-
ZnGeP 2晶体是3—5 μm中红外激光输出的最好频率转换材料, 可实现激光器的全固态化和大功率输出. 但在8—12 μm处由于本证缺陷导致的吸收带与光参量振荡器的抽运波长交叠, 限制了光参量振荡器的应用性能, 使其无法实现远红外激光输出. 本论文采用密度泛函理论讨论了ZnGeP 2晶体6种缺陷结构的形成能与缺陷迁移机制. 结果表明
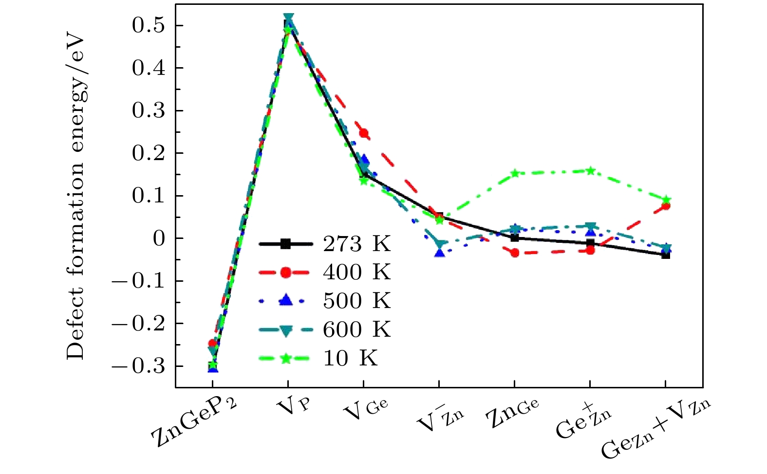
$ {{\text{V}}_{\text{P}}} $ 和V Ge两种缺陷结构较难形成,$ {\text{V}}_{\text{Zn}}^{-} $ ,$ {\text{Z}}{{\text{n}}_{{\text{Ge}}}} $ ,$ {\text{Ge}}_{{\text{Zn}}}^{+} $ 和$ {\text{G}}{{\text{e}}_{{\text{Zn}}}}{\text{ + }}{{\text{V}}_{{\text{Zn}}}} $ 四种缺陷容易形成. 当Ge原子微富余Zn原子, 温度为10 K, 500 K和600 K时,$ {\text{V}}_{\text{Zn}}^{-} $ 形成能小于$ {\text{Ge}}_{{\text{Zn}}}^{+} $ , 当温度为273 K和400 K时,$ {\text{Ge}}_{{\text{Zn}}}^{+} $ 形成能小于$ {\text{V}}_{\text{Zn}}^{-} $ . 晶体的体积膨胀率与缺陷形成能的关系为负相关, 即晶体体积膨胀率越大, 缺陷形成能越低. 差分电荷密度分析显示Ge Zn和V Zn+ Ge Zn两种缺陷结构中原子间电子云密度增强, 空位缺陷(V Zn和V Ge)与反位缺陷(Ge Zn和Zn Ge)结合形成联合缺陷后, 空位缺陷格点处电子云密度增强. 当温度为10 K时, ZnGeP 2晶体的吸收光谱显示V Ge, V Zn, Zn Ge和Ge Zn四种缺陷结构在0.6—2.5 µm有较明显吸收. V Zn的迁移能最低, V Ge迁移能最高. V P在迁移过程中迁移能与空间位阻有关, 而V Ge和V Zn的迁移能与原子间距离有关.ZnGeP 2crystals are the frequency conversion materials with the excellent comprehensive performances in a range of 3–5 μm. However, the overlap of the absorption band and the pump wavelength range of optical parametric oscillator at 8–12 μm limits the application performance of the optical parametric oscillator and makes it impossible to achieve a far-infrared laser output. In this work, the formation energy and migration mechanism of six kinds of defects of ZnGeP 2crystal are discussed by density functional theory. The results show that two defective structures of$\rm{V_P}$ and$\rm{V_{Ge}}$ are difficult to form, while four defective structures of$\rm V_{\rm Zn}^ -$ ,$\rm{Z{n_{Ge}}}$ ,$ {\rm Ge}_{\rm Zn}^ + $ and$\rm{ G{e_{\rm Zn}} + {V_{\rm Zn}}}$ are easy to create. When the number of Ge atoms are slightly more than that of Zn atoms in ZnGeP 2crystals, the vacancy defects$\rm V_{\rm Zn}^ -$ form more easily than antistructure defects$ {\rm Ge}_{\rm Zn}^ + $ at 10 K, 500 K and 600 K, but the antistructure defects$ {\rm Ge}_{\rm Zn}^ + $ are easier to form than the vacancy defects$ {\text{V}}_{\text{Zn}}^{-} $ at 273 K and 400 K. There is a negative correlation between the volume expansion rate and the defect formation energy of ZnGeP 2crystal. The larger the volume expansion rate, the lower the defect formation energy is. The differential charge density shows that the electron cloud density among the atoms is enhanced in the defective structures of Ge Znand V Zn+Ge Zn. The electron cloud density at the lattices of vacancy defects is enhanced when the vacancy defects (V Znand V Ge) and antistructure defects (Ge Znand Zn Ge) form the joint defects. Comparing with the defect-free cells, the charge of Zn atoms increases significantly, that of Ge is significantly reduced, and that of P does not change in the antistructure defect Zn Geor Ge Zn. The absorption spectra of ZnGeP 2crystal at 10K show that there is the significant absorption in a wavelength range from 0.6 μm to 2.5 μm for the four defective structures: V Ge, V Zn, Zn Geand Ge Zn, while the absorption in this range is small for the defective structures V Pand Ge Zn+V Zn. The V Znhas the lowest migration energy, while V Gehas the highest. The difficulty for V Pto migrate depends on the space resistance, while the difficulty for V Geand V Znto migrate depend on the inter-atomic distance. This may be related to the small radius and high proportion of P atoms and the large radius and low proportion of Ge and Zn atom in ZnGeP 2crystal.[1] [2] [3] [4] [5] [6] [7] [8] [9] [10] [11] [12] [13] [14] [15] [16] [17] [18] [19] [20] [21] [22] -
温度/K 元素 电荷 化学键 键长/nm 元素 电荷 元素 电荷 化学键 键长/nm 元素 电荷 273 无缺陷晶体 Ge4 0.69 Ge4-P6 2.35899 P6 –0.32 ZnGe Zn9 0.13 Zn9-P8 2.48614 P8 –0.34 Ge4-P4 2.35999 P4 –0.36 Zn9-P6 2.50023 P6 –0.4 Ge4-P8 2.34575 P8 –0.32 Zn9-P12 2.49713 P12 –0.38 Ge4-P3 2.28732 P3 –0.35 Zn9-P11 2.42738 P11 –0.33 Zn3 0.01 Zn3-P4 2.31271 P4 –0.36 GeZn Ge1 0.37 Ge1-P6 2.69564 P6 –0.36 Zn3-P3 2.34784 P3 –0.35 Ge1-P3 2.62636 P3 –0.32 Zn3-P6 2.40425 P6 –0.32 Ge1-P8 2.57614 P8 –0.32 Zn3-P8 2.46926 P8 –0.32 Ge1-P4 2.51162 P4 –0.35 600 无缺陷晶体 Ge4 0.68 Ge4-P6 2.23412 P6 –0.37 ZnGe Zn5 0.15 Zn5-P8 2.3525 P8 –0.37 Ge4-P4 2.34218 P4 –0.32 Zn5-P6 2.65332 P6 –0.32 Ge4-P8 2.40672 P8 –0.34 Zn5-P12 2.6305 P12 –0.34 Ge4-P3 2.34169 P3 –0.31 Zn5-P11 2.54137 P11 –0.36 Zn2 0 Zn2-P5 2.48759 P5 –0.33 GeZn Ge1 0.37 Ge1-P7 2.57682 P7 –0.33 Zn2-P7 2.37797 P7 –0.37 Ge1-P5 2.65679 P5 –0.34 Zn2-P3 2.3425 P3 –0.31 Ge1-P8 2.56753 P8 –0.33 Zn2-P8 2.40251 P8 –0.34 Ge1-P3 2.49967 P3 –0.29 原子间距/(10–10m) 迁移能/eV 原子间距/(10–10m) 迁移能
/eV原子间距/(10–10m) 迁移能
/eVP1-P2 3.729 2.48595 P1-P3 4.024 2.54995 P1-P4 3.757 3.31980 P2-P1 3.729 2.45433 P3-P1 4.024 2.74953 P4-P1 3.757 3.24897 P1-P5 3.881 2.75197 P1-P6 3.554 2.28346 P1-P7 3.781 2.35649 P5-P1 3.881 2.67016 P6-P1 3.554 2.66777 P7-P1 3.781 2.27400 P1-P8 3.633 2.08976 P1-P9 3.947 2.68005 P8-P1 3.633 2.01885 P9-P1 3.947 2.87954 原子间距/(10–10m) 迁移能
/eV原子间距/(10–10m) 迁移能/eV 原子间距/(10–10m) 迁移能
/eVGe1-Ge2 3.668 2.41507 Ge1-Ge3 6.682 4.84944 Ge1-Ge4 6.720 5.76056 Ge2-Ge1 3.668 2.16555 Ge3-Ge1 6.682 4.77747 Ge4-Ge1 6.720 5.68664 Ge1-Ge5 3.857 2.85194 Ge1-Ge6 3.906 2.67506 Ge1-Ge7 5.505 5.15750 Ge5-Ge1 3.857 2.80361 Ge6-Ge1 3.906 2.62691 Ge7-Ge1 5.505 5.15696 Ge1-Ge8 6.635 4.50346 Ge8-Ge1 6.635 4.21664 原子间距/(10–10m) 迁移能
/eV原子间距/(10–10m) 迁移能
/eV原子间距/(10–10m) 迁移能
/eVZn1-Zn2 3.884 1.75494 Zn1-Zn3 3.730 2.03159 Zn1-Zn4 3.982 2.00985 Zn2-Zn1 3.884 1.81019 Zn3-Zn1 3.730 2.05914 Zn4-Zn1 3.982 2.04534 Zn1-Zn5 5.505 3.52642 Zn1-Zn6 6.906 5.04726 Zn5-Zn1 5.505 3.52635 Zn6-Zn1 6.906 5.12510 -
[1] [2] [3] [4] [5] [6] [7] [8] [9] [10] [11] [12] [13] [14] [15] [16] [17] [18] [19] [20] [21] [22]
计量
- 文章访问数:3458
- PDF下载量:76
- 被引次数:0












下载:









