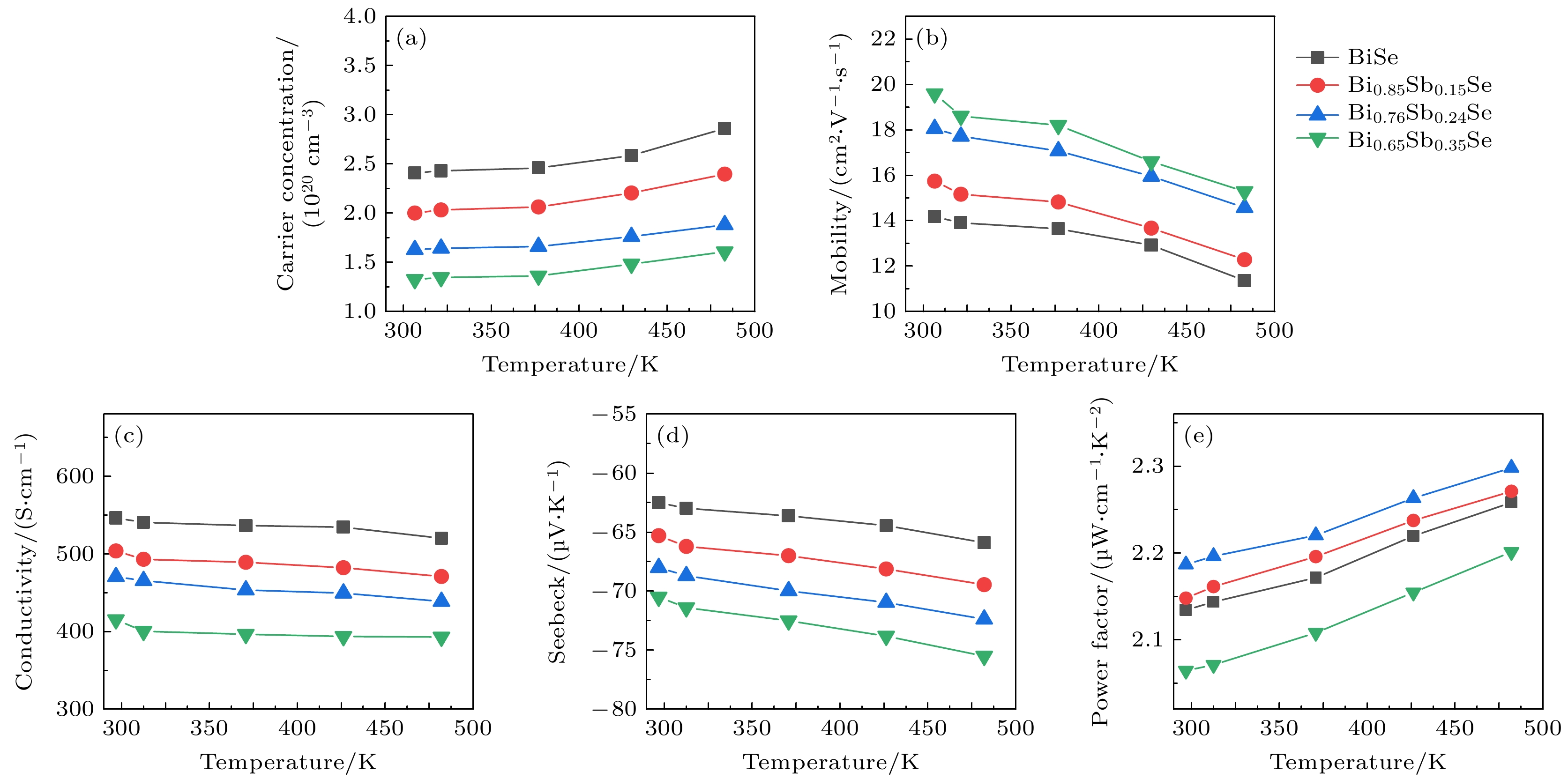
| [1] |
李睿英, 罗婷婷, 李貌, 陈硕, 鄢永高, 吴劲松, 苏贤礼, 张清杰, 唐新峰.n型Bi2–xSbxTe3–ySey基化合物的缺陷结构调控与电热输运性能. 必威体育下载 , 2024, 73(9): 097101.doi:10.7498/aps.73.20240098 |
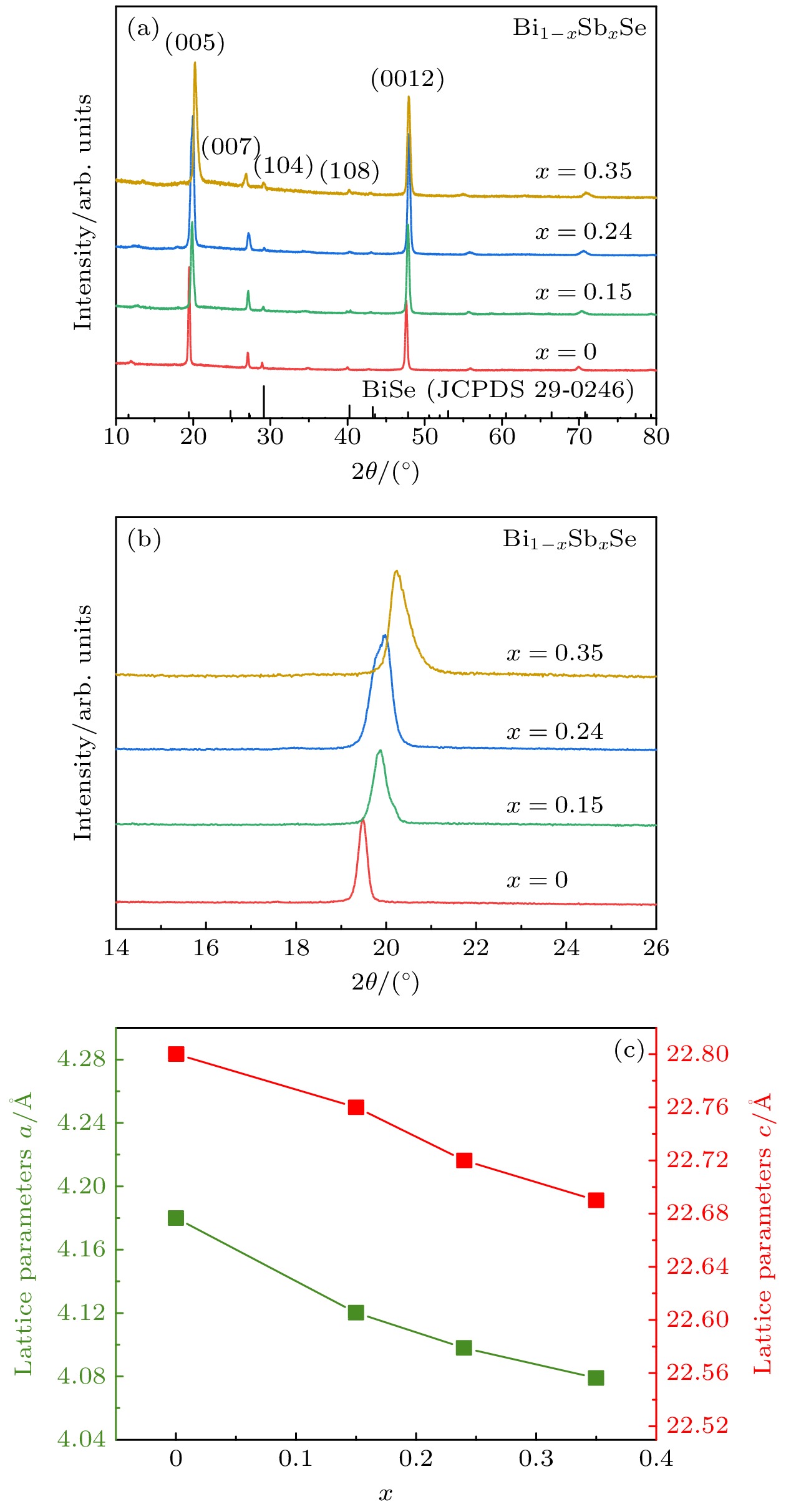
| [2] |
李强, 陈硕, 刘可可, 鲁志强, 胡芹, 冯利萍, 张清杰, 吴劲松, 苏贤礼, 唐新峰.n型Bi2Te3基化合物的类施主效应和热电性能. 必威体育下载 , 2023, 72(9): 097101.doi:10.7498/aps.72.20230231 |
| [3] |
陈赟斐, 魏锋, 王赫, 赵未昀, 邓元.高性能Bi2Te3–xSex热电薄膜的可控生长. 必威体育下载 , 2021, 70(20): 207303.doi:10.7498/aps.70.20211090 |
| [4] |
汪静丽, 陈子玉, 陈鹤鸣.基于Si3N4/SiNx/Si3N4三明治结构的偏振无关1 × 2多模干涉型解复用器的设计. 必威体育下载 , 2020, 69(5): 054206.doi:10.7498/aps.69.20191449 |
| [5] |
邹平, 吕丹, 徐桂英.高压烧结制备Tb掺杂n型(Bi1–xTbx)2(Te0.9Se0.1)3合金及其微结构和热电性能. 必威体育下载 , 2020, 69(5): 057201.doi:10.7498/aps.69.20191561 |
| [6] |
潘北诚, 史庆藩, 孙刚.颗粒堆准静态崩塌及慢速流动过程中的堆结构研究. 必威体育下载 , 2014, 63(1): 014703.doi:10.7498/aps.63.014703 |
| [7] |
林琦, 陈余行, 吴建宝, 孔宗敏.N掺杂对zigzag型石墨烯纳米带的能带结构和输运性质的影响. 必威体育下载 , 2011, 60(9): 097103.doi:10.7498/aps.60.097103 |
| [8] |
胡晓君, 胡衡, 陈小虎, 许贝.磷离子注入纳米金刚石薄膜的n型导电性能与微结构研究. 必威体育下载 , 2011, 60(6): 068101.doi:10.7498/aps.60.068101 |
| [9] |
王德义, 高书霞, 李刚, 赵鸣.溶胶-凝胶法制备Li-N双掺p型ZnO薄膜的结构、光学和电学性能. 必威体育下载 , 2010, 59(5): 3473-3480.doi:10.7498/aps.59.3473 |
| [10] |
苏贤礼, 唐新峰, 李涵.熔体旋甩工艺对n型InSb化合物的微结构及热电性能的影响. 必威体育下载 , 2010, 59(4): 2860-2866.doi:10.7498/aps.59.2860 |
| [11] |
周龙, 李涵, 苏贤礼, 唐新峰.In掺杂对n型方钴矿化合物的微结构及热电性能的影响规律. 必威体育下载 , 2010, 59(10): 7219-7224.doi:10.7498/aps.59.7219 |
| [12] |
卢鹏, 侯国付, 袁育杰, 杨瑞霞, 赵颖.n型掺杂层结构对n-i-p型微晶硅电池性能和光致衰退特性的影响. 必威体育下载 , 2010, 59(6): 4330-4336.doi:10.7498/aps.59.4330 |
| [13] |
王善禹, 谢文杰, 李涵, 唐新峰.熔体旋甩法合成n型(Bi0.85Sb0.15)2(Te1-xSex)3化合物的微结构及热电性能. 必威体育下载 , 2010, 59(12): 8927-8933.doi:10.7498/aps.59.8927 |
| [14] |
