-
在热电效应的研究中, Kelvin关系建立了Seebeck系数与Peltier系数之间的桥梁, 它将热电材料的制冷与发电性能纳入了统一的评价体系, 并且大大地简化了热电性能测量的过程. 然而非线性Peltier效应的理论研究以及部分实验研究表明, Seebeck系数与Peltier系数之间不一定满足Kelvin关系. Peltier系数的精确测量是验证Kelvin关系以及研究非线性Peltier效应的基础, 但目前其实验研究较少. 本文基于低温电输运测试平台搭建一种采用悬臂梁结构的Peltier系数测量装置. 通过测量通电后Bi 2Te 3块体样品表面沿热流方向相邻两点的温差, 得到通电前后的稳态温差以及通电过程中温差随时间的瞬态变化的曲线, 利用稳态法和瞬态法分别得到Peltier系数. 通过测量, 不仅仅可以得到材料的Peltier系数, 还能得到测量接触点的界面电阻等信息. 研究表明, 在各温度下, 稳态法和瞬态法测量的Peltier系数是可以相互印证的, 验证了本实验中测量装置和方法的可靠性. 碲化铋样品Peltier系数的测量值与Kelvin关系式计算的理论值随温度的变化趋势是一致的, 测量值比理论值约大 20%.In the study of the physical effects of thermoelectric conversion, the Kelvin relationship is a bridge between the Seebeck coefficient and the Peltier coefficient, which brings the cooling and power generation performance of thermoelectric material into a unified evaluation system and dramatically simplifies the measurement process. However, some theoretical studies have shown that the Kelvin relationship is not satisfied under nonlinear conditions. Meanwhile, the measurement results of some experiments do not conform with this relationship. There have been few studies on accurately measuring the Peltier coefficient that is the basis of validating the Kelvin relation and studying the nonlinear thermoelectric effect. Based on this, a kind of Peltier coefficient measuring device with a cantilever beam structure is proposed in this work. We measure the difference between steady-state temperature and transient-state temperature on the sample surface and obtain the Peltier coefficients by the steady-state method and the transient-state method, respectively. By this measurement, we can obtain not only the Peltier coefficient of the material at low temperatures but also the interface resistance of the material. The Peltier coefficients measured by the steady-state method and the transient-state method are consistent with each other at various temperatures. Both of the variation trends with temperature are consistent with the temperature-dependent theoretical values calculated from the Kelvin relation. Our measured values are about 20% larger than the theoretical values.
[1] [2] [3] [4] [5] [6] [7] [8] [9] [10] [11] [12] [13] [14] [15] [16] [17] [18] [19] [20] [21] [22] [23] [24] [25] [26] [27] [28] [29] [30] [31] [32] [33] [34] [35] [36] [37] [38] [39] -
测量方法 研究对象 测量温度T/K Peltier系数 测量值Π/mV 线性理论值αT/mV 相对误差P 直接法 外部热源补偿 Cu/Bi[28] 291 16.1 16 0.6% 测量热流 碲化铋热电模组[29] 300 124.0±0.7 126 –1.6% 镍铝/镍铬[23] 310 27.2±1.3 12.6 115.8% 锁相热成像(LIT) N型多晶硅[24] 298 –72±10 –43[25] 67.4% P型多晶硅[24] 298 346±10 360[30] –3.9% 含镍有机薄膜[26] 298 –21.6 –23.5 –8.1% 间接法 测量电阻 金属薄膜界面[31] 295 27.0 — — 测量电压 (Bi, Sb)2Te3[27] 300 31 55 –43.6% 测量温度
T/KJoule热
QJ/(10–4W)Fourier热
QF/(10–3W)QJ/QF
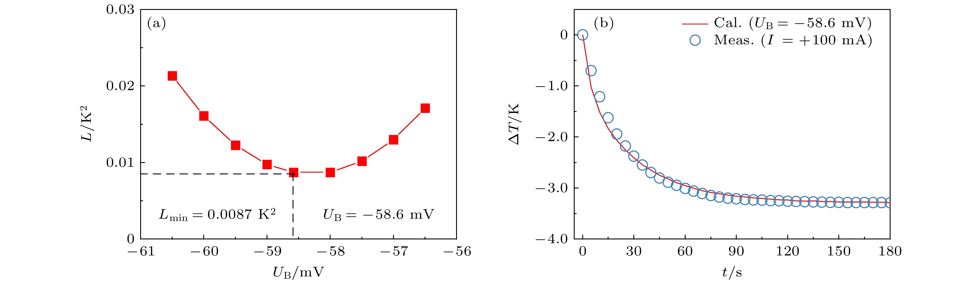
/%100 0.357 1.33 2.69 140 0.510 2.24 2.28 180 0.756 3.27 2.31 220 1.07 4.59 2.34 260 1.48 6.00 2.47 300 1.88 7.33 2.56 测试温度T/K 不同测试电流I时的稳态温差∆Tstd./K Peltier系数Πstd./mV 界面电阻RB/mΩ –100 mA +100 mA –50 mA +50 mA ±100 mA ±50 mA ±100 mA ±50 mA 100 0.47 –0.34 0.21 –0.19 –11.38 –11.23 16.49 13.78 140 0.92 –0.65 0.42 –0.36 –19.10 –19.02 28.71 27.24 180 1.56 –1.14 0.73 –0.62 –28.15 –28.10 38.83 39.78 220 2.39 –1.77 1.11 –0.96 –39.85 –39.66 49.89 51.37 260 3.35 –2.55 1.57 –1.38 –52.69 –52.63 58.79 56.42 300 4.17 –3.29 1.95 –1.77 –65.29 –65.22 61.03 46.41 测试温度T/K 不同测试电流I时的热源参数UB/mV Peltier系数Πtrans./mV 界面电阻RB/mΩ –100 mA +100 mA –50 mA +50 mA ±100 mA ±50 mA ±100 mA ±50 mA 100 –12.41 –9.29 –11.36 –10.06 –10.85 –10.71 15.60 13.00 140 –20.32 –15.09 –18.87 –16.39 –17.71 –17.63 26.15 24.80 180 –30.82 –23.45 –28.98 –25.19 –27.14 –27.09 36.85 37.90 220 –42.99 –33.52 –40.5 –35.63 –38.26 –38.07 47.35 48.70 260 –59.00 –47.11 –55.85 –50.1 –53.06 –52.98 59.45 57.50 300 –70.06 –58.61 –66.49 –62.18 –64.34 –64.34 57.25 43.10 组别 稳态法Peltier系数Πstd./mV 100 K 140 K 180 K 220 K 260 K 300 K meas.0 (50 mA) –11.38 –19.10 –28.15 –39.85 –52.69 –65.29 meas.0 (100 mA) –11.23 –19.02 –28.10 –39.66 –52.63 –65.22 meas.1 (50 mA) –11.06 –17.49 –27.89 –39.21 –55.62 –62.88 meas.1 (100 mA) –11.15 –18.18 –26.51 –37.07 –56.12 –65.64 meas.2 (50 mA) –11.09 –17.96 –26.98 –37.49 –53.61 –64.66 meas.2 (100 mA) –10.69 –17.44 –28.07 –38.63 –54.89 –65.96 meas.3 (50 mA) –10.88 –18.11 –27.60 –38.35 –54.90 –65.92 meas.3 (100 mA) –10.93 –17.83 –27.88 –38.96 –52.15 –66.28 meas.4 (50 mA) –10.93 –18.55 –27.27 –38.75 –54.13 –65.75 meas.4 (100 mA) –10.99 –18.07 –28.45 –38.31 –54.30 –63.10 meas.5 (50 mA) –11.00 –18.17 –26.65 –37.45 –54.26 –66.52 meas.5 (100 mA) –11.00 –18.28 –27.99 –39.46 –55.16 –62.71 平均值/mV –10.96 –18.00 –27.53 –38.42 –54.41 –65.01 标准差/mV 0.12 0.31 0.59 0.73 1.04 1.36 平均相对误差/% 1.23 2.20 2.00 1.95 1.80 1.69 -
[1] [2] [3] [4] [5] [6] [7] [8] [9] [10] [11] [12] [13] [14] [15] [16] [17] [18] [19] [20] [21] [22] [23] [24] [25] [26] [27] [28] [29] [30] [31] [32] [33] [34] [35] [36] [37] [38] [39]
计量
- 文章访问数:4028
- PDF下载量:65
- 被引次数:0












下载:







