-
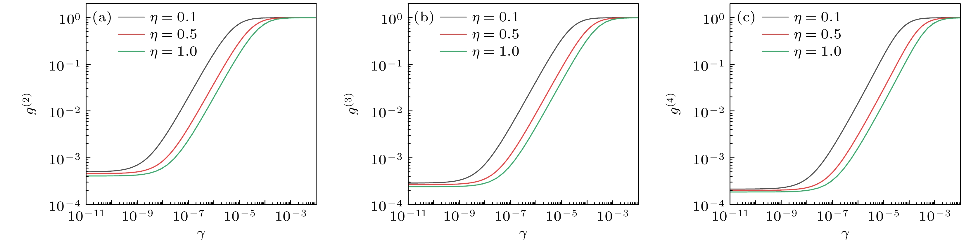
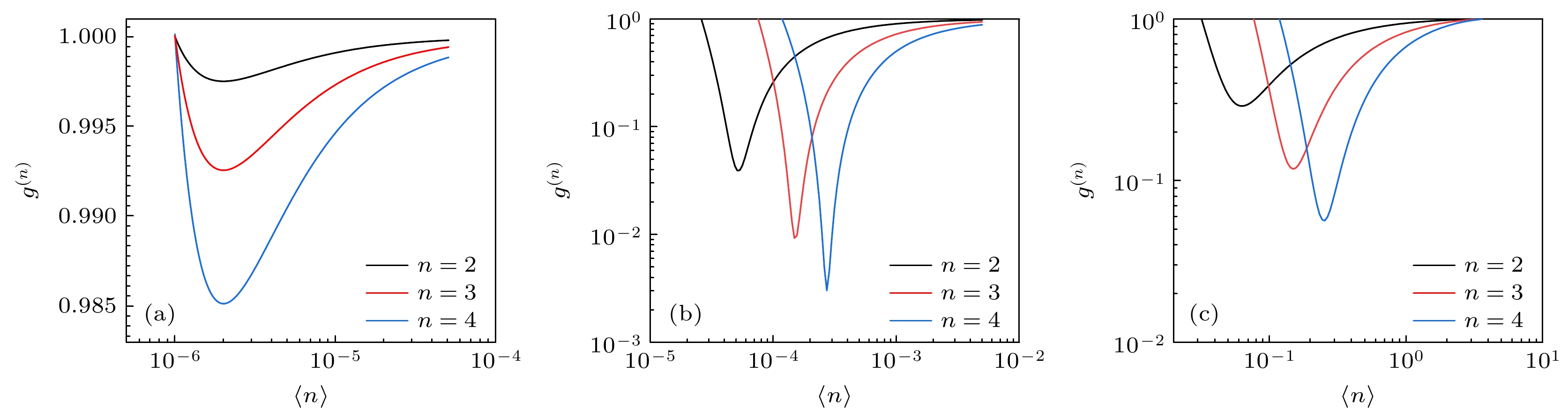
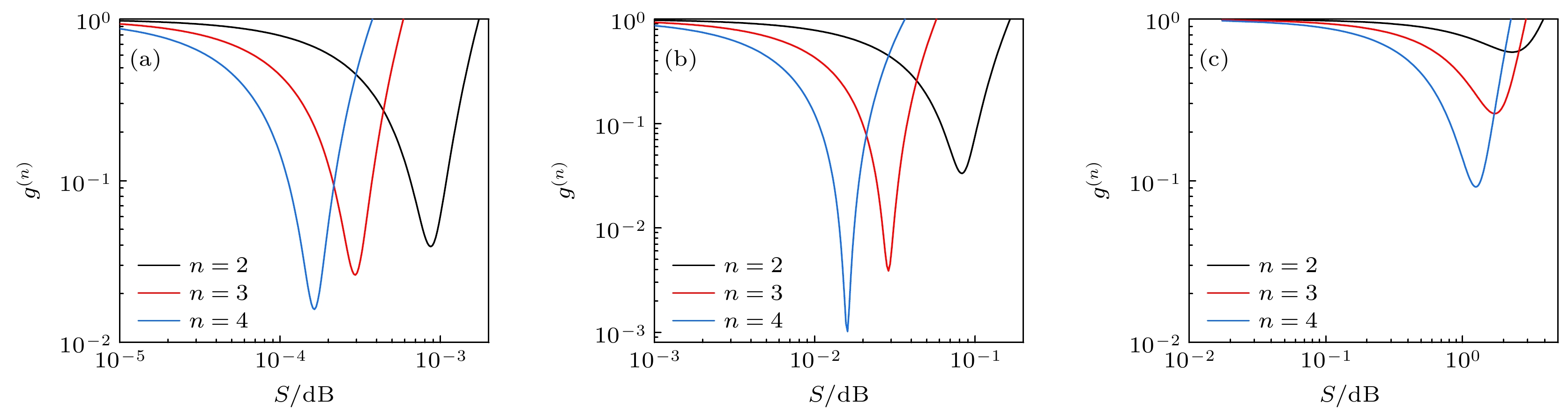
基于扩展的Hanbury Brown-Twiss方案研究相位可变压缩相干态的高阶光子关联及反聚束效应. 通过调控压缩参数 r、平移 α和压缩相位 θ, 压缩相干态的高阶光子关联呈明显的反聚束效应. 在压缩相位 θ∈[0,π/2]范围内, 较大 α- r参数区间都可获得光场的高阶反聚束效应, 理想情况下最小的反聚束值为 g (4)= 6.6352 × 10 –5. 研究了背景噪声 γ和系统探测效率 η对高阶光子反聚束的影响, 在较低探测效率 η= 0.1, 背景噪声 γ= 10 –6时, 仍可获得明显的高阶反聚束效应 g (4)= 0.0149, 验证了更高阶光子关联的反聚束效应对实验环境具有较强的鲁棒性. 此外, 研究了相位可变压缩相干态的反聚束效应随探测平均光子数
$\langle$ n$\rangle $ 和压缩度 S的变化, 在探测平均光子数远小于1、压缩参数10 –4以下时, 仍可得到 g (n)$\ll $ 0.5的显著的光子反聚束效应. 结果表明利用对压缩相位 θ的调控可制备具有明显反聚束效应的压缩相干态, 在量子精密测量及保密通信领域有着潜在的重要应用.Squeezed state has important applications in quantum communication, quantum computing, and precision measurement. It has been used to improve the sensitivity and measurement accuracy of gravitational wave detectors. Currently, squeezed state can be prepared by optical parametric oscillators, four-wave mixing, and atom–optomechanical coupling. As a typical non-classical light, the photon statistics of squeezed state usually shows obvious bunching effect, but it can also present photon antibunching effect through interference or photon subtraction operation. More importantly, squeezed coherent state is prepared by performing displacement operation on the squeezed state. In the case of certain displacement and squeezing operations, squeezed coherent state with obvious antibunching effect can be produced. The squeezed coherent state with photon antibunching effect can be employed to achieve super-resolution imaging beyond the diffraction limit, and the state exhibits good particle features which can suppress the multiphoton emission. Then it has become a focus for studying the antibunching effect and quantum statistical properties of squeezed coherent state at a single-photon level. The photon antibunching effect can be characterized by the second-order photon correlation g (2)(τ), which is introduced by Glauber to determine the non-classical properties of the light field. Namely, the second-order photon correlation g (2)can be used as a metric to distinguish different lights. Hanbury Brown-Twiss (HBT) scheme is used to measure the second-order photon correlation experimentally. However, the second-order photon correlation g (2)can reflect only the variance of the photon-number statistical distribution. In order to obtain more information about the photon statistical distribution and non-classical features, it is necessary to measure higher-order photon correlations. Then the higher-order photon correlations for different light fields are studied by extending the traditional HBT scheme and combining with multiplex single-photon detection technology. This method can be applied to ghost imaging, characterization of single-photon detectors, research of exciton dynamics, and analysis of NV center fluorescence emission. However, the research on photon statistics of the squeezed state focuses mainly on the second-order photon correlation and the effect of displacement amplitude on the statistical properties. The effect of squeezed phase on photon antibunching and higher-order photon correlation of squeezed coherent states, with background noise and detection efficiency taken into consideration, have not been investigated. In this paper, we study high-order photon correlations and antibunching effect of phase-variable squeezed coherent state based on an extended HBT scheme. The photon statistics of the squeezed coherent state manifests prominent antibunching effect by adjusting the squeezing parameter r, displacement amplitude αand squeezing phase θ. The antibunching effect of the state can be obtained in a wide range of α- rparameter space when squeezing phase θ∈[0,π/2]. In an ideal case, the minimum antibunching values of the squeezed coherent state are g (2)= 4.006 × 10 –4, g (3)= 1.3594 × 10 –4and g (4)= 6.6352 × 10 –5. When the detection efficiency η= 0.1 and background noise γ= 10 –6, the strong antibunching effect can still be observed, specifically, g (2)= 0.1740, g (3)= 0.0432, g (4)= 0.0149. The results indicate that the antibunching effect of higher-order photon correlation has strong robustness against the experimental environment. In addition, the antibunching effect of the phase-variable squeezed coherent state is studied as a function of the measured mean photon number < n> and the squeezing degree S. When the measured mean photon number is much less than 1 and the squeezing parameter is less than 10 –4, a prominent photon anti-bunching effect of g (n) $\ll $ 0.5 can still be obtained. The results show that the control of the squeezing phase θcan be used to prepare the squeezed coherent state with obvious antibunching effect, which has potentially important applications in quantum metrology and secure communication.-
Keywords:
- high-order photon correlation/
- squeezed coherent state/
- squeezing phase/
- antibunching effect
[1] [2] [3] [4] [5] [6] [7] [8] [9] [10] [11] [12] [13] [14] [15] [16] [17] [18] [19] [20] [21] [22] [23] [24] [25] [26] [27] [28] [29] [30] [31] [32] [33] [34] [35] [36] [37] [38] [39] [40] [41] [42] [43] [44] [45] [46] -
[1] [2] [3] [4] [5] [6] [7] [8] [9] [10] [11] [12] [13] [14] [15] [16] [17] [18] [19] [20] [21] [22] [23] [24] [25] [26] [27] [28] [29] [30] [31] [32] [33] [34] [35] [36] [37] [38] [39] [40] [41] [42] [43] [44] [45] [46]
计量
- 文章访问数:4122
- PDF下载量:97
- 被引次数:0












下载:







