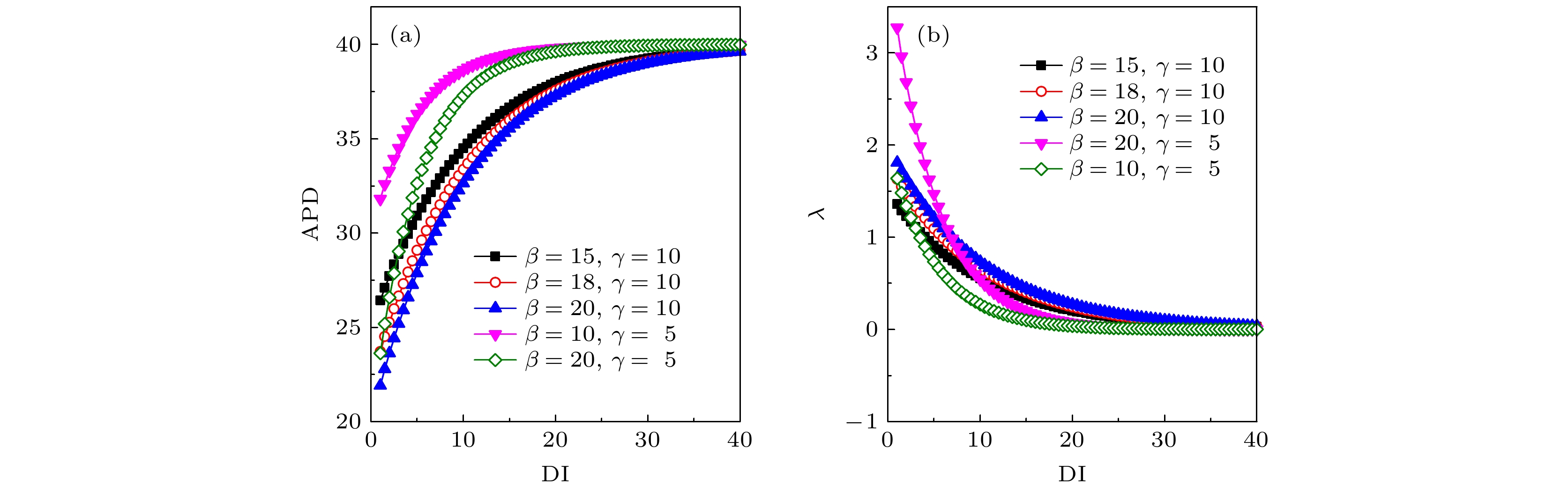
It is observed in cardiac patients that the steepnesses of action potential duration (APD) restitution curve of cardiomyocytes in different regions of the ventricle are significantly different from region to region. However, the steep APD restitution curve can either lead the spiral wave to break up and set up the ventricular fibrillation in certain conditions or result in no breakup of spiral wave in other conditions. The relationship between the dynamic behavior of spiral wave and steep APD restitution curve is still not completely clear. Therefore, further research is needed. In this paper, a two-dimensional excitable medium cellular automata model is used to study the influences of the APD restitution curves with different steepnesses on the dynamic behavior of spiral wave. Numerical simulation results show that the steep APD restitution curve can stabilize the meandering spiral wave, causing the stable spiral wave to roam or break, and even to disappear. When the total average slope of APD restitution curve is greater than 1, it is observed that spiral wave may be still stable or meandering. When the total average slope of APD restitution curve is much smaller than 1, the breakup of spiral waves may occur. Three types of spiral wave breakups are observed. They are the Doppler instability, Eckhaus instability, and APD alternation. The Doppler instability and Eckhaus instability are related to the total average slope of APD restitution curve greater than 1, and the spiral wave breakup caused by APD alternans may occur when the total average slope of APD restitution curve is much smaller than 1. When the total average slope of APD restitution curve is greater than 1, the phenomena that spiral waves disappear by meandering out of the system boundary and conduction barriers are observed. In addition, we also find that increasing cellular APD is beneficial to preventing spiral wave from breaking up. The physical mechanisms behind those phenomena are heuristically analyzed.