-
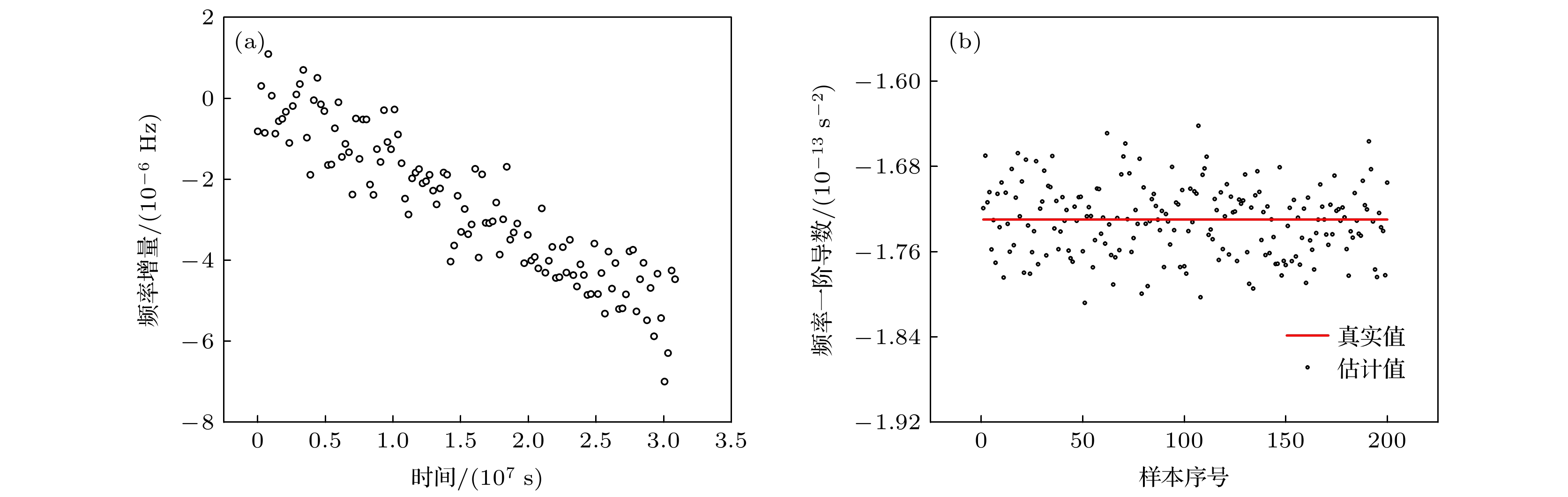
航天器处X 射线脉冲星观测信号模拟对脉冲星信号处理方法及导航方案的验证具有重要意义. 通过建立航天器处光子到达时间与相位之间的关系, 可显著提高脉冲星信号模拟算法的效率. 目前建立的航天器处光子到达时间与相位之间关系模型并未考虑接收信号频率变化, 模拟精度较低. 针对这一问题, 本文建立了考虑频率一、二阶导数时的光子到达时间与相位关系模型, 并基于该模型给出航天器处观测信号模拟方法, 提高了脉冲星观测信号模拟算法精度. 仿真实验证明, 相比于迭代法或实时计算航天器处光子到达速率函数的方法, 利用推导的光子到达时间与相位关系模型, 仿真速度最高可提高3个数量级, 保证了信号模拟算法的高效率; 且相比于未考虑频率变化的情况, 由包含频率一、二阶导数的模型得到的Pearson相关系数最高可提高350.0%, 显著提高了计算精度.
-
关键词:
- X 射线脉冲星导航/
- 脉冲星信号模拟/
- 频率变化/
- Pearson相关系数
The simulation of X-ray pulsar observation signals at spacecraft is of great significance in verifying pulsar signal processing methods and navigation schemes. The efficiency of pulsar signal simulation algorithm can be significantly improved by establishing the relationship between photon arrival time and phase at spacecraft. At present, the frequency change of the received pulsar signal is not considered in the model for the relation between photon arrival time and phase at spacecraft, which leads the calculation accuracy to decrease greatly. To solve this problem, a model for the relation between photon arrival time and phase is established with the first derivative and second derivative of frequency taken into consideration. Based on this model, a new simulation method of observation pulsar signal at a spacecraft is proposed, which not only ensures high efficiency, but also improves the simulation accuracy. The proposed method is verified from three aspects. Firstly, the correctness of the proposed method is proved by comparing the cumulative pulse profile from the simulation data with the standard pulse profile, and the results show that the standard pulse profile can be recovered by the simulation data from the proposed method. Secondly, through the comparison of experimental results with the observational data from RXTE (Rossi X-ray timing Explorer), the correctness of the proposed method is further verified. The experimental comparison results show that the absolute difference in searched frequency between simulated data and observational data for the Crab pulsar is less than 10 –4, which sufficiently validates the method. Finally, the simulation efficiency and accuracy of the proposed method are compared with those of other methods to prove the superiority of the proposed method over the existing methods. The comparison results show that the simulation speed of the proposed method can be increased by up to 3 orders of magnitude compared with that of the iterative method or the method of establishing the real-time photon arrival rate function at the spacecraft, which ensures the high efficiency of the signal simulation algorithm. And comparing with the case without considering the frequency change, the Pearson correlation coefficient is increased by up to 350.0%, significantly improving the calculation accuracy. The proposed method can be used to verify the X-ray pulsar signal processing and navigation algorithms.-
Keywords:
- X-ray pulsar-based navigation/
- pulsar signal simulation/
- frequency variation/
- Pearson correlation coefficient
[1] [2] [3] [4] [5] [6] [7] [8] [9] [10] [11] [12] [13] [14] [15] [16] [17] [18] [19] [20] [21] [22] [23] [24] [25] [26] [27] [28] [29] [30] -
轨道参数 参数值 轨道半长轴 6863.0 km 偏心率 0.002 升交点赤经 313.6° 轨道倾角 22.9° 近地点幅角 94.0° 真近点角 26.6° 脉冲星 自转频率/s–1 频率一阶项/s–2 频率二阶项/s–3 源流量/背景流量/(photons/s) 赤经/rad 赤纬/rad PSR B0531+21 29.9516 –3.77 × 10–10 8.18 × 10–21 527/10536 1.4597 0.3842 PSR B1821–24 327.4056 –1.73 × 10–13 5.85 × 10–30 0.81/1.87 4.8194 –0.4340 PSR B1937+21 641.9282 –4.33 × 10–14 5.85 × 10–30 0.499/4.5 5.1471 0.3766 脉冲星 相关系数 PSR B0531+21 0.999 PSR B1821–24 0.993 PSR B1937+21 0.986 脉冲星 起始观测时间 观测时长/s 平均流量/
(photons·s–1)PSR B0531+21 55465.657384 831.1 5279 观测时长/s 相位差1
(未校正)相位差2
(未校正)相位差1 相位差2 10 0.460950 0.457650 0.004947 0.004601 20 0.457154 0.452854 0.003925 0.003905 30 0.477389 0.473673 0.003654 0.003634 40 0.494393 0.490293 0.003435 0.003417 50 0.495135 0.491035 0.003330 0.003260 60 0.487675 0.483475 0.003264 0.003253 70 0.483102 0.479302 0.003222 0.003214 80 0.482691 0.479069 0.003024 0.003016 90 0.485817 0.483317 0.002967 0.002959 脉冲星 源流量/
背景流量/
(photons·s–1)自转频率/s–1 方法
1/s方法
2/s方法
3/s所提方
法/sPSR B0531+21 527/10536 29.9516 42.05 3.2 0.23 0.41 PSR B1821–24 0.81/1.87 327.4056 0.15 16.2 0.02 0.02 PSR B1937+21 0.499/4.5 641.9282 0.11 36.2 0.01 0.01 -
[1] [2] [3] [4] [5] [6] [7] [8] [9] [10] [11] [12] [13] [14] [15] [16] [17] [18] [19] [20] [21] [22] [23] [24] [25] [26] [27] [28] [29] [30]
计量
- 文章访问数:3224
- PDF下载量:51
- 被引次数:0












下载:











