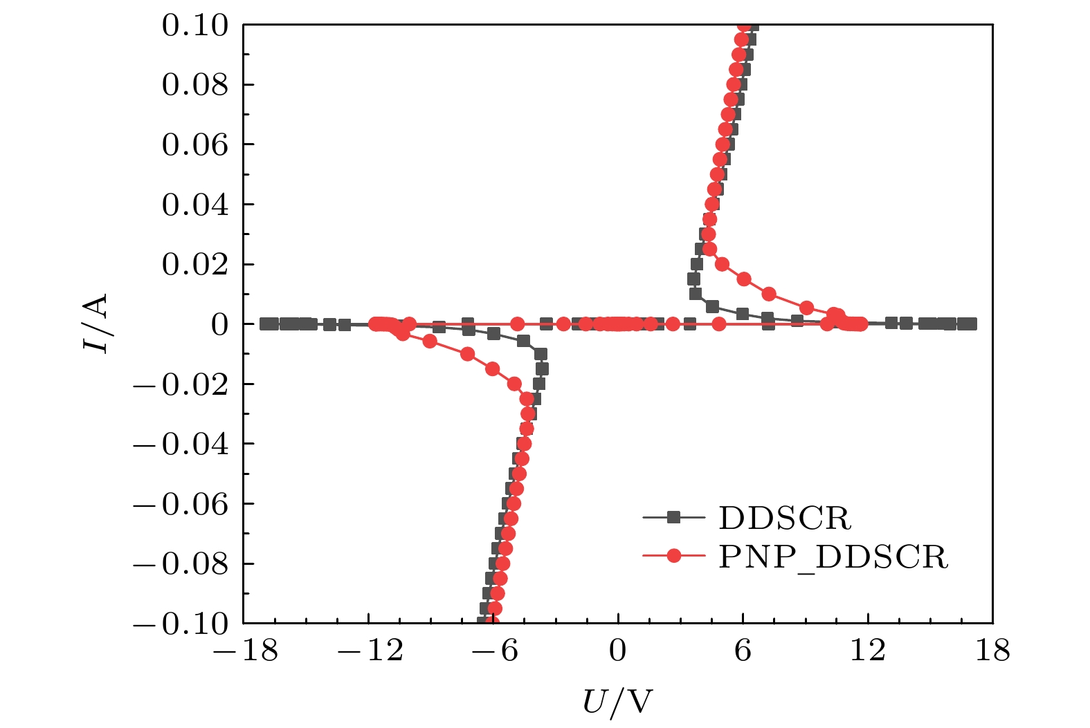
With the shrinking of semiconductor technology and the increasing of integrated circuits, electrostatic discharge (ESD) as a common natural phenomenon has become one of the main reasons for the failure and reliability reduction of electronic products in integrated circuits. A novel dual-direction ESD device (PNP_DDSCR) with embedded lateral PNP transistor is proposed for diminishing ESD damage. The response process and current transportation of PNP_DDSCR under different ESD stress modes are investigated. Comparative analyses between conventional DDSCR and PNP_DDSCR are executed by TCAD simulation. On the stage of device triggering, the embedded lateral PNP transistor inner DDSCR system provides triggering current for device. The injection efficiency of parasitic transistor in the DDSCR system is improved, and the positive feedback system is promoted. Thus, the holding voltage of PNP_DDSCR is higher than that of conventional DDSCR. At the same time, an extra triggering path introduced by embedded lateral PNP transistor of PNP_DDSCR makes the total triggering path of device shorten. Therefore, the transient overshoot voltage of PNP_DDSCR is lower than that of DDSCR. For thermal performance, most of the heat first accumulates near the lateral PNP transistor , and then the peak point of heat turns to main SCR path with the conduction of PNP_DDSCR. The heat accumulation in PNP_DDSCR is shared by the path of embedded lateral PNP transistor. As a result, the average temperature in PNP_DDSCR is lower than that in DDSCR and the ability of PNP_DDSCR to dissipate heat is more perfect. Comparing with DDSCR, the conclusions are obtained. Under the condition of transmission line pulse (TLP) test simulation analyses, the triggering voltage is reduced by 31%, the holding voltage is increased by 16.8%, the ESD design window is optimized by 44.5%, and on-resistance is lower. When TLP stress is 2.67 A, the average temperature of PNP_DDSCR is much lower than that of traditional DDSCR in the whole conduction process. With the increase of pulse lasting time, average temperature difference between two devices becomes great further. According to the very fast TLP (VF-TLP) testing results, clamping capability of PNP_DDSCR under transient overshoot voltage is more stable under the condition of fast turn-on speed. When the VF-TLP stress is 0.1 A, the overshoot voltage of PNP_DDSCR device is the 37% of that of DDSCR device while the PNP_DDSCR maintains a relatively fast triggering speed. Thus, the ESD protection capability of PNP_DDSCR is superior.