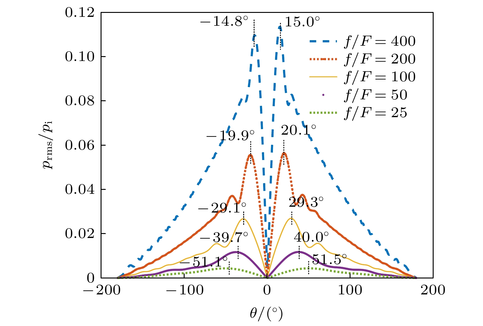
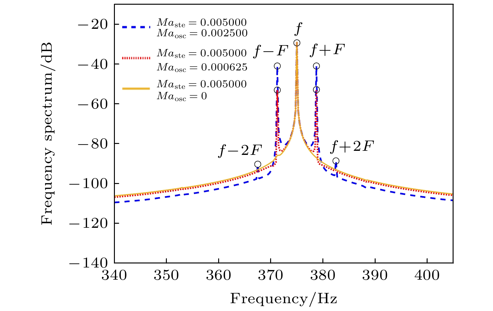
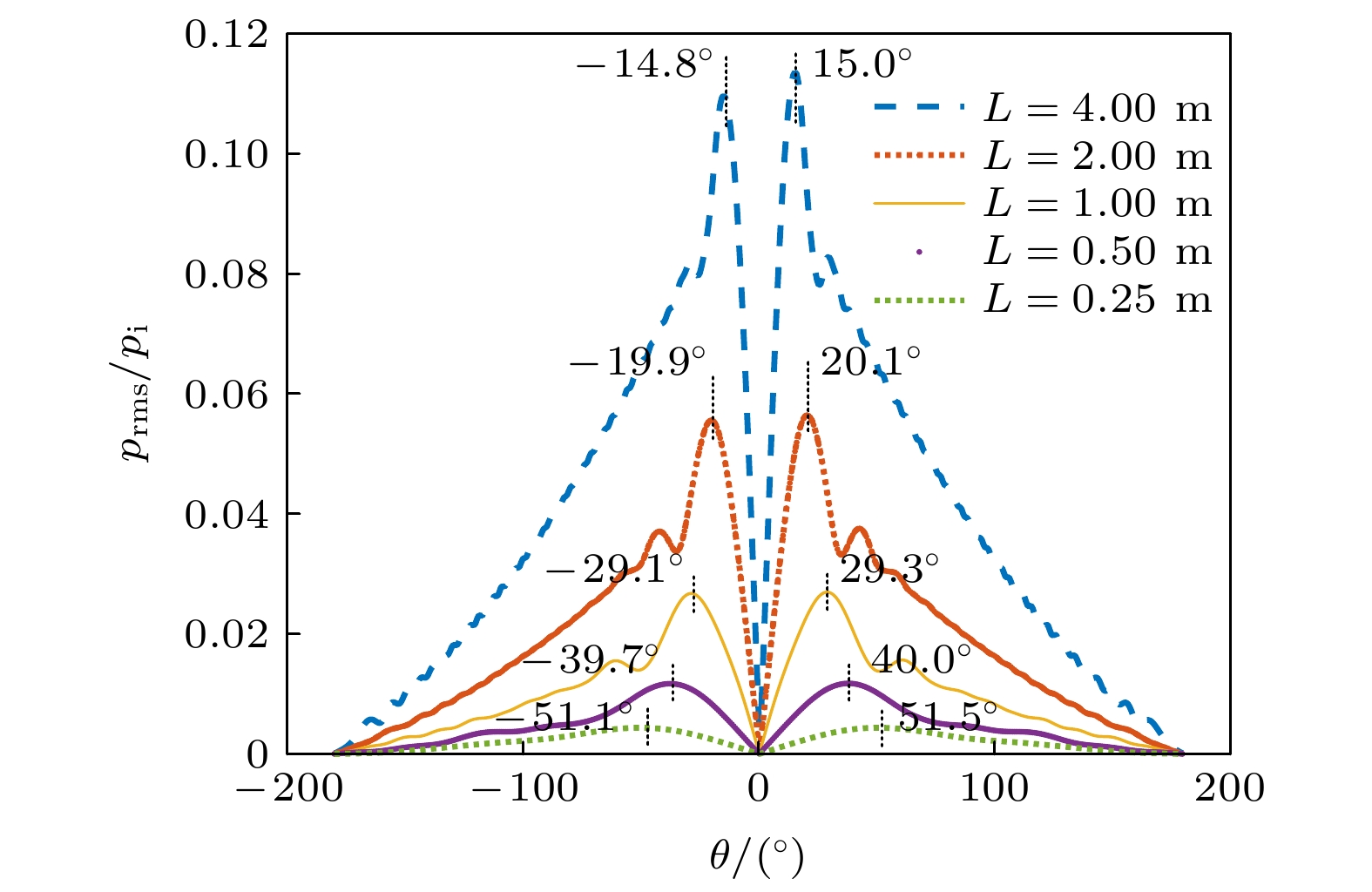
The scattering of sound waves by underwater vortex flow filed is the basic problem of sound waves propagating in complex flow fields, which has important significance in implementing underwater target detection and sound imaging of flow field. The theoretical analysis model and numerical calculation method are established for the problem of sound scattering modulation in underwater low frequency oscillating vortex flow fields, and the generation mechanism and time frequency and space characteristics of the scattering modulation sound field are explored. Firstly, based on the wave equation of the moving medium, in the first-order approximation the wave equation is decomposed into the flow-sound coupling term and the non flow-sound coupling term by introducing a potential function, and the flow-sound coupling term is analyzed in the frequency domain, revealing the underwater oscillating vortex flow field. Secondly, the discontinuous Galerkin numerical calculation method is used to solve the wave equation of the moving medium, and the sound propagation process in the underwater low frequency oscillating vortex flow field is numerically simulated. Under the condition of low Mach number, the effects of incident sound frequency, the oscillation frequency of the vortex flow field, and the scale of the vortex core on the time-frequency and space characteristics of the scattering modulating sound fields of vortex flow field are analyzed, and theoretical analysis model is used to explain the characteristics. The research results show that under the condition of low Mach number, the scattering of sound wave by oscillating vortex flow field can produce a scattering modulated sound field containing the harmonic of oscillating frequency side frequency modulation. The amplitude of the scattered sound pressure changes periodically with time, and the forward scattering is much stronger than the backward scattering. The fundamental frequency scattering modulation is much stronger than the frequency doubling scattering modulation. With the increase of the frequency of the incident sound wave and the scale of the vortex core, the intensity of the scattering modulating sound field increases, and the spatial distribution of the total scattering sound field has symmetry and an obvious main lobe, the main lobe is gradually sharpened, the azimuth angle of the main lobe is close to the propagation direction of the incident wave. When the frequency ratio is much greater than 1, the vortex flow field oscillation frequency has little effect on the spatial distribution of the sound field intensity of scattering modulating sound field.