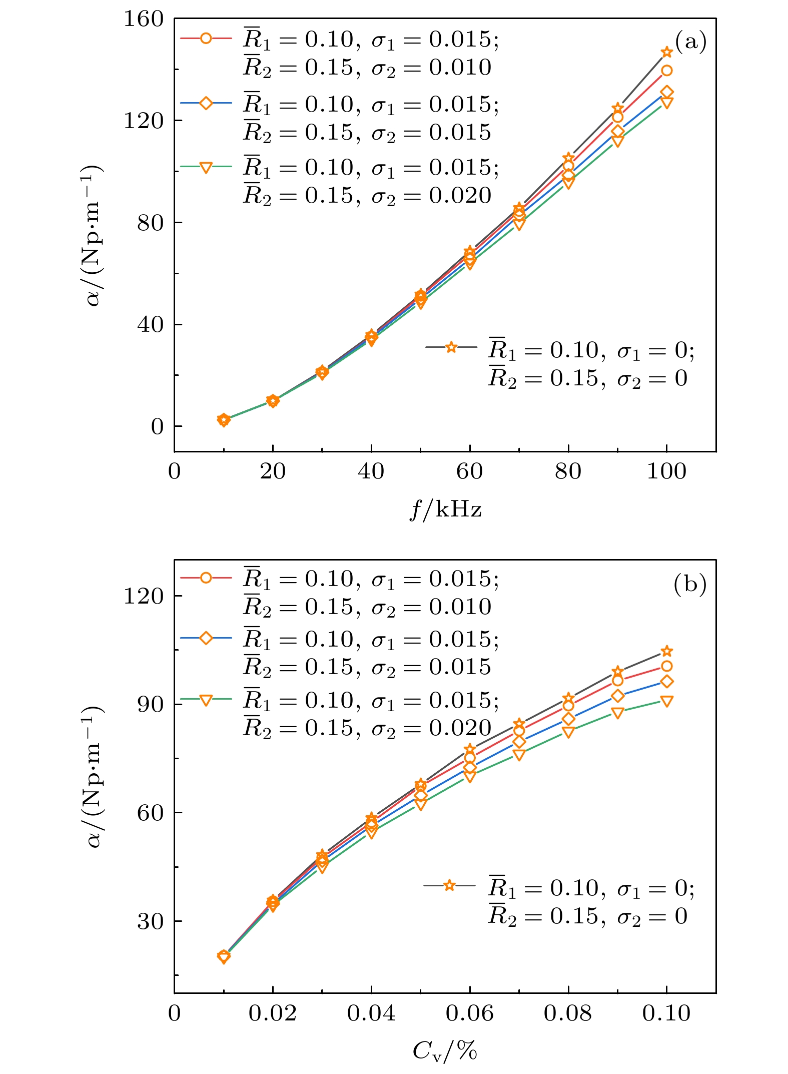
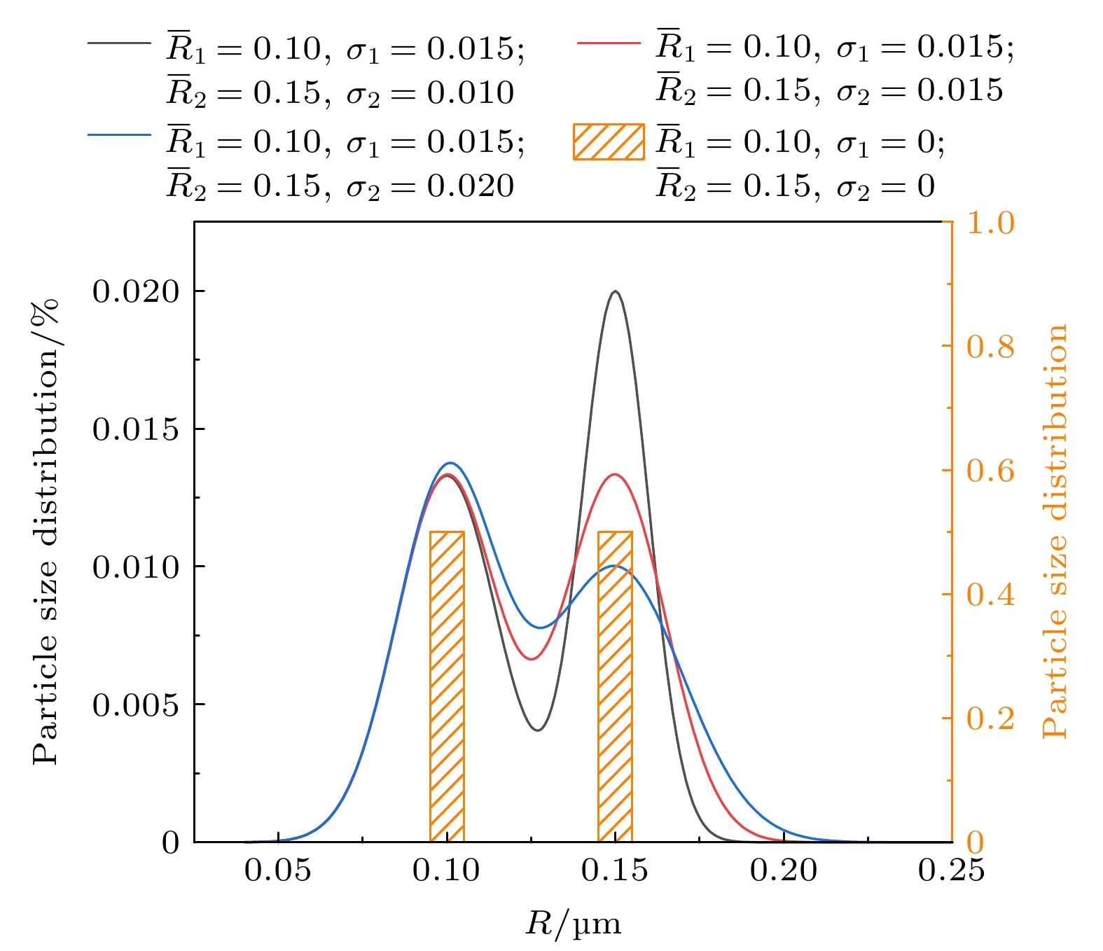
kR≤ 1, the backscattering of particles is uniform and dominant, then the ultrasonic scattering pressures gradually transit from the dominant position of backscattering to the trend of forward enhancement with the increase of dimensionless particle size. The numerical simulation results for the system with a single particle type are compared with those from various standard models such as classical ECAH model and McC model, showing that they are in good agreement. Similarly, the results are then compared with experimental results, which accord with each other in general. After calculating and verifying the ultrasonic attenuation of aluminum particles and submicron droplets respectively in air, the method is extended to the three-phase monodisperse and polydisperse mixed particle system composed of aluminum particles and liquid droplets. In the three-phase system of gas-liquid-solid mixed particles, the particle type has a significant influence on ultrasonic attenuation, and the attenuation contribution of different particles against mixing ratio does not follow the linear gradient with the increase of volume concentration. For a polydisperse system, the ultrasonic attenuation spectrum is greatly affected by the average particle size, but it is insensitive to the width of particle size distribution. The numerical results also show that both the particle type and particle distribution size should be carefully take into account in the polydisperse system. Moreover, the MCM model can be further extended to non-spherical particles and combined with mathematical inversion to form the theoretical basis for the measurement of mixed particle system.