-
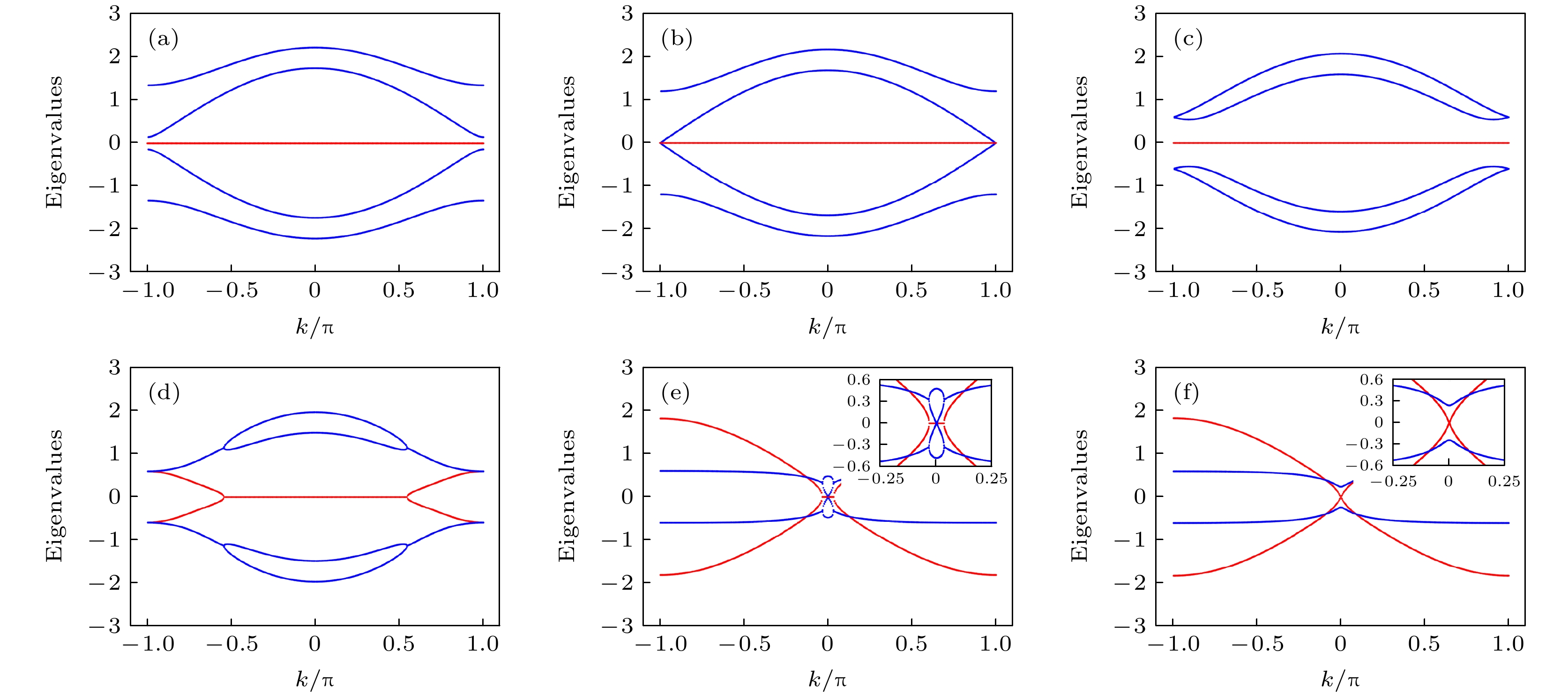
理论上分析了受自旋指标调控并施以增益和损耗复势能的一维非厄米自旋轨道耦合Su-Schrieffer-Heeger (SSH)模型的拓扑性质和能谱特性. 发现虚势能导致体系的拓扑非平庸区出现能谱虚化, 而在拓扑平庸区发生
${\cal {PT}}$ 相变. 此外, 虚势能和自旋轨道耦合共同作用使得拓扑平庸区中发生拓扑相变, 并且拓扑非平庸区变宽. 能谱结果显示, 虚势能和自旋轨道耦合对于体系的零能态有明显的调控作用, 主要在于出现了4种局域性、数目均不同的零能态. 这说明虚势能和自旋轨道耦合对体系的能带结构的特殊调节效果. 本文有助于理解${\cal {PT}}$ 对称非厄米系统的拓扑相变行为.The topological property and the energy property of one-dimensional non-Hermitian spin-orbit-coupled Su-Schrieffer-Heeger (SSH) model are investigated theoretically, by introducing spin-dependent imaginary potentials with gain and loss effects. It is found that the imaginary potential leads the imaginary energy spectra to appera in the topologically nontrivial region of this system, and the${\cal {PT}}$ phase transition to happen in the topologically trivial region. In addition, the imaginary potential energy and spin-orbit coupling work together to make the topological phase transition occur in the topologically trivial region, and the topological non-trivial region becomes wider. The energy spectrum results show that the imaginary potential energy and the spin-orbit coupling can obviously control the zero-energy states of the system, which mainly lies in the presence of four zero-energy states with four different localities and numbers. This shows the special adjustment effect of imaginary potential energy and spin-orbit coupling on the energy band structure of the system. It is believed that these results are helpful in understanding the topological phase transition behavior of${\cal {PT}}$ -symmetric non-Hermitian system.-
Keywords:
- $\cal{PT}$ symmetry/
- topological phase transition/
- Su-Schrieffer-Heeger lattice/
- spin-orbit coupling
[1] [2] [3] [4] [5] [6] [7] [8] [9] [10] [11] [12] [13] [14] [15] [16] [17] [18] [19] [20] [21] [22] [23] [24] [25] [26] [27] [28] [29] [30] [31] [32] [33] [34] [35] [36] [37] [38] -
Symmetry TRS PHS $\mathrm{TRS}^\dagger$ $\mathrm{PHS}^\dagger$ CS Class ${\boldsymbol{{\cal{T} }}}({\boldsymbol{{\cal{T} }}}_{+})$ ${\boldsymbol{{\varGamma}}}({\boldsymbol{{\cal{C} }}}_{-})$ $~{\boldsymbol{{\cal{C}}}}_{+}$ ${\boldsymbol{{\cal{T}}}}_{-}$ ${\boldsymbol{{\cal {C} }}}$ ${\mathrm{BDI}}$ +1 +1 0 0 1 ${\mathrm{BDI}}^{\dagger}$ 0 0 +1 +1 1 -
[1] [2] [3] [4] [5] [6] [7] [8] [9] [10] [11] [12] [13] [14] [15] [16] [17] [18] [19] [20] [21] [22] [23] [24] [25] [26] [27] [28] [29] [30] [31] [32] [33] [34] [35] [36] [37] [38]
计量
- 文章访问数:4209
- PDF下载量:387
- 被引次数:0












下载:






