-
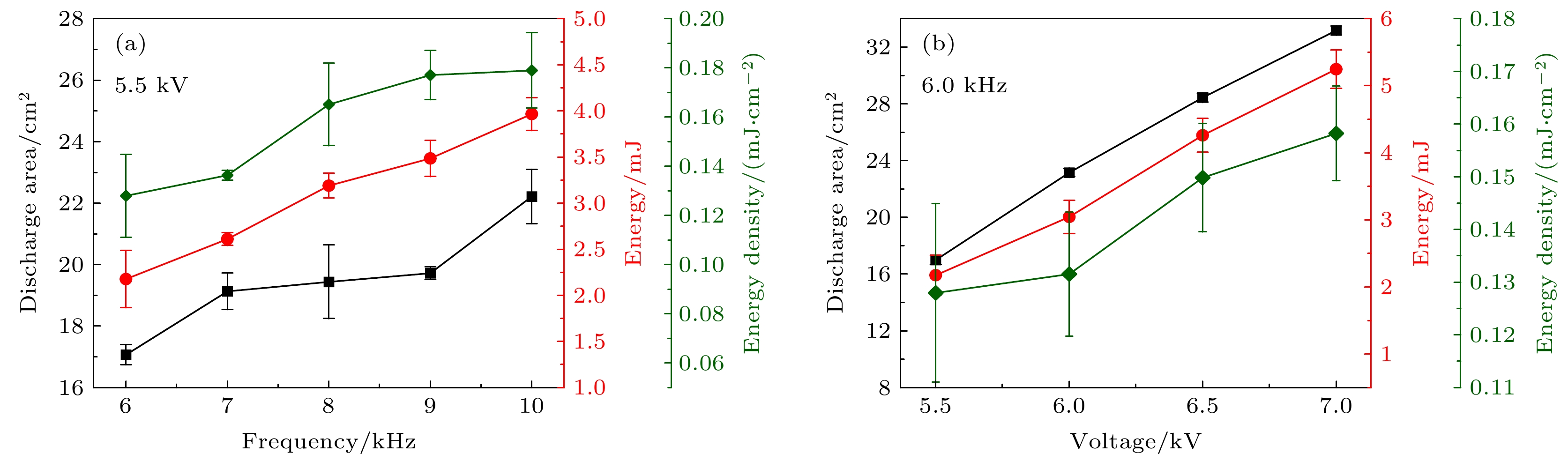
为了深入了解大气压空气等离子体气态产物的变化的物理-化学机理, 本文以沿面介质阻挡放电为研究对象, 采用傅里叶红外光谱和紫外吸收光谱法原位测量了不同电压和频率下特征产物(一氧化氮(NO)和臭氧(O 3))浓度的动态变化过程, 并基于李萨如图和放电图像计算了等离子体的真实能量密度, 通过拟合氮分子第二正带的发射光谱得到了气体温度. 结果表明, 在更高的电压和频率下, O 3的吸光度更低而NO的吸光度更高, 还会加速产物从包含O 3的状态转化为无O 3的状态, 此时真实能量密度和气体温度也更高. 通过分析真实能量密度和气体温度对特征产物的生成和猝灭化学反应的影响, 揭示了产物变化的微观机理. 分析表明, O 3消失主要是由于O和O与O 2的激发态粒子以及NO对O 3的猝灭导致, 其消失速度随着能量密度和气体温度的升高而加快. 反观NO, 气体温度的升高能显著提高其生成反应的速率, 并抑制其解离速率. 这有助于更快地生成大量NO, 加速其对O 3的猝灭进程, 这也是O 3消失越来越快的外因.To gain an insight into the interaction mechanism among the gaseous products of atmospheric pressure air plasma, a surface dielectric barrier discharge is used as a study object. The dynamic processes of characteristic products (nitric oxide NO and ozone O 3) are measured by in-situ Fourier infrared spectroscopy and UV absorption spectroscopy. The real energy density of the plasma is calculated by Lissajous figure and ICCD optical image. The gas temperature is obtained by fitting the emission spectrum of the second positive band of the nitrogen molecule. The results show that the real energy density and gas temperature are highly positively correlated with the applied voltage and frequency. Higher applied voltages and frequencies can lead to lower peak absorbance of O 3and higher absorbance of NO, and accelerate the conversion of the products from O 3-containing state into O 3-free state. The microscopic mechanism of the product change is revealed by analyzing the effects of the real energy density and gas temperature on the major generation and quenching chemical reactions of the characteristic products. The analysis points out that there are two major reasons for the disappearance of O 3, i.e. the quenching effect of O and O/O 2excited state particles on O 3and the quenching effect of NO on O 3. And the mechanism that the disappearance of O 3accelerates with the increase of energy density and gas temperature, is as follows. The increase of real energy density means that the energy injected into the discharge region is enhanced, which intensifies the collision reaction, thereby producing more energetic electrons and reactive oxygen and nitrogen particles. Since the discharge cavity is gas-tight, the rapid generation of O leads to a rapid increase in the ratio of O to O 2, which accelerates the decomposition of O 3; besides, the gas temperature is raised due to the intensification of the collision reaction. Whereas the gas temperature can change the rate coefficients of the chemical reactions involving the excited state particles of nitrogen and oxygen to regulate the production and quenching of the products. The increase of gas temperature has a negative effect on O 3. The higher the gas temperature, the lower the rate of O 3generation reaction is but the higher the rate of dissociation, which is thought to be the endogenous cause of the rapid disappearance of O 3. In contrast, the gas temperature rising can significantly elevate the reaction rate of NO production and reduces its dissociation rate. This contributes to the faster production of massive NO, resulting in an accelerated quenching process of NO to O 3, which can be considered as the exogenous cause of the rapid disappearance of O 3. In a word, the present study contributes to a better understanding of the physico-chemical process in atmospheric pressure low-temperature plasma.
-
Keywords:
- surface dielectric barrier discharge/
- real energy density/
- gas temperature/
- chemical products
[1] [2] [3] [4] [5] [6] [7] [8] [9] [10] [11] [12] [13] [14] [15] [16] [17] [18] [19] [20] [21] [22] [23] [24] [25] [26] [27] [28] [29] [30] [31] [32] [33] [34] [35] [36] -
化学产物 波数/cm–1 N2O 589, 1285, 2224, 2237 N2O5 743, 880, 1247, 1355, 1720 HNO3 762, 896, 1313, 1341, 1700 O3 1030, 1043, 1055, 2098, 2121 NO2 1600, 1621, 1627 NO 1876 化学反应 速率系数k 编号 文献 e + N2→ N(2D) + N + e 3.99 × 10–17ε2.24exp(–9.10/ε) R1 [27] e + N2→ N2(v) + e BOLSIG+ R2 [34] e + O2→ O + O + e 2.03 × 10–14ε–0.10exp(–8.47/ε) R3 [27] e + O2→O(1D) + O + e 1.82 × 10–14ε–0.13exp(–10.70/ε) R4 [27] e + O2→ O2(a) + e 1.04 × 10–15exp(–2.59/ε) R5 [27] O + O2+ N2→ O3+ N2 5.8 × 10–34× (300/Tg)2.8 R6 [35] O + O2+ O2→ O3+ O2 7.6 × 10–34× (300/Tg)1.9 R7 [35] O + O3→ O2+ O2 2 × 10–11exp(–2300/Tg) R8 [35] O + O3→ O2+ O2(a) 2.0 × 10–11exp(–2280/Tg) R9 [34] O2(a) + O3→ O2+ O2+ O(1D) 5.20 × 10–11exp(–2480/Tg) R10 [35] O2(a) + O3→ O + O2+ O2 5.20 × 10–11exp(–2480/Tg) R11 [35] O(1D) + O3→ O2+ O + O 1.20 × 10–10 R12 [36] NO + O3→ O2+ NO2 4.30 × 10–12exp(–1560/Tg) R13 [36] O + NO2→ NO + O2 9.10 × 10–12× (Tg/300)0.18 R14 [35] O + N2(v) → N + NO 3.01 × 10–10exp(–38370/Tg) R15 [34] N + O3→ NO + O2 5.00 × 10–12exp(–650/Tg) R16 [34] N + O2→ O + NO 1.0 × 10–11× exp(–3473/Tg) R17 [35] N + O2(a) → NO + O 2.00 × 10–14exp(–600/Tg) R18 [35] N(2D) + O2→ NO + O 1.50 × 10–12exp(Tg/300)0.5 R19 [36] N(2D) + N2O → N2+ NO 1.50 × 10–17exp(–570/Tg) R20 [27] N(2D) + O2→NO + O(1D) 6.00 × 10–12exp(Tg/300)0.5 R21 [36] O + NO + N2→ NO2+ N2 1.20 × 10–31× (300/Tg)1.7 R22 [35] O + NO + O2→ NO2+ O2 9.36 × 10–32× (300/Tg)1.7 R23 [35] 注: 二元反应和三元反应的速率系数单位分别为m3/s, m6/s. -
[1] [2] [3] [4] [5] [6] [7] [8] [9] [10] [11] [12] [13] [14] [15] [16] [17] [18] [19] [20] [21] [22] [23] [24] [25] [26] [27] [28] [29] [30] [31] [32] [33] [34] [35] [36]
计量
- 文章访问数:3476
- PDF下载量:107
- 被引次数:0












下载:




