Two-dimensional (2D) niobium silicon telluride (Nb
2SiTe
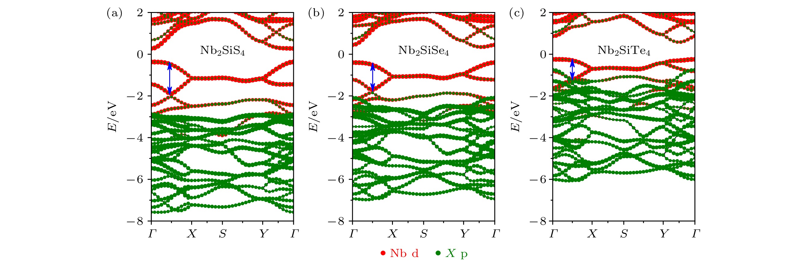
4) with good stability, a narrow band gap of 0.39 eV, high carrier mobility and superior photoresponsivity, is highly desired for applications in mid-infrared (MIR) detections, ambipolar transistors. Intensive investigations on its ferroelasticity, anisotropic carrier transport, anisotropic thermoelectric property, etc., have been reported recently. Motivated by the above prominent properties and promising applications, we systematically study the electronic properties of single-layer (SL)
A
2
BX
4analogues (
A= V, Nb, Ta;
B= Si, Ge, Sn;
X= S, Se, Te) and find a band-gap anomaly with respect to anion change, which differs from conventional 2D metal chalcogenide. In conventional binary chalcogenide, when cations are kept fixed, the bandgap tends to decrease as the atomic number of anions in the same group increases. However, in SL
A
2
BX
4, as atomic number of anions increases, its bandgaps tend to increase, with cations kept fixed. In order to find the underlying mechanism of such an abnormal bandgap, using first-principles calculations, we thoroughly investigate the electronic structures of Nb
2Si
X
4(
X= S, Se, Te) surving as an example. It is found that the valance band maximum (VBM) and conduction band minimum (CBM) are mainly derived from the bonding and antibonding coupling between Nb 4d states. The bandwidth of Nb 4d states determines the relative value of the band gap in Nb
2Si
X
4. We demonstrate that the band gap is largely influenced by the competition effect between Nb—Nb and Nb—
Xinteractions in Nb
2Si
X
4. As the anion atomic number increases, the Nb—Nb bond length increases, yielding an increased bandwidth of Nb 4d state and a smaller bandgap of Nb
2Si
X
4. Meanwhile, as Nb—
Xbond length increases, the bandwidth of Nb 4d however decreases, yielding a larger bandgap. The interaction between Nb and
Xshould be dominant and responsible for the overall bandgap increase of Nb
2Si
X
4compared with the Nb—Nb interaction.