Soft magnetic composite materials are prepared by mixing magnetic materials and insulating materials, which possess both the excellent magnetism of magnetic materials and the low resistivity of insulating materials. They possess broad application prospects in emerging power electronics industries such as photovoltaic inverters, new energy vehicles, and charging stations. The third-generation high-frequency wide bandgap semiconductors, mainly composed of SiC and GaN, have the operating frequency of soft magnetic materials raised to MHz. However, current soft magnetic materials have significant core losses at high frequencies. Therefore, people are focus their attention on developing new soft magnetic composite materials to reduce iron core losses at high frequencies. In this paper, γ
'-Fe
4N with high resistivity is prepared by nitriding carbonyl iron powders, showing its excellent soft magnetic properties, and the γ
'-Fe
4N is ball-milled to become easy plane γ
'-Fe
4N powder. Compared with the none easy plane γ
'-Fe
4N powders, the none easy plane γ
'-Fe
4N powders are spherical in shape, the easy plane γ
'-Fe
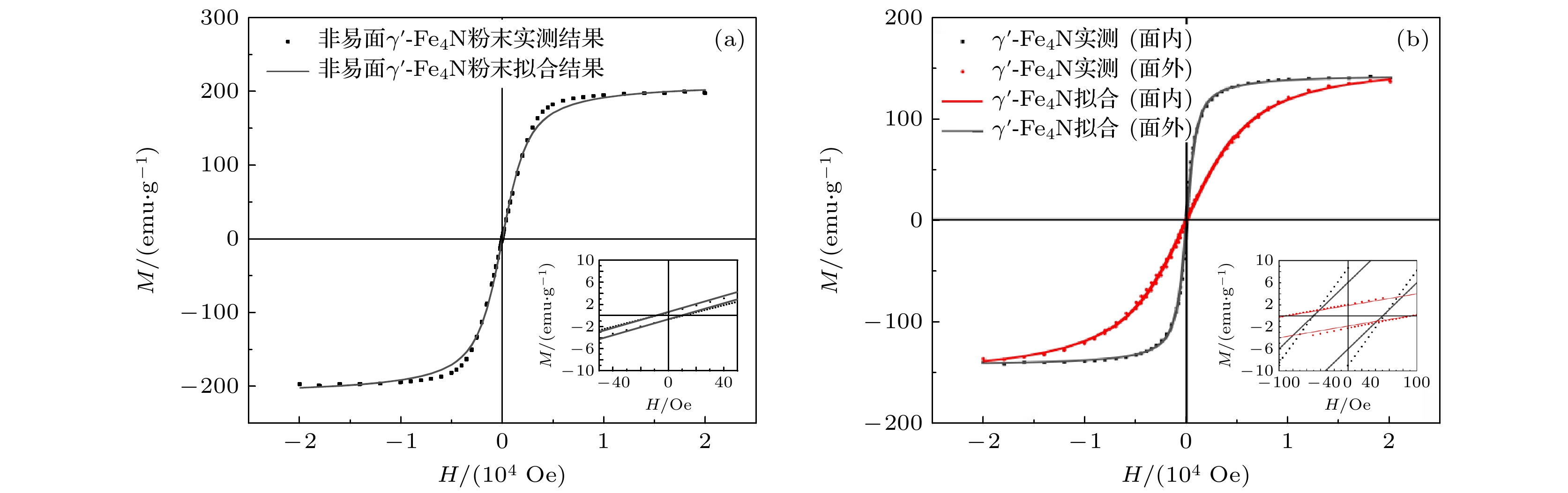
4N powders exhibit a high aspect to thickness ratio in sheet shape. The obtained easy plane powders are mixed with polyurethane insulation to make the soft magnetic composite. There is a significant difference between the in-plane and out-of-plane hysteresis loop of the magnetostatic easy plane γ
'-Fe
4N soft magnetic composite, and the in-plane hysteresis loop is more easily magnetized to saturation state. The degree of plane orientation is 98.46%. The fitting analysis results of the Jiles-Atherton model also prove its easy plane characteristic, and has higher effective permeability and lower power loss than the counterparts of the none easy plane γ
'-Fe
4N composite that is not ball-milled. After loss separation, it is found that in a low frequency range, hysteresis loss is the main loss, while in a high frequency range, the excess loss will surpass the hysteresis loss, acting as the main loss, the magnetostatic easy plane γ
'-Fe
4N soft magnetic composites material reduces hysteresis loss and excess loss. Comparing with similar soft magnetic composites, the eddy current effect in magnetic iron particles is reduced by nitriding process, and the magnetostatic easy plane γ
'-Fe
4N soft magnetic composite has excellent high-frequency soft magnetic properties. Magnetostatic easy plane γ
'-Fe
4N provides a new idea for the high-frequency application of soft magnetic composites matching the third generation wide bandgap semiconductors.