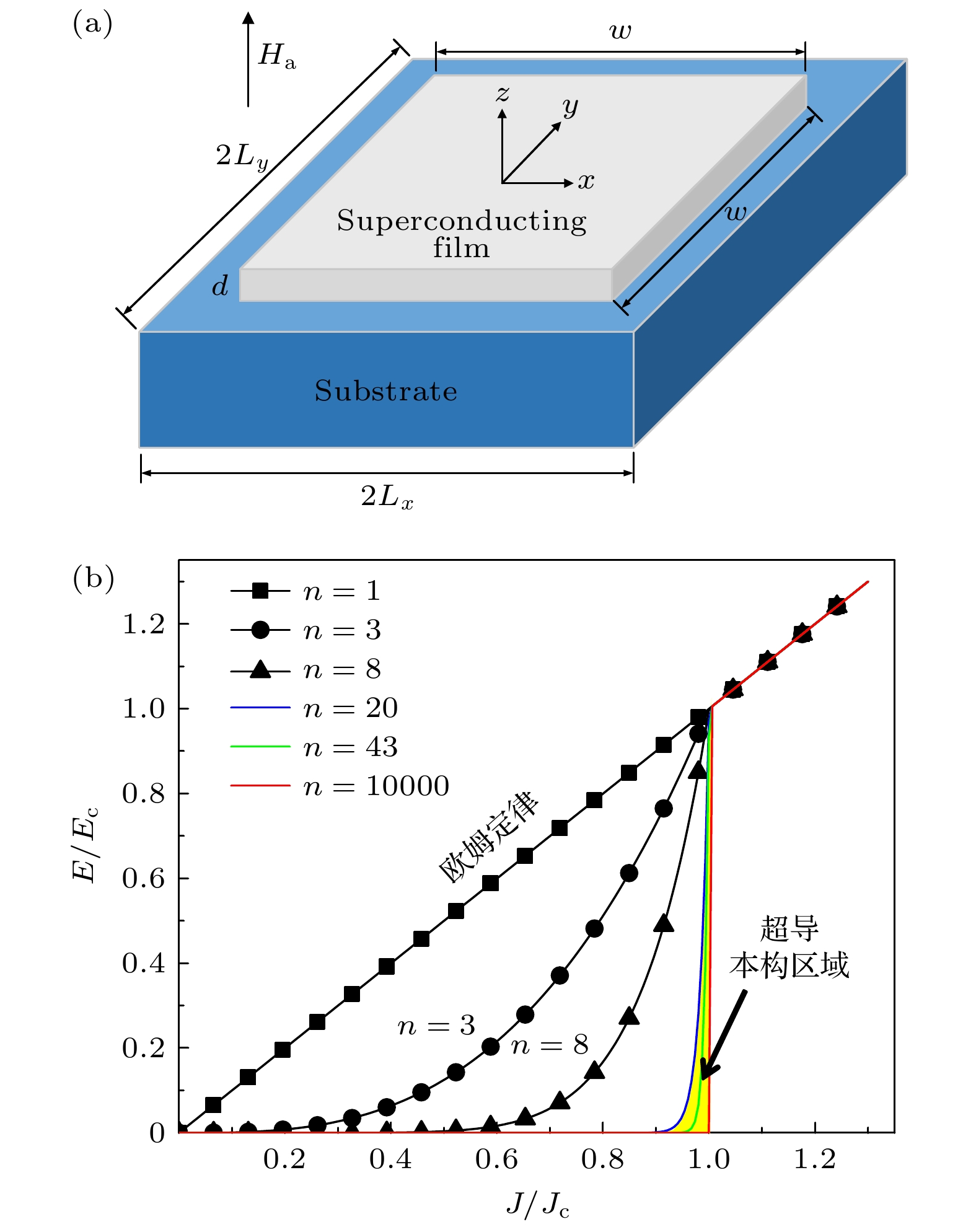
The
$E\text{-}J$
relationship in conventional conductor generally satisfies the linear Ohm's law. However, the
$E\text{-}J$
model in superconductors presents strong nonlinear characteristics, which is significantly different from that of the conventional conductor. According to the nonlinear
$E\text{-}J$
power law of superconducting materials, we quantitatively investigate the relationship between the magnetic-thermal stability and the nonlinear constitutive characteristic of superconducting films at different temperatures, magnetic field ramp rates, and critical current densities by using the fast Fourier transform method (FFT). We find that the strong nonlinear electromagnetic constitutive model plays a crucial role responsible for the onset and morphology (tree-like and finger-like) of the magneto-thermal instability of superconducting thin films. In addtion, the reason why similar magneto-thermal instabilities cannot be observed in conventional conductors is also explained. It can be found that the magnetic field on the border of the superconducting film increases rapidly for a larger creep exponent due to the enhancement of diamagnetism, which results in a large magnetic pressure and easily triggering off flux avalanches. Therefore, the threshold field of flux avalanches in the superconducting film decreases with flux creep exponent increasing. Finally, we present the curves that can clearly divide the
$n_0\text{-}j_{c0}$
plane and
$n_0\text{-}\dot {H}_a$
plane into magneto-thermal stability region and magneto-thermal instability region for superconducting thin film with different levels of nonlinearity.