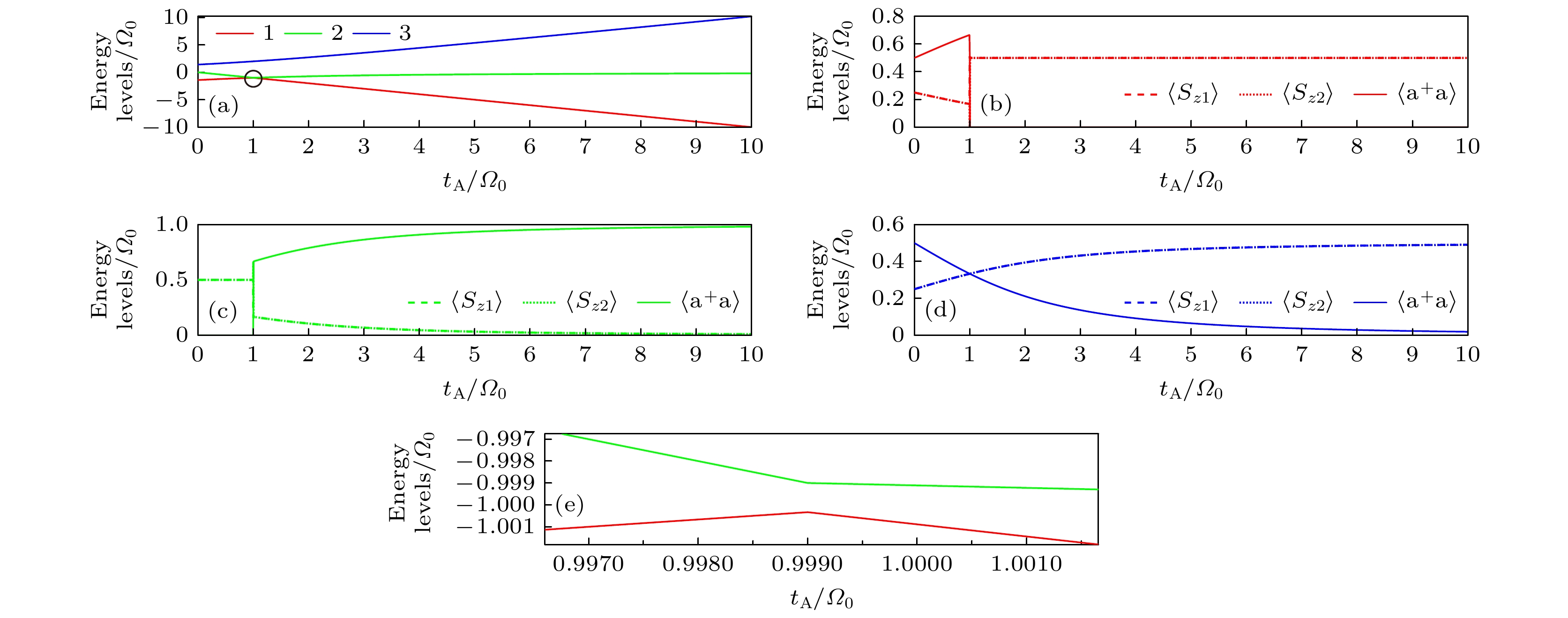
In previous cavity quantum electrodynamics (QED) systems, atomic gas is usually treated as single atoms, thereby resulting in phenomena such as Rabi splitting, and single-photon blocking. Benefiting from the development of superconducting circuit QED, the superconducting quantum interference devices (SQUIDs) can be regarded as artificial atoms, and the detuned coupling of them through LC harmonic oscillators will constitute an equivalent coherent coupling between artificial atoms. According to this, we study the effect of multiple artificial atoms with coherent coupling on the input and output of a single-mode cavity, and analyze the transmission spectrum from the perspective of decorated state. We find that single-mode cavities containing multiple artificial atoms with coherent coupling have significantly different transmittances from cavities containing single atoms, the transmission spectra of which are correlated with the coherent coupling coefficients between the artificial atoms, and the coupling coefficients between the cavity modes and the artificial atoms, and we also find that both the cavity mode leakage rate and the artificial atom decay rate are related to each other. And as the number of artificial atoms increases, the number of transmission peaks does not increase, and there are only three transmission peaks at most. In order to explain the law of this transmission spectrum, we quantize both artificial atoms and cavity modes, and calculate the eigenvalues and eigenstates of the whole in a single quantum case. In principle, if there are several particles, they will form several decorative states, and there will theoretically appear several transmission peaks. However, we find that there are some decorated states that do not contain the photonic component and thus do not contribute to the transmission peak. From the specific form of these decorated states, many of them have the property of many-body entanglement. Therefore, using such a single-mode cavity containing multiple coherently coupled artificial atoms, we can construct the required many-body entangled state by simply inputting weak monochromatic light, and at the same time, we can sense the forms of multi-body entanglement states in the cavity through the change of transmittance.