| [1] |
万城亮, 潘俞舟, 朱丽萍, 李鹏飞, 张浩文, 赵卓彦, 袁华, 樊栩宏, 孙文胜, 杜战辉, 陈乾, 崔莹, 廖天发, 魏晓慧, 王天琦, 陈熙萌, 李公平, ReinholdSchuch, 张红强.基于玻璃毛细管的大气环境MeV质子微束的产生与测量. 必威体育下载 , 2024, 73(10): 104101.doi:10.7498/aps.73.20240301 |
| [2] |
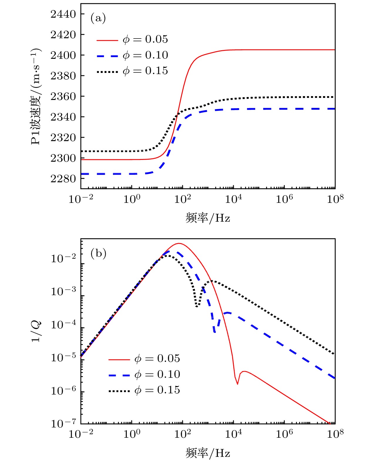
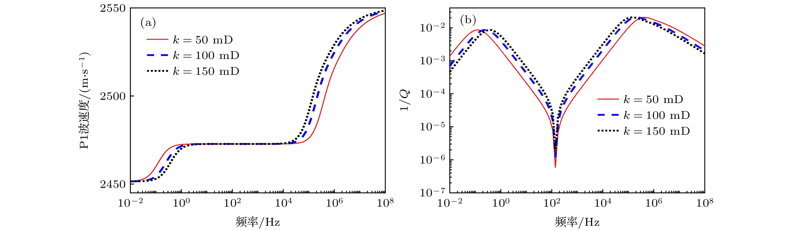
石志奇, 何晓, 刘琳, 陈德华.基于有限差分的部分饱和双重孔隙介质弹性波模拟与分析. 必威体育下载 , 2024, 73(10): 100201.doi:10.7498/aps.73.20240227 |
| [3] |
祝昕哲, 李博原, 刘峰, 李建龙, 毕择武, 鲁林, 远晓辉, 闫文超, 陈民, 陈黎明, 盛政明, 张杰.面向激光等离子体尾波加速的毛细管放电实验研究. 必威体育下载 , 2022, 71(9): 095202.doi:10.7498/aps.71.20212435 |
| [4] |
李红星, 张嘉辉, 樊嘉伟, 陶春辉, 肖昆, 黄光南, 盛书中, 宫猛.多尺度波致流非饱和孔隙介质波传播理论研究. 必威体育下载 , 2022, 71(8): 089101.doi:10.7498/aps.71.20211463 |
| [5] |
苏娜娜, 韩庆邦, 蒋謇.无限流体中孔隙介质圆柱周向导波的传播特性. 必威体育下载 , 2019, 68(8): 084301.doi:10.7498/aps.68.20182300 |
| [6] |
王婷, 崔志文, 刘金霞, 王克协.含少量气泡流体饱和孔隙介质中的弹性波. 必威体育下载 , 2018, 67(11): 114301.doi:10.7498/aps.67.20180209 |
| [7] |
周宏伟, 王林伟, 徐升华, 孙祉伟.微重力条件下与容器连通的毛细管中的毛细流动研究. 必威体育下载 , 2015, 64(12): 124703.doi:10.7498/aps.64.124703 |
| [8] |
宋永佳, 胡恒山.含定向非均匀体固体材料的横观各向同性有效弹性模量. 必威体育下载 , 2014, 63(1): 016202.doi:10.7498/aps.63.016202 |
| [9] |
员美娟, 郑伟, 李云宝, 李钰.单毛细管中赫切尔-巴尔克莱流体的分形分析. 必威体育下载 , 2012, 61(16): 164701.doi:10.7498/aps.61.164701 |
| [10] |
董克攻, 吴玉迟, 郑无敌, 朱斌, 曹磊峰, 何颖玲, 马占南, 刘红杰, 洪伟, 周维民, 赵宗清, 焦春晔, 温贤伦, 魏来, 臧华平, 余金清, 谷渝秋, 张保汉, 王晓方.充气型放电毛细管的密度测量及磁流体模拟. 必威体育下载 , 2011, 60(9): 095202.doi:10.7498/aps.60.095202 |
| [11] |
崔志文, 刘金霞, 王春霞, 王克协.基于Biot-喷射流统一模型Maxwell流体饱和孔隙介质中的弹性波. 必威体育下载 , 2010, 59(12): 8655-8661.doi:10.7498/aps.59.8655 |
| [12] |
郭铁英, 娄淑琴, 李宏雷, 简水生.用于制作光子晶体光纤的毛细管的拉制理论与实验分析. 必威体育下载 , 2009, 58(7): 4724-4730.doi:10.7498/aps.58.4724 |
| [13] |
曹士英, 王 颖, 张志刚, 柴 路, 王清月, 杨建军, 朱晓农.空心毛细管束缚高压气体成丝的光谱演变. 必威体育下载 , 2006, 55(9): 4734-4738.doi:10.7498/aps.55.4734 |
| [14] |
韦中超, 戴峭峰, 汪河洲.毛细管中柱对称类面心结构胶体晶体的光谱特性. 必威体育下载 , 2006, 55(2): 733-736.doi:10.7498/aps.55.733 |
| [15] |
孙 姣, 张家良, 王德真, 马腾才.一种新型大气压毛细管介质阻挡放电冷等离子体射流技术. 必威体育下载 , 2006, 55(1): 344-350.doi:10.7498/aps.55.344 |
| [16] |
关 威, 胡恒山, 储昭坦.声诱导电磁场的赫兹矢量表示与多极声电测井模拟. 必威体育下载 , 2006, 55(1): 267-274.doi:10.7498/aps.55.267 |
| [17] |
赵永蓬, 程元丽, 王 骐, 林 靖, 崛田荣喜.毛细管放电激励软x射线激光的产生时间. 必威体育下载 , 2005, 54(6): 2731-2734.doi:10.7498/aps.54.2731 |
| [18] |
程元丽, 栾伯含, 吴寅初, 赵永蓬, 王 骐, 郑无敌, 彭惠民, 杨大为.预脉冲在毛细管快放电软x射线激光中的作用. 必威体育下载 , 2005, 54(10): 4979-4984.doi:10.7498/aps.54.4979 |
| [19] |
胡恒山.孔隙地层井壁上的声波首波及其诱导电磁场的原因. 必威体育下载 , 2003, 52(8): 1954-1959.doi:10.7498/aps.52.1954 |
| [20] |
杜启振, 杨慧珠.线性黏弹性各向异性介质速度频散和衰减特征研究. 必威体育下载 , 2002, 51(9): 2101-2108.doi:10.7498/aps.51.2101 |