-
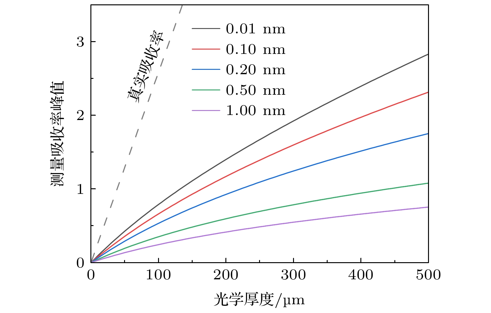
紫外宽带吸收光谱(UV-BAS)作为一种气体定量检测技术, 常用于检测NO等气态污染物, 然而光谱仪对真实光谱的展宽作用会导致吸收率随光学厚度的变化偏离线性关系. 本文针对NO吸收光谱的非线性效应进行了理论与实验研究, 通过建立NO吸收率峰值非线性数据库, 提供了一种基于插值多项式的NO浓度测量方法. 首先理论推导出吸收率随光学厚度的非线性变化关系. 通过对单谱线进行仿真分析, 探究仪器展宽给非线性变化关系带来的影响; 然后定量计算不同仪器展宽下 γ(0, 0)谱带吸收率峰值随光学厚度的变化关系, 并给出多项式模型的非线性表达式并建立系数数据库, 同时对同一展宽不同NO振动谱带的非线性问题进行了比较与分析. 最后, 通过采用不同展宽光谱仪实验测量NO吸收光谱并对上述理论研究结果进行验证, 吸收率峰值实验结果与理论计算的相对误差小于4%, 与数据库插值多项式的误差小于8%, 证明了理论计算的准确性与数据库的可靠性.Ultraviolet broadband absorption spectroscopy (UV-BAS) has been widely used to measure the concentration of gas pollutant, such as NO. However, the nonlinear dependence of the absorbance on the optical thickness ( XL) caused by the broadening effect of instrument function is observed. In this paper, the nonlinear behavior of NO absorbance is investigated both theoretically and experimentally, and a database using a polynomial to describe the nonlinearity is established to present a simple method of measuring NO concentration. First, the nonlinear relationship between absorbance and XLis deduced. Second, the nonlinearity of an isolated spectral line is simulated, and the dependence of nonlinear behavior on instrument width is investigated. Third, the nonlinerities of peak absorbance in γ(0, 0) band with different instrumental widths are calculated, the nonlinear expression is given in a polynomial form, and the corresponding coefficient database is established. In addition, the nonlinearities in different vibration bands with the same instrumental width are compared with each other. Finally, two spectrometers are used to measure NO absorption spectra in different instrumental widths in order to validate the above-mentioned results of theoretical analysis. The relative error between the measured peak absorbance and theoretical calculation is less than 4%, and that between experimental results and the interpolation polynomial results is less than 8%. The experimental results demonstrate the accuracy of theoretical calculation and the reliability of database.
[1] [2] [3] [4] [5] [6] [7] [8] [9] [10] [11] [12] [13] [14] [15] [16] [17] [18] [19] [20] [21] [22] [23] [24] [25] [26] [27] [28] [29] [30] [31] -
Δνin/nm A1/10–3 A2/10–5 A3/10–8 0.01 16.572 –2.120 1.499 0.05 8.779 –1.041 0.846 0.10 7.379 –0.890 0.689 0.50 4.037 –0.620 0.493 1.00 2.810 –0.429 0.341 5.00 0.720 –0.130 0.107 Δνin/nm A1/10–3 A2/10–5 A3/10–8 0.010 16.572 –2.120 1.499 0.015 13.854 –2.170 1.728 0.020 11.977 –1.912 1.646 0.025 10.828 –1.624 1.460 0.030 10.087 –1.374 1.208 0.035 9.619 –1.229 1.046 0.040 9.281 –1.143 0.952 0.045 9.010 –1.084 0.891 0.050 8.779 –1.041 0.846 0.055 8.576 –1.008 0.812 0.060 8.395 –0.982 0.785 0.065 8.231 –0.962 0.763 0.070 8.081 –0.945 0.745 0.075 7.943 –0.932 0.731 0.080 7.815 –0.921 0.719 0.085 7.696 –0.911 0.709 0.090 7.584 –0.903 0.702 0.095 7.479 –0.896 0.695 0.10 7.379 –0.890 0.689 0.15 6.596 –0.849 0.653 0.20 6.038 –0.818 0.631 0.25 5.577 –0.786 0.609 0.30 5.178 –0.753 0.587 0.35 4.829 –0.718 0.564 0.40 4.526 –0.683 0.540 0.45 4.264 –0.650 0.516 0.50 4.037 –0.620 0.493 0.55 3.842 –0.591 0.472 0.60 3.673 –0.566 0.452 0.65 3.525 –0.542 0.433 0.70 3.395 –0.521 0.416 0.75 3.278 –0.501 0.400 0.80 3.171 –0.484 0.386 0.85 3.073 –0.468 0.373 0.90 2.981 –0.454 0.362 0.95 2.893 –0.441 0.351 1.0 2.810 –0.429 0.341 1.2 2.510 –0.389 0.309 1.4 2.256 –0.355 0.283 1.6 2.039 –0.327 0.261 1.8 1.855 –0.302 0.242 2.0 1.698 –0.280 0.225 2.5 1.394 –0.237 0.192 3.0 1.178 –0.204 0.166 3.5 1.018 –0.179 0.146 4.0 0.895 –0.159 0.131 4.5 0.798 –0.143 0.118 5.0 0.720 –0.130 0.107 -
[1] [2] [3] [4] [5] [6] [7] [8] [9] [10] [11] [12] [13] [14] [15] [16] [17] [18] [19] [20] [21] [22] [23] [24] [25] [26] [27] [28] [29] [30] [31]
计量
- 文章访问数:5349
- PDF下载量:198
- 被引次数:0












下载:











