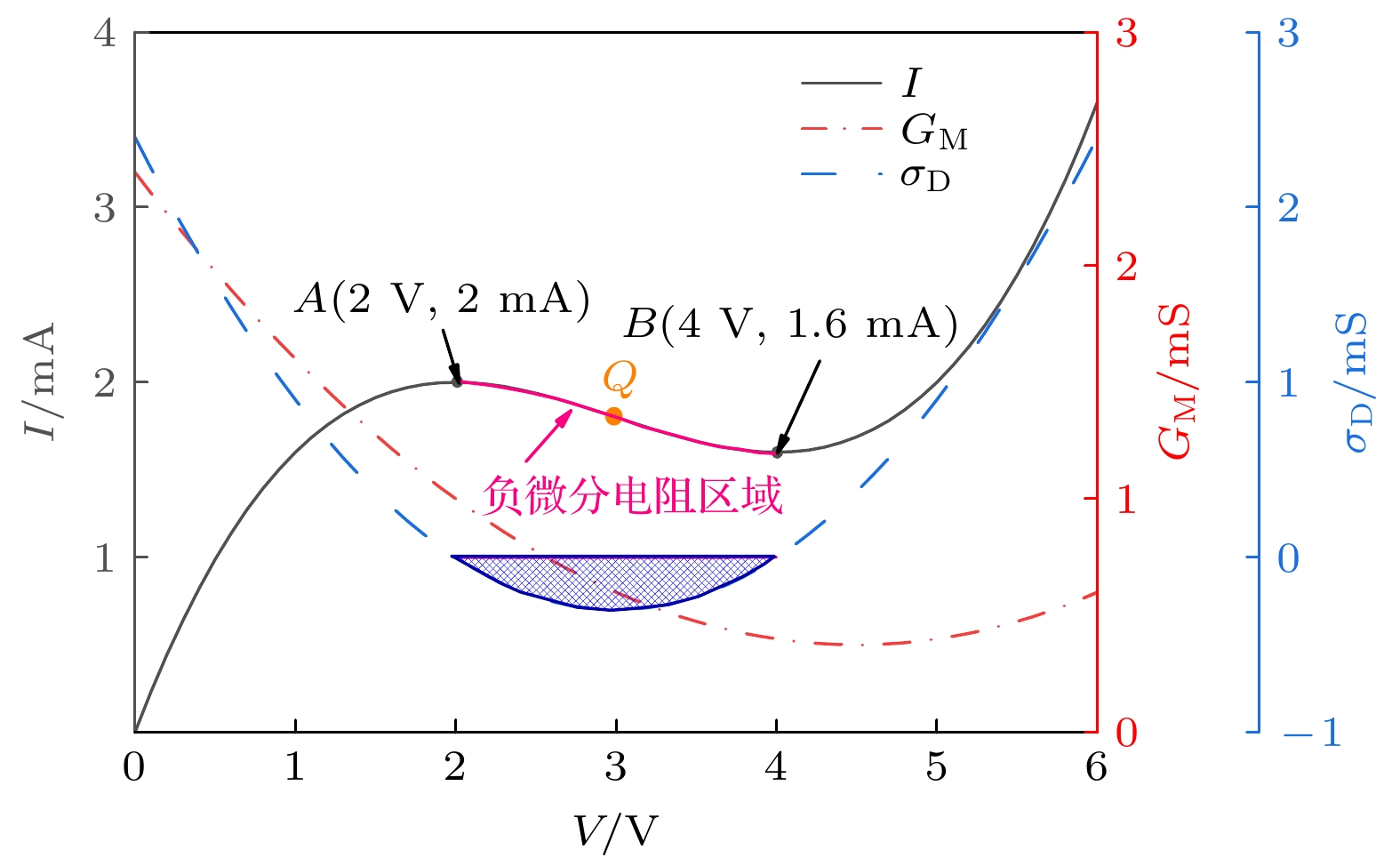
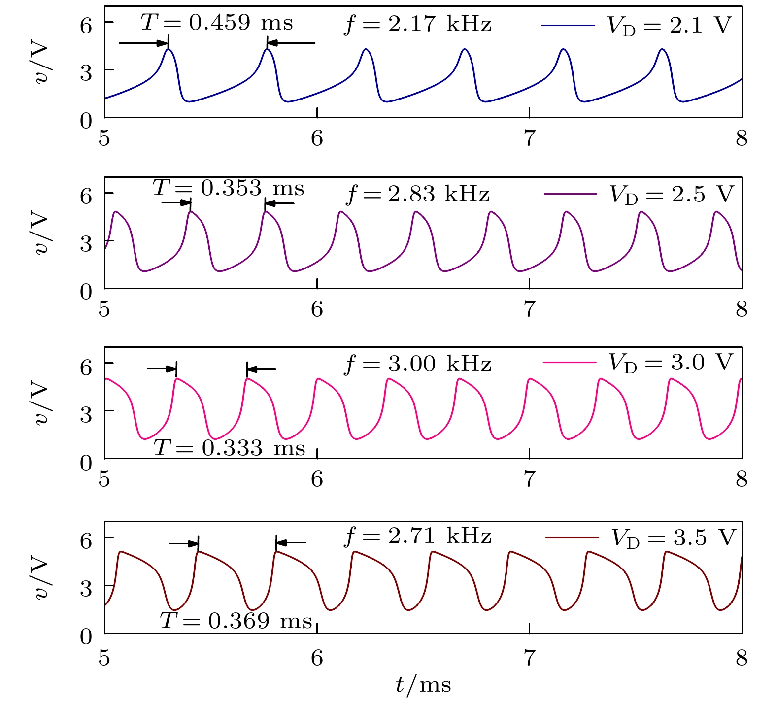
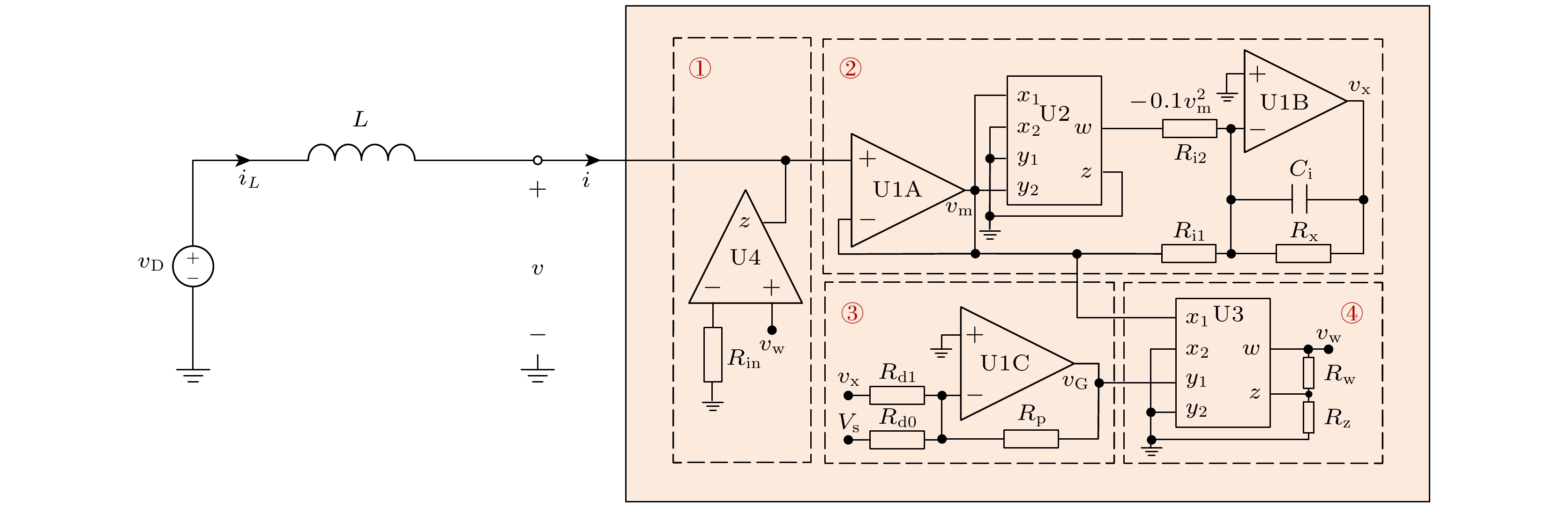
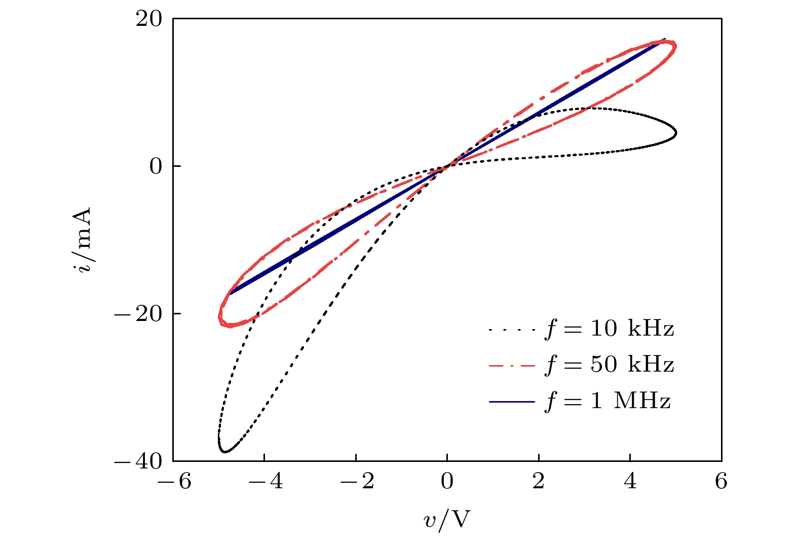
Owing to the advantages of high integration, low power consumption and locally active characteristics, locally-active memristor (LAM) has shown great potential applications in neuromorphic computing. To further investigate the neuromorphic dynamics of LAMs, a simple N-type LAM mathematical model is proposed in this work. By analyzing its voltage-current characteristic and small-signal equivalent circuit, a neuron circuit based on the N-type LAM is designed, where a variety of neuromorphic behaviors are successfully simulated, such as “all-or-nothing” behavior, spikes, bursting, periodic oscillation, etc. Moreover, Hopf bifurcation theory and numerical analysis method are used to study the dynamics of the circuit quantitatively. Then, an artificial tactile neuron and its frequency characteristics are presented by using the proposed neuron circuit topology. The simulation results show that when the amplitude of the input signal is lower than the threshold, the oscillation frequency of the output signal of the artificial neuron circuit is positively correlated with the intensity of the input signal, and reaches a maximum value at the threshold. The above frequency characteristics are consistent with those of the exciting state of biological sensory system. Subsequently, if the incentive intensity continues to increase, the oscillation frequency will gradually decrease, corresponding to the protective inhibition behavior. Finally, the physical circuit of the N-type LAM, and artificialneuron circuit are realized. The experimental results accord well with the simulation results and theoreticalanalyses, manifesting the practicability of the N-type LAM model and the feasibility of artificial neuron circuit.