-
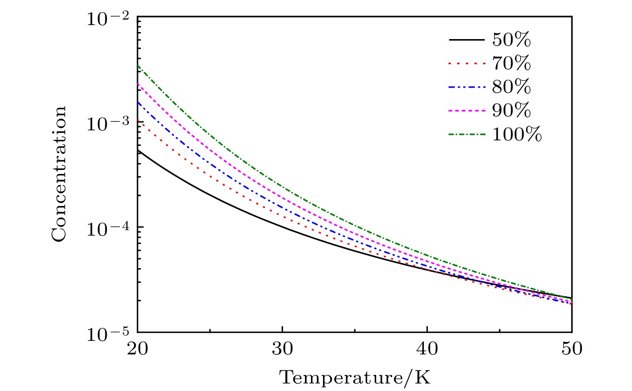
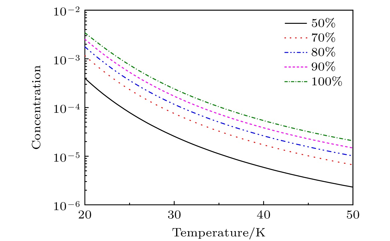
在激光辅助凝聚抑制同位素分离的过冷超饱和超声速气流中, 同位素分子BCl 3与载气原子(稀有气体原子RG: He, Ne, Ar, Kr, Xe)间的接触碰撞形成二聚体BCl 3:RG, 二聚体浓度与温度等参数的关系对同位素分离中参数调控与选择具有重要意义. 本文基于分子间相互作用解析势函数, 考虑二体、三体碰撞诱导的二聚体缔合与解离, 给出了BCl 3:RG二聚体浓度随绝对温度变化的关系. 结果表明: 二体碰撞在BCl 3:RG形成中占据主导, 在BCl 3初始摩尔分数为0.01—0.10内, BCl 3:RG二聚体浓度随BCl 3初始摩尔分数变化大致呈线性关系, 初始摩尔分数不仅决定理论上二聚体浓度的极限值, 还主导了低温区二聚体浓度; 在超声速流气室温度为20 K左右时, 采用较重的惰性气体Kr形成二聚体的浓度最大, 同时给出了不同温度区间各种载气对应的二聚体浓度大小; 进一步, 通过二聚体中有效解离能和伸缩振动频率等参数的变化, 在分子尺度上利用简单模型解释了激光辅助凝聚抑制的内在微观机制.In the low temperature environment generated by supersonic flow in the process of laser assisted retardation of condensation of isotope separation for BCl 3, the molecular isotopes BCl 3and carrier gas (rare gas (RG): He, Ne, Ar, Kr, Xe) can form BCl 3:RG dimer via contact collision process. The mechanism and relationship between dimer concentration and absolute temperature of dimer involving BCl 3molecules are of great significance for regulating and selecting the isotope separation parameters. In this work, based on the analytic description of the anharmonic interaction potential function of BCl 3:RG, and considering the two-body and three-body collision induced association and dissociation of dimers, the concentration of BCl 3:RG dimers is obtained at the absolute temperature in a range of 20–40 K. The obtained results are as follows. The two-body collision is dominant in the formation of dimer in the low temperature range. When the initial molar fraction of BCl 3is in a range of 0.01–0.10, the BCl 3:RG dimer concentration changes approximately linearly with the initial molar fraction of BCl 3, indicating that the initial molar fraction not only determines the theoretical upper limit of the dimer concentration, but also dominates the dimer concentration in a low temperature range. When the temperature of the supersonic flow chamber is about 20 K, the concentration of BCl 3:Kr dimers is largest, and the concentrations of other dimers are also presented. Furthermore, we explain the mechanism of laser assisted retardation of condensation in separation of isotopes by using a simple model on a molecular scale by adjusting the parameters of dissociation energy and stretching vibration frequency of the dimer.
[1] [2] [3] [4] [5] [6] [7] [8] [9] [10] [11] [12] [13] [14] [15] [16] [17] [18] [19] [20] [21] -
温度T/K BCl3:He/10–4 BCl3:Ne/10–4 BCl3:Ar/10–4 BCl3:Kr/10–4 BCl3:Xe/10–4 20.0 21.7 20.1 34.5 n/a 66.2 20.5 20.0 18.0 29.1 91.0 55.3 21.0 18.5 16.1 24.6 79.9 46.1 21.5 17.2 14.5 20.9 69.7 38.3 22.0 16.0 13.1 17.8 60.5 31.8 22.5 14.9 11.9 15.3 52.4 26.4 23.0 13.9 10.8 13.1 45.3 22.0 23.5 13.0 9.82125 11.3 39.2 18.4 24.0 12.2 8.97569 9.83335 33.9 15.5 24.5 11.4 8.22618 8.56576 29.3 13.0 25.0 10.7 7.55977 7.49333 25.4 11.0 25.5 10.1 6.96548 6.58238 22.1 9.37370 26.0 9.54682 6.43398 5.80547 19.3 8.00714 26.5 9.02508 5.95728 5.14022 16.8 6.87095 27.0 8.54503 5.52857 4.56831 14.7 5.92244 27.5 8.10250 5.14199 4.07473 13.0 5.12731 28.0 7.69381 4.79251 3.64712 11.4 4.45793 28.5 7.31570 4.47579 3.27529 10.1 3.89202 29.0 6.96527 4.18808 2.95080 8.97688 3.41159 29.5 6.63995 3.92610 2.66662 7.99078 3.00205 30.0 6.33746 3.68704 2.41692 7.13453 2.65152 30.5 6.05576 3.46841 2.19678 6.38891 2.35034 31.0 5.79303 3.26806 2.00210 5.73774 2.09055 31.5 5.54762 3.08409 1.82941 5.16742 1.86565 32.0 5.31808 2.91484 1.67578 4.66648 1.67025 32.5 5.10308 2.75884 1.53871 4.22524 1.49989 33.0 4.90144 2.61480 1.41609 3.83551 1.35086 33.5 4.71209 2.48156 1.30610 3.49035 1.22007 34.0 4.53406 2.35812 1.20720 3.18384 1.10494 34.5 4.36648 2.24357 1.11805 2.91096 1.00327 35.0 4.20854 2.13710 1.03750 2.66739 0.913239 35.5 4.05952 2.03799 0.964548 2.44947 0.833287 36.0 3.91878 1.94560 0.898342 2.25403 0.762093 36.5 3.78571 1.85936 0.838129 2.07834 0.698532 37.0 3.65976 1.77874 0.783253 1.92005 0.641643 37.5 3.54044 1.70329 0.733144 1.77713 0.590602 38.0 3.42728 1.63257 0.687301 1.64781 0.544699 38.5 3.31988 1.56621 0.645283 1.53056 0.503325 39.0 3.21784 1.50388 0.606702 1.42405 0.465950 39.5 3.12081 1.44524 0.571217 1.32709 0.432116 40.0 3.02848 1.39004 0.538526 1.23868 0.401426 注: n/a = not available, 表示该点的数值计算未收敛. -
[1] [2] [3] [4] [5] [6] [7] [8] [9] [10] [11] [12] [13] [14] [15] [16] [17] [18] [19] [20] [21]
计量
- 文章访问数:3237
- PDF下载量:45
- 被引次数:0












下载:



