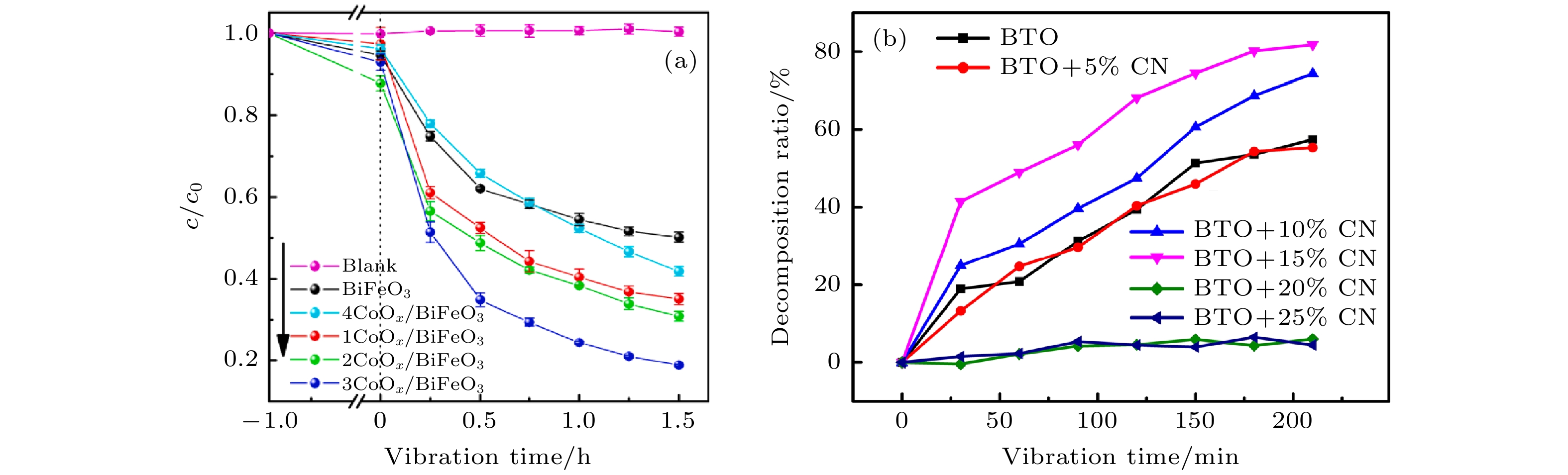
Piezoelectric materials can harvest tiny mechanical energy existing in the environment, and have strong ability to convert mechanical signals into electrical signals. Piezo-electro-chemical coupling can be realized via combining piezoelectric effect of piezoelectric materials with electrochemical redox effect. In recent years, piezo-electro-chemical coupling has attracted a lot of attention from researchers in harvesting vibration energy to treat dye wastewater. The piezoelectric catalyst material dispersed in solution is deformed by ultrasonic vibrations. Owing to the piezoelectric effect and spontaneous polarization effects, positive and negative charges are generated at both ends of the catalyst, which can further react with dissolved oxygen and hydroxide ions in the solution to generate superoxide and hydroxyl radicals (·
${}{\rm{O}}_2^- $
and ·OH) for decomposing organic dyes. However, ordinary piezoelectric catalytic materials are often difficult to meet people's pursuit of efficient treatment of organic dyes. Researchers have conducted a lot of researches on piezo-electro-chemical coupling, mainly focusing on the following two aspects: 1) the modification of piezoelectric catalysts to achieve extended carrier lifetime, accelerate carrier separation and high piezoelectric coefficients, and 2) the combination of piezo-electro-chemical coupling with photocatalysis to suppress photogenerated carrier compounding to obtain high synergistic catalytic performance. In this work, the following five strategies to enhance the piezo-electro-chemical coupling via modifying piezoelectric catalyst materials are introduced. The heterojunction structure is constructed to promote the separation of electron-hole pairs. The precious metal is coated on the surface of the catalyst to accelerate the transport and transfer of electrons. The catalyst composition is regulated and controlled to obtain an increased piezoelectric coefficient at the phase boundary. Carbon or graphene are mixed in the catalyst to accelerate the electron transfer on the surface of piezoelectric material. The number of active sites increases through introducing defects into the catalyst to increase the concentration of carriers. The physical mechanisms of five different strategies are described from the perspectives of electron transport and transfer, phase transition, and oxygen vacancies. In addition, the prospects for piezo-electro-chemical coupling in energy and biomedical applications such as hydrogen production, carbon dioxide reduction, tumor therapy and tooth whitening are presented.