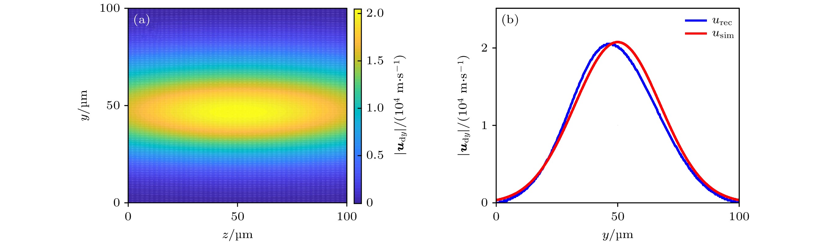
2016 Nat. Commun. 7 13081)有关等离子体喷流自生磁场的质子照相实验结果, 给出的最大磁场强度约为传统反演结果的1.9倍. 本研究有助于对激光聚变和实验室天体物理相关的自生电磁场形成及其时空演化行为的认识更加清晰."> - 必威体育下载

搜索

x

留言板

姓名
邮箱
手机号码
标题
留言内容
验证码

downloadPDF
引用本文:
Citation:

邓娈, 杜报, 蔡洪波, 康洞国, 朱少平

Self-generated magnetic field in plasma reconstructed by using inverse Abel transformation in proton radiography

Deng Luan, Du Bao, Cai Hong-Bo, Kang Dong-Guo, Zhu Shao-Ping
PDF
HTML
导出引用
计量
  • 文章访问数:4093
  • PDF下载量:175
  • 被引次数:0
出版历程
  • 收稿日期:2022-09-22
  • 修回日期:2022-10-14
  • 上网日期:2022-11-16
  • 刊出日期:2022-12-24

    返回文章
    返回