戴明, 廖远宝, 刘东, 甘新慧, 徐岭, 马忠元, 徐骏, 陈坤基.CdTe纳米晶及层状纳米晶薄膜的生长及其光荧光性质. 必威体育下载 , 2009, 58(10): 7246-7249.doi:10.7498/aps.58.7246 |
| [15] |
刘强, 程新路, 范勇恒, 杨向东.Al和N共掺p型Zn1-xMgxO电子结构的第一性原理计算. 必威体育下载 , 2009, 58(4): 2684-2691.doi:10.7498/aps.58.2684 |
| [16] |
冀子武, 三野弘文, 小嵨映二, 秋本良一, 嶽山正二郎.调制n型掺杂ZnSe/BeTe Ⅱ型量子阱结构的发光特性. 必威体育下载 , 2008, 57(5): 3260-3266.doi:10.7498/aps.57.3260 |
| [17] |
袁育杰, 侯国付, 薛俊明, 韩晓艳, 刘云周, 杨兴云, 刘丽杰, 董 培, 赵 颖, 耿新华.微晶硅n-i-p太阳电池中n型掺杂层对本征层结构特性的影响. 必威体育下载 , 2008, 57(6): 3892-3897.doi:10.7498/aps.57.3892 |
| [18] |
苏贤礼, 唐新峰, 李 涵, 邓书康.Ga填充n型方钴矿化合物的结构及热电性能. 必威体育下载 , 2008, 57(10): 6488-6493.doi:10.7498/aps.57.6488 |
| [19] |
蒋 俊, 许高杰, 崔 平, 陈立东.TeI4掺杂量对n型Bi2Te3基烧结材料热电性能的影响. 必威体育下载 , 2006, 55(9): 4849-4853.doi:10.7498/aps.55.4849 |
| [20] |
吕 强, 荣剑英, 赵 磊, 张红晨, 胡建民, 信江波.热压工艺参数对n型和p型Bi2Te3基赝三元热电材料电学性能的影响. 必威体育下载 , 2005, 54(7): 3321-3326.doi:10.7498/aps.54.3321 |