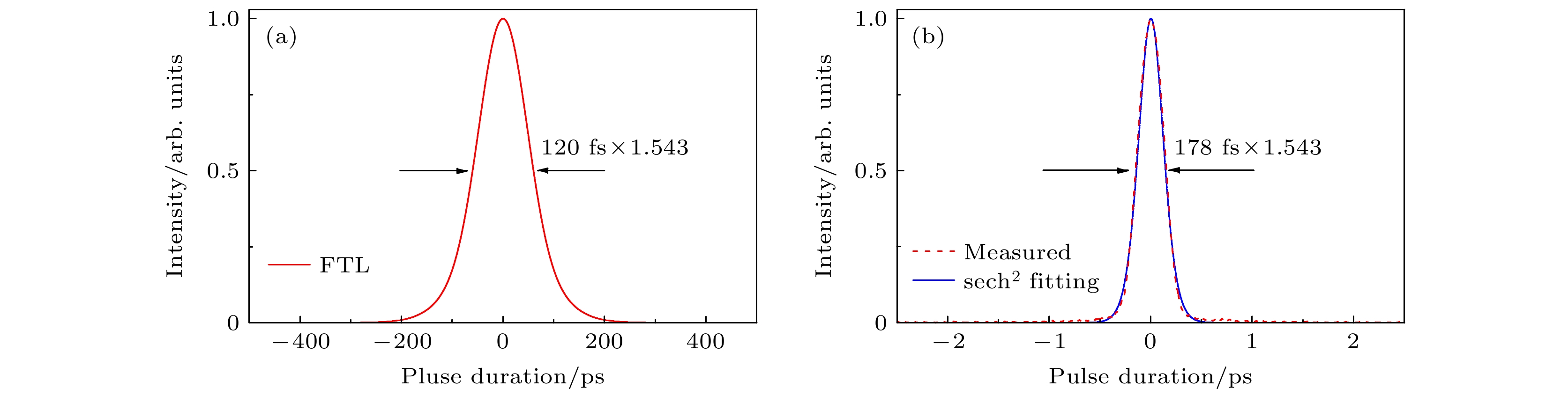
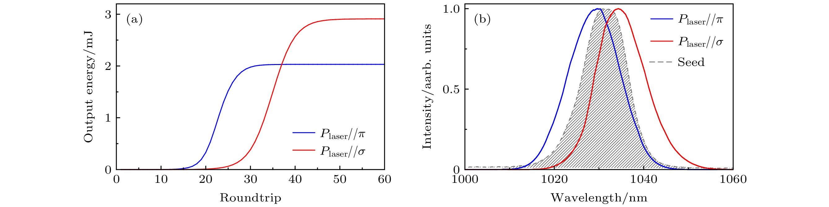
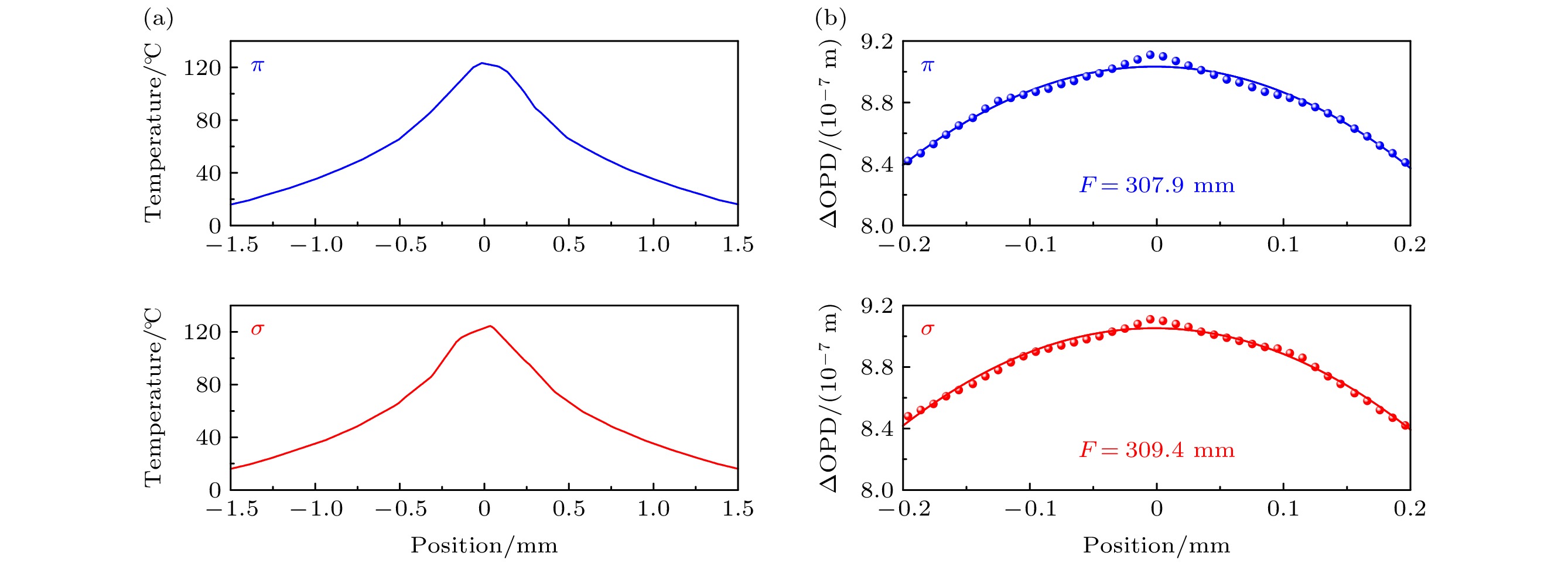
| [1] |
赵卫, 付士杰, 盛泉, 薛凯, 史伟, 姚建铨.辅助光对高功率掺镱光纤激光放大器SRS效应的抑制作用研究. 必威体育下载 , 2024, 0(0): .doi:10.7498/aps.73.20240895 |
| [2] |
陶琛玉, 雷建廷, 余璇, 骆炎, 马新文, 张少锋.阿秒脉冲的发展及其在原子分子超快动力学中的应用. 必威体育下载 , 2023, 72(5): 053202.doi:10.7498/aps.72.20222436 |
| [3] |
盛泉, 王盟, 史朝督, 田浩, 张钧翔, 刘俊杰, 史伟, 姚建铨.基于锯齿波脉冲抑制自相位调制的高功率窄线宽单频脉冲光纤激光放大器. 必威体育下载 , 2021, 70(21): 214202.doi:10.7498/aps.70.20210496 |
| [4] |
杨帅帅, 滕浩, 何鹏, 黄杭东, 王兆华, 董全力, 魏志义.基于大基模体积的10 mJ飞秒钛宝石激光再生放大器. 必威体育下载 , 2017, 66(10): 104209.doi:10.7498/aps.66.104209 |
| [5] |
张伟, 滕浩, 沈忠伟, 何鹏, 王兆华, 魏志义.18 mJ,100 Hz飞秒钛宝石激光放大器. 必威体育下载 , 2016, 65(22): 224204.doi:10.7498/aps.65.224204 |
| [6] |
何鹏, 滕浩, 张宁华, 刘阳阳, 王兆华, 魏志义.腔模可调的高平均功率飞秒激光再生放大器. 必威体育下载 , 2016, 65(24): 244201.doi:10.7498/aps.65.244201 |
| [7] |
沈忠伟, 王兆华, 范海涛, 秦爽, 滕浩, 何鹏, 魏志义.输出能量4mJ的1kHz飞秒掺钛蓝宝石激光再生放大研究. 必威体育下载 , 2014, 63(10): 104211.doi:10.7498/aps.63.104211 |
| [8] |
连富强, 樊仲维, 白振岙, 余锦, 林蔚然, 张晓雷, 刘迪, 赵天卓.基于1064 nm光纤皮秒种子源的Nd:YAG再生放大器. 必威体育下载 , 2014, 63(13): 134207.doi:10.7498/aps.63.134207 |
| [9] |
张伟, 滕浩, 王兆华, 沈忠伟, 刘成, 魏志义.采用环形再生腔结构的飞秒激光啁啾脉冲放大研究. 必威体育下载 , 2013, 62(10): 104211.doi:10.7498/aps.62.104211 |
| [10] |
姜曼, 肖虎, 周朴, 王小林, 刘泽金.高功率、低量子亏损同带抽运掺镱光纤放大器. 必威体育下载 , 2013, 62(4): 044210.doi:10.7498/aps.62.044210 |
| [11] |
张大鹏, 胡明列, 谢辰, 柴路, 王清月.基于非线性偏振旋转锁模的高功率光子晶体光纤飞秒激光振荡器. 必威体育下载 , 2012, 61(4): 044206.doi:10.7498/aps.61.044206 |
| [12] |
刘华刚, 黄见洪, 翁文, 李锦辉, 郑晖, 戴殊韬, 赵显, 王继扬, 林文雄.高功率全正色散锁模掺Yb3+双包层光纤飞秒激光器. 必威体育下载 , 2012, 61(15): 154210.doi:10.7498/aps.61.154210 |
| [13] |
刘华刚, 胡明列, 刘博文, 宋有建, 柴路, 王清月.高功率高重复频率多波长飞秒激光系统的研究. 必威体育下载 , 2010, 59(6): 3979-3985.doi:10.7498/aps.59.3979 |
| [14] |
邓青华, 彭翰生, 隋 展, 丁 磊, 李明中, 王建军, 唐 军, 罗亦鸣, 林宏奂, 张 锐, 邓 颖, 卢振华.高功率激光二极管阵列端面抽运放大器新型耦合方式研究. 必威体育下载 , 2008, 57(10): 6340-6347.doi:10.7498/aps.57.6340 |
| [15] |
赵振宇, 段开椋, 王建明, 赵 卫, 王屹山.高功率光子晶体光纤放大器实验研究. 必威体育下载 , 2008, 57(10): 6335-6339.doi:10.7498/aps.57.6335 |
| [16] |
刘博文, 胡明列, 宋有建, 柴 路, 王清月.亚百飞秒高功率掺镱大模面积光子晶体光纤飞秒激光放大器的实验研究. 必威体育下载 , 2008, 57(11): 6921-6925.doi:10.7498/aps.57.6921 |
| [17] |
曹 伟, 兰鹏飞, 陆培祥.利用43飞秒的强激光脉冲实现单个阿秒脉冲输出的新机理. 必威体育下载 , 2007, 56(3): 1608-1612.doi:10.7498/aps.56.1608 |
| [18] |
冯伟伟, 林礼煌, 王文耀, 李儒新, 汪丽春.用钛宝石再生放大器产生高重复率啁啾脉冲列. 必威体育下载 , 2007, 56(7): 3955-3960.doi:10.7498/aps.56.3955 |
| [19] |
刘仁红, 蔡希洁, 杨 琳, 张志祥, 毕纪军.激光脉冲放大器的增益通量曲线研究. 必威体育下载 , 2005, 54(7): 3140-3143.doi:10.7498/aps.54.3140 |
| [20] |
张志刚, 孙虹.飞秒脉冲放大器中色散的计算和评价方法. 必威体育下载 , 2001, 50(6): 1080-1086.doi:10.7498/aps.50.1080 |