Mode-division multiplexing (MDM) technology based on few-mode fibers (FMFs) is the current research hotspot of optical fiber communication system because of its ability to increase the transmission capacity several times. When the number of multiplexed modes is large, the crosstalk between modes can be removed by multiple input multiple output digital signal processing algorithm at the receiving end. The larger the differential mode group delay (DMGD,
$ \tau_{\rm DMGD} $
), the more complex the algorithm is. Therefore, in order to reduce the complexity of the receiver, it is necessary to use FMFs with low DMGD. The variational method is proposed to analyze any FMFs with higher refractive index of core than that of cladding. The analytical formula of the fundamental mode size, the normalized propagation constant for each of all guided modes, and DMGD relative to the fundamental mode are derived. Moreover, their relationship with the normalized frequency and other fiber manufacturing parameters are given. On this basis, the graded-index FMFs are studied, and the fiber parameters are optimized. The optimization parameters are the difference between the maximum core refractive index and cladding refractive index
n
1–
n
2= 0.01, the core radius
a= 14 μm, and the paramenter of refractive index distribution
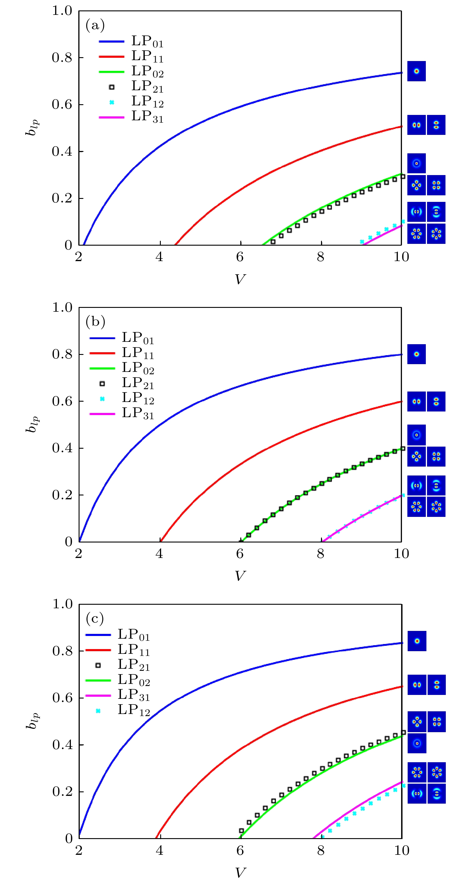
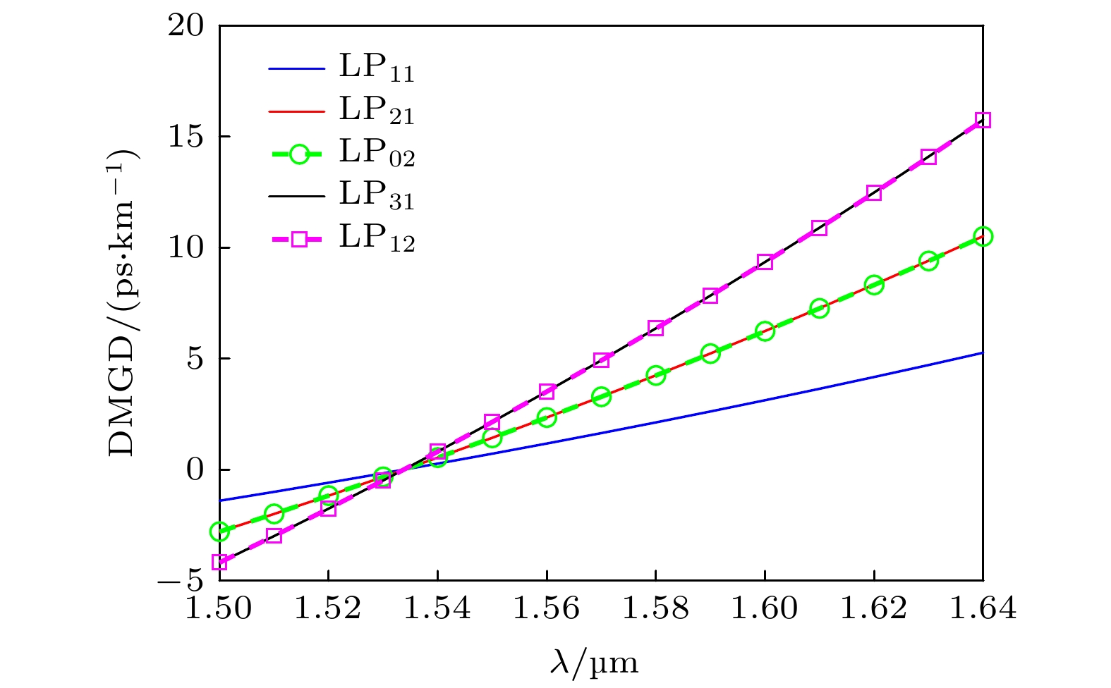
α= 1.975. In the optimized FMF, 6 LP modes can be guided and |
$ \tau_{\rm DMGD} $
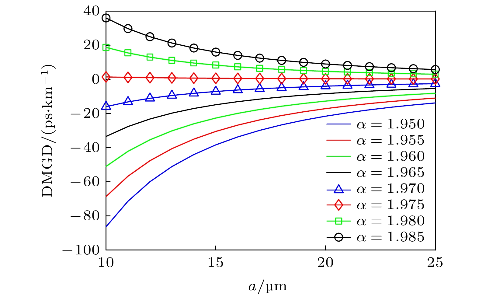
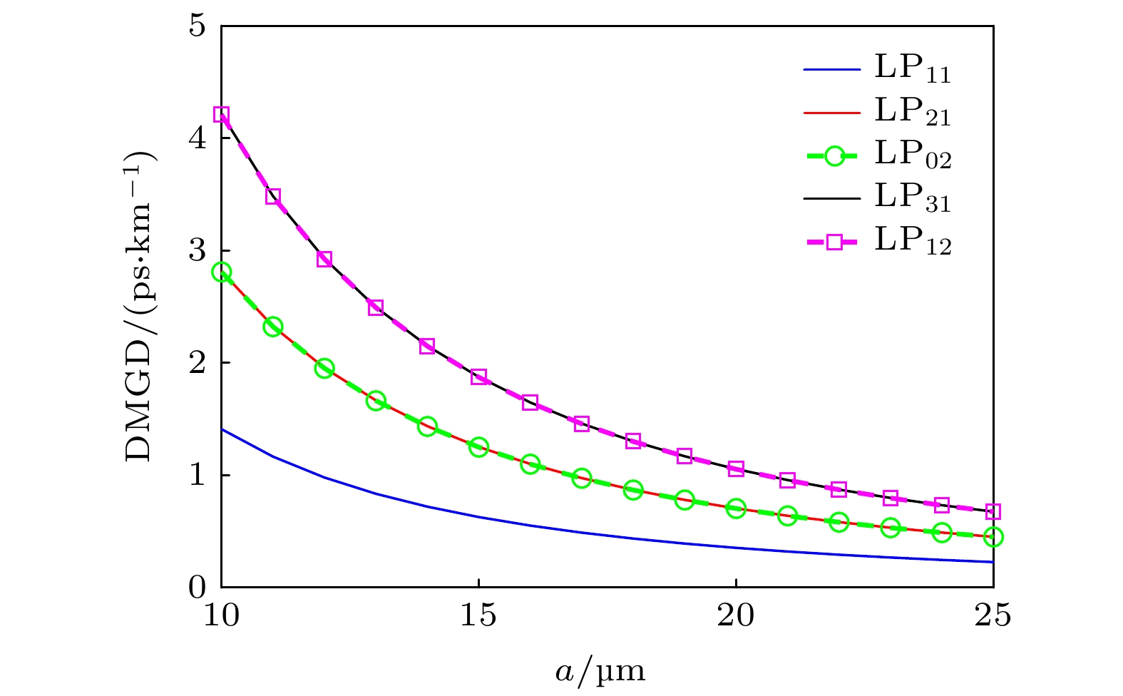
| is less than 15 ps/km within the C band and L band. In the end, the effects of the fiber manufacturing errors on DMGD are discussed.