-
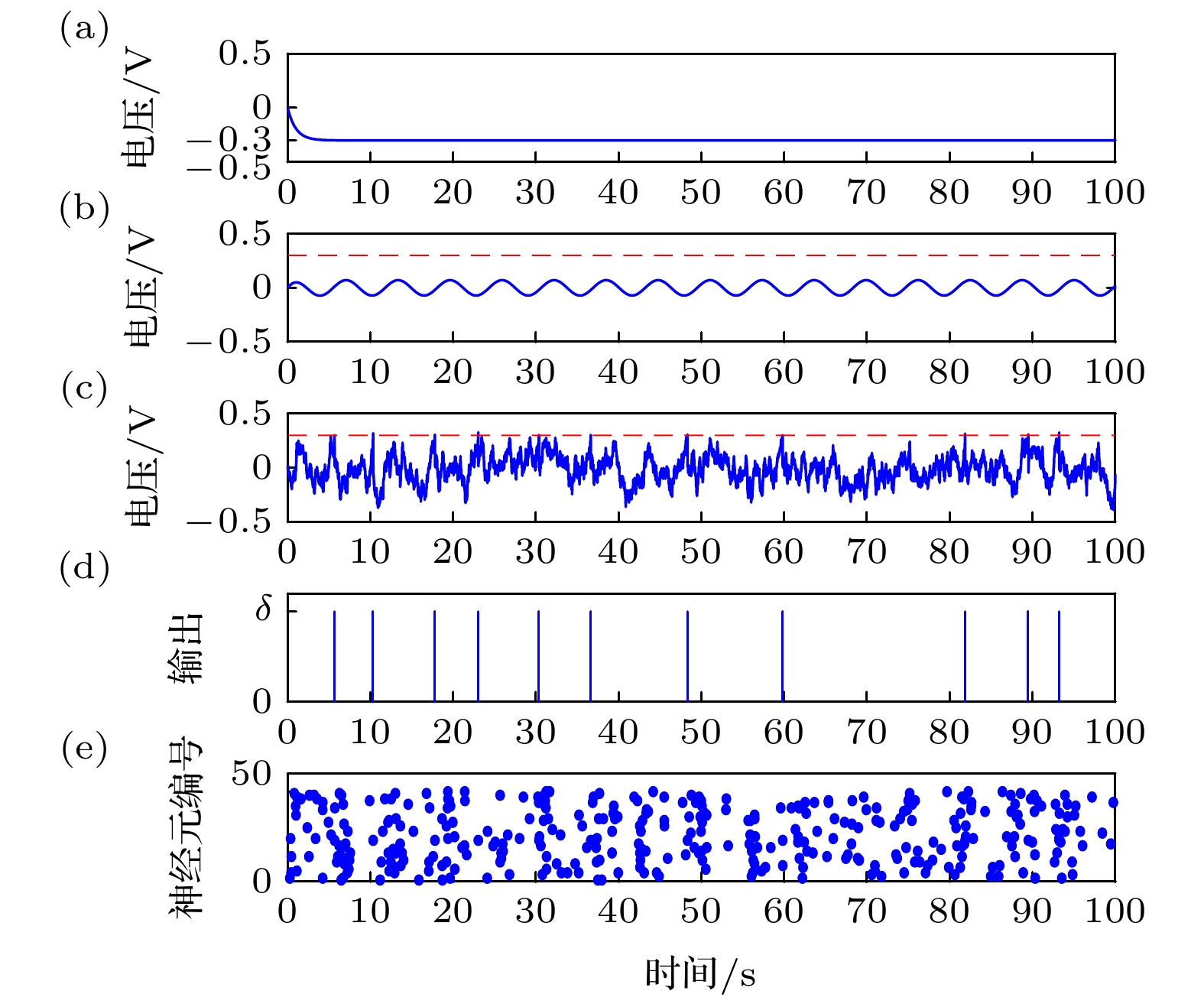
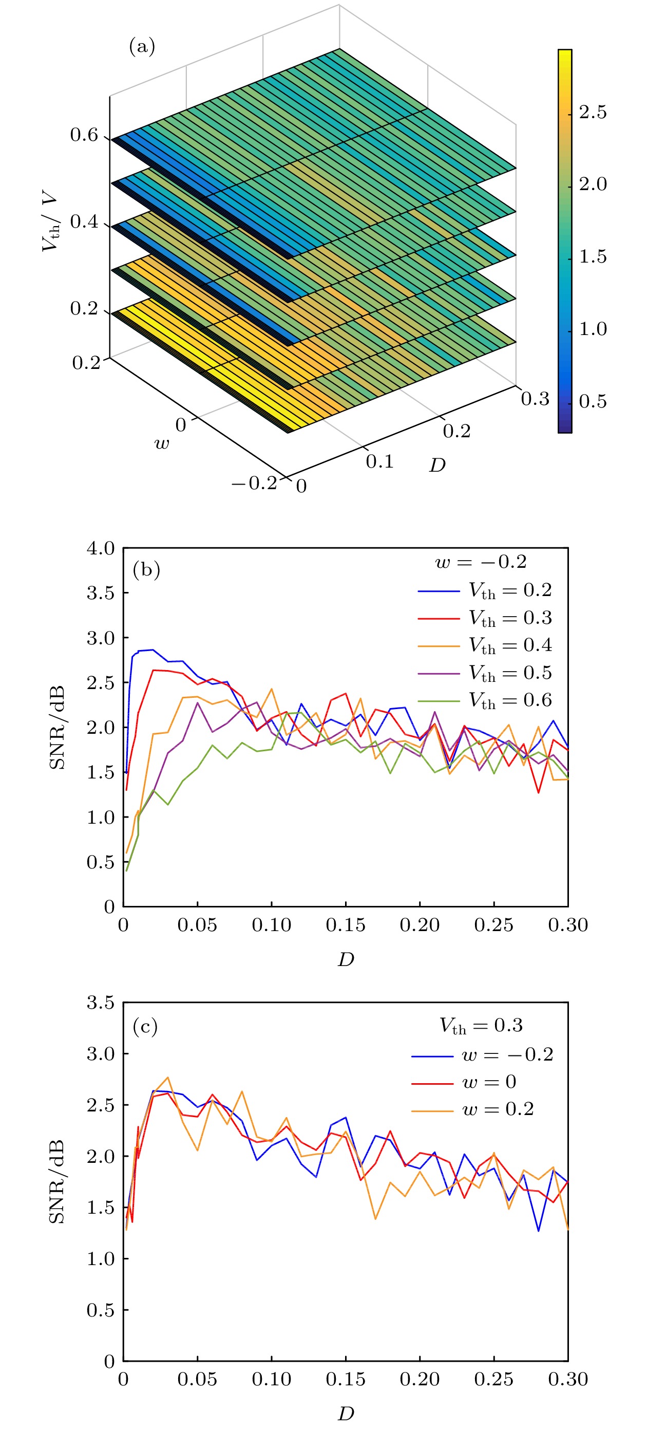
本文基于随机共振原理和人脑感知物体色彩的基本生物物理过程, 提出了一种低照度彩色图像增强的可解释算法. 我们首先研究了电导基积分放电神经元网络中的随机共振现象, 揭示了放电阈值、突触权重和集群规模对输出响应信噪比的影响, 并识别出放电阈值是影响随机共振效应的关键参数. 然后, 在结合彩色图像视觉感知的生理过程的基础上, 给出了一种基于随机放电神经元网络的彩色图像增强算法, 并以峰值信噪比(PSNR)和自然图像质量评估(NIQE)作为提取最优增强图像的度量指标. 注意到待增强的图像是非周期信号, 因此, 为了优化算法的性能, 首次提出了一种基于亮度分布的分位数的阈值选取策略. 数值实验结果表明, 该算法的增强效果良好且性能稳定, 并可用于军事探测和医学图像预处理等信号处理领域.Our aim is to present an interpretable algorithm for enhancing low-illuminance color image based on the principle of stochastic resonance and the fundamental biophysical process of human brain perceiving object color. To this end, the phenomenon of stochastic resonance in a conductance-based integrate-and-fire neuronal network is first explored, with the effect of firing threshold, synaptic weight and the population size on the signal-to-noise ratio revealed, and the firing threshold is recognized as the key parameter for the resonance effects. And then, a color image enhancement algorithm, where the peak signal-to-noise ratio and the natural image quality evaluator are adopted as quantifying indexes, is developed by combining the stochastic spiking neuronal network and the involved biophysical process relating to visual perception. Note that the enhanced image is aperiodic, thus in order to optimize the performance of the algorithm, an illuminance distribution based threshold strategy is given by us for the first time. The numerical tests show that the algorithm has good enhancement performance and stability. We wish this algorithm could be applied to relevant signal processing fields such as military detection and medical image preprocessing.
-
Keywords:
- color image enhancement/
- integrate-and-fire neuronal network/
- stochastic resonance/
- biophysical interpretability
[1] [2] [3] [4] [5] [6] [7] [8] [9] [10] [11] [12] [13] [14] [15] [16] [17] [18] [19] [20] [21] [22] [23] [24] [25] [26] [27] [28] [29] [30] [31] [32] [33] -
图像质量评价指标 本文提出的随机共振算法 SSR HE SVD-DSR PSNR 21.5837 8.0089 14.6537 15.9144 NIQE 3.4570 4.0110 5.0543 5.0330 图像质量评价指标 本文提出的随机共振算法 SSR HE SVD-DSR NIQE 3.6890 4.3712 4.6545 4.9605 -
[1] [2] [3] [4] [5] [6] [7] [8] [9] [10] [11] [12] [13] [14] [15] [16] [17] [18] [19] [20] [21] [22] [23] [24] [25] [26] [27] [28] [29] [30] [31] [32] [33]
计量
- 文章访问数:4466
- PDF下载量:126
- 被引次数:0












下载:








