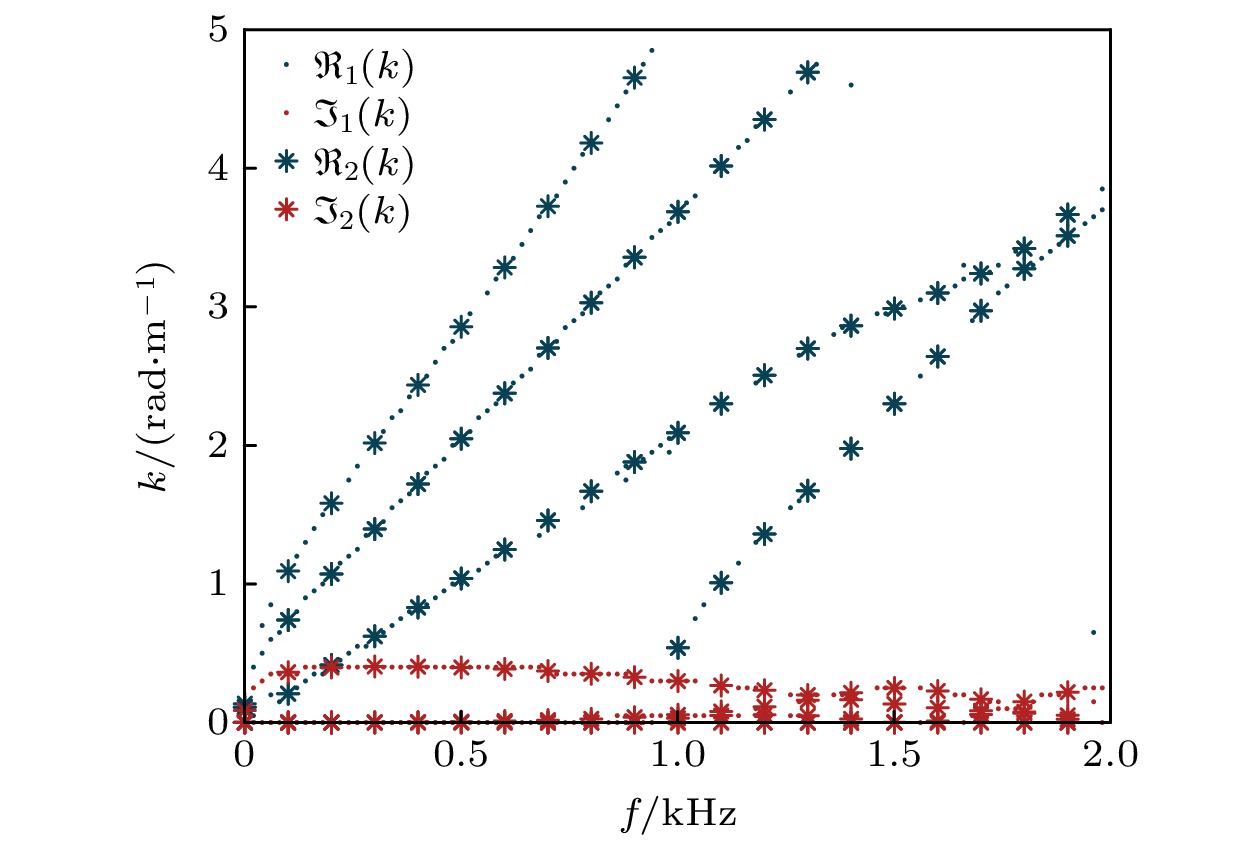
With the continued global warming, polar science has become one of the research hotspots. Regarding polar acoustics, much progress has been made due to the efforts made by scientists in the world. With the enhancement of stereoscopic monitoring capacity in polar regions, the acoustic theory and technologies applicable to Arctic sea-ice, which have long been overlooked as a branch of acoustics, are now dawning more and more attention. The propagation of elastic waves in the Arctic sea-ice is governed by its waveguide, and the understanding of which faces a grave challenge due to the unique material properties and complex internal structure of sea-ice, along with the asymmetric fluid-solid coupling at its boundaries and the inaccessibility for in-situ experiments, which is caused by the extreme condition. Aiming at an effectively and precisely modeling technique of acoustic propagation in sea-ice, including its waveguide, in this paper, the progress, the development, and the status of corresponding researches are reviewed. For a better understanding of the modeling of sea-ice, Arctic sea-ice, i.e. its formation condition, geometries, mechanical properties, microstructures, and the acoustic propagation, is briefly introduced. Different approaches to modeling the propagation of elastic waves in ice-floe based on explicit/implicit boundary conditions are presented and explained in detail. The resulting transcendental characteristic equation describing the acoustic propagation needs to be solved in a complex space for the severe energy leakage at the water-ice interface, and the necessary numerical methods of solving this equation are then explained and compared with each other. Since accurate parameters are imperative in having a satisfactory fidelity for any physical model, the acoustic parameters of Arctic sea-ice, historical evolution and experimental results, along with its assessment techniques are also presented, and a set of sound velocity parameters of Arctic sea-ice are provided for modeling. The roughness of the ice-water interface is discussed case-by-case depending on its spatial scale in comparison with acoustic wavelength for its influence on the elastic waveguide. The perspectives and potential applications of the sea-ice acoustic waveguide within the frame of promoting sustainable development of the polar region are also discussed.