-
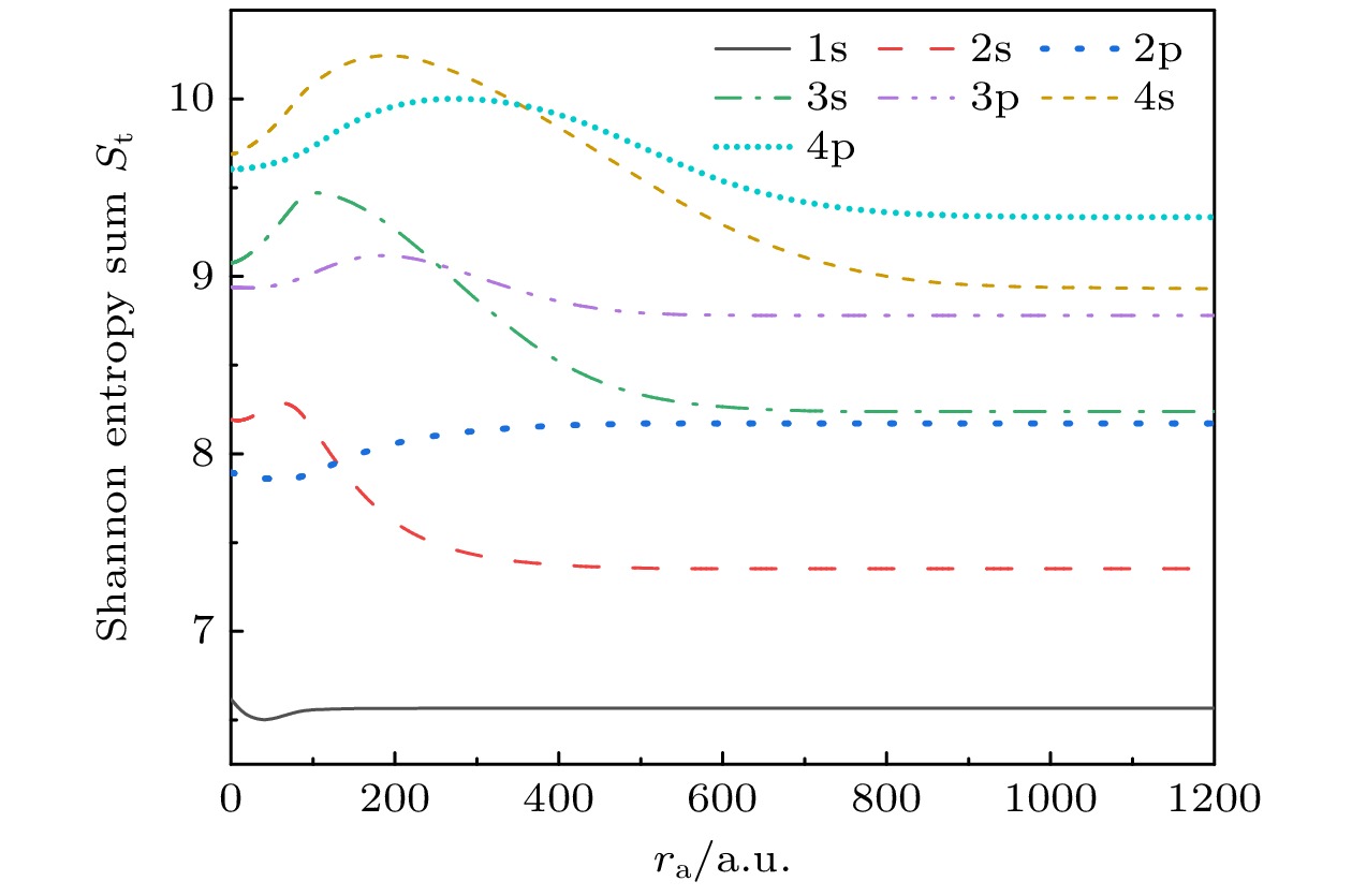
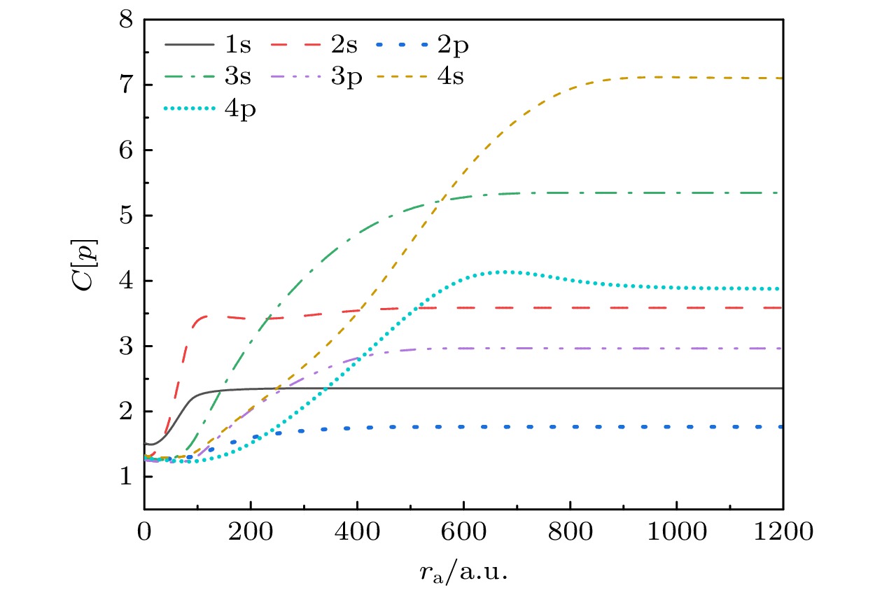
给出了一种研究囚禁在微腔中类氢原子的内部无序性的一种方法, 即利用体系的量子信息熵和形状复杂度对囚禁体系的无序性进行表征和研究. 计算和分析了囚禁在InN电介质球形微腔中类氢原子的位置和动量空间中香农信息熵和形状复杂度, 重点探究了量子囚禁效应对体系无序性的影响. 计算结果表明: 当微腔半径较小时, 量子囚禁现象显著, 形状复杂度曲线中有一系列极值点, 这是由信息熵和空间不均匀性的共同作用引起的. 随着微腔半径增大, 囚禁现象减弱, 囚禁类氢原子的香农信息熵和形状复杂度趋近于自由空间类氢原子的情形. 为囚禁量子体系内部无序性的研究提供了一种有效方法, 对囚禁量子体系的信息测量提供了一定的参考.
-
关键词:
- 量子信息熵/
- 形状复杂度/
- 量子囚禁/
- InN电介质球形微腔
The research on the disorder of quantum system plays a very important role in the field of quantum information, and has received much attention from theoretical and experimental researchers. However, it is very difficult to study the disorder of atoms trapped in microcavity due to their complex nonlocal space-time evolution characteristics. To solve this problem, we present a method to study the internal disorder of hydrogenic atoms trapped in microcavity, that is, to characterize and investigate the disorder of the confined system by using the quantum information entropy and shape complexity of the system. The Shannon information entropy and shape complexity in position space and momentum space ( S r, S p, C[ r], C[ p]) are calculated and analyzed for different quantum states of hydrogenic atom in InN dielectric spherical microcavity, and pay special attention to the exploration of the influence of quantum confinement effect on the disorder of the system. The results show that when the radius of the spherical microcavity is very small, the quantum confinement effect is more significant, and a series of extreme points appears in the shape complexity curve of the system, which is caused by the joint interaction of information entropy and spatial inhomogeneity. With the increase of the radius of the spherical cavity, the effect of quantum confinement is weakened, and the Shannon information entropy and shape complexity of the confined hydrogenic atom are similar to the counterparts of the hydrogenic atom in free space. Our work provides an effective method to study the internal disorder of a confined quantum. This work provides an effective method for studying the internal disorder of confined quantum systems and presents some references for the information measurement of confined quantum systems.-
Keywords:
- Shannon information entropy/
- shape complexity/
- quantum confinement/
- InN dielectric spherical microcavity
[1] [2] [3] [4] [5] [6] [7] [8] [9] [10] [11] [12] [13] [14] [15] [16] [17] [18] [19] [20] [21] [22] [23] [24] [25] [26] [27] [28] [29] [30] [31] [32] [33] -
ra/a.u. 0.5 10 30 50 100 200 300 500 1s 19.42009 0.03291 –0.00042 –0.00192 –0.00213 –0.00214 –0.00214 –0.00214 2s 78.54949 0.17680 0.01493 0.00365 –0.00011 –0.00053 –0.00053 –0.00053 2p 40.13943 0.08877 0.00709 0.00152 –0.00032 –0.00053 –0.00053 –0.00053 3s 177.19306 0.42100 0.04155 0.01305 0.00208 –0.00001 –0.00021 –0.00024 3p 119.05181 0.28297 0.02797 0.00880 0.00138 –0.00007 –0.00022 –0.00024 3d 66.22135 0.15538 0.01486 0.00447 0.00056 –0.00016 –0.00023 –0.00024 4s 315.33012 0.76461 0.07935 0.02653 0.00536 0.00074 0.00009 –0.00012 4p 237.44938 0.57693 0.06017 0.02023 0.00415 0.00057 0.00005 –0.00012 4d 165.17213 0.40025 0.04149 0.01385 0.00277 0.00034 –0.00001 –0.00013 4f 97.46420 0.23423 0.02381 0.00777 0.00143 0.00010 –0.00008 –0.00013 ra/a.u. 0.5 2 4 6 10 40 100 400 1000 1500 1s Sr –1.4078 2.7388 4.8012 5.9998 6.8441 7.4938 11.2125 12.3083 12.3283 12.3283 Sp 8.0224 3.8677 1.7946 0.5856 0.2690 –0.9287 –4.7199 –5.7473 –5.7617 –5.7617 C[r] 1.3238 1.3331 1.3463 1.3604 1.3754 1.3915 1.7729 2.4742 2.5107 2.5107 C[p] 1.5156 1.5110 1.5053 1.5002 1.4959 1.4924 1.6081 2.3007 2.3545 2.3545 2s Sr –1.6182 2.5393 4.6173 5.8324 6.6945 7.3633 11.5600 14.5011 16.2944 16.2945 Sp 9.8106 5.6517 3.5722 2.3561 1.4934 0.8246 –3.3163 –6.3549 –8.9410 –8.9411 C[r] 2.3122 2.3318 2.3584 2.3857 2.4135 2.4420 2.8872 2.6978 2.5882 2.5883 C[p] 1.2987 1.2991 1.3004 1.3027 1.3059 1.3104 1.6255 3.5705 3.5862 3.5862 3s Sr –1.6941 2.4651 4.5451 5.7622 6.6260 7.2964 11.4868 14.3744 18.4189 18.6100 Sp 10.7698 6.6122 4.5347 3.3205 2.4598 1.7931 –2.2946 –4.8614 10.0304 10.3718 C[r] 3.2965 3.3183 3.3476 3.3772 3.4071 3.4372 3.8912 4.3150 2.4249 2.5897 C[p] 1.2959 1.2934 1.2900 1.2866 1.2833 1.2802 1.2566 1.6164 4.9245 5.3478 4s Sr –1.7332 2.4264 4.5068 5.7242 6.5883 7.2589 11.4435 14.2816 18.7984 20.2300 Sp 11.4216 7.2638 5.1857 3.9710 3.1098 2.4425 –1.6559 –4.1749 –8.9360 11.2692 C[r] 4.2798 4.3022 4.3323 4.3624 4.3927 4.4230 4.8733 5.4856 3.3059 2.5188 C[p] 1.3205 1.3193 1.3173 1.3153 1.3134 1.3115 1.2917 1.3738 3.2785 7.1624 ra/a.u. 0.5 2 4 6 10 40 100 400 1000 1500 2p Sr –1.1279 3.0287 5.1050 6.3181 7.8439 11.9414 14.4765 15.8804 15.8804 15.8804 Sp 9.0214 4.8633 2.7851 1.5697 0.0398 –4.0817 –6.5889 –7.7092 –7.7092 –7.7092 C[r] 1.1568 1.1577 1.1589 1.1602 1.1628 1.1887 1.2918 1.7107 1.7107 1.7107 C[p] 1.3084 1.3068 1.3049 1.3024 1.2982 1.2749 1.3281 1.7639 1.7639 1.7639 3p Sr –1.3920 2.7660 4.8442 6.0595 7.5896 11.7333 14.4737 18.2711 18.4214 18.4214 Sp 10.3320 6.1733 4.0942 2.8783 1.3468 –2.7953 –5.4546 –9.4770 –9.6406 –9.6406 C[r] 1.6088 1.6113 1.6148 1.6183 1.6254 1.6833 1.8150 1.8267 1.9657 1.9657 C[p] 1.2564 1.2547 1.2526 1.2506 1.2465 1.2240 1.2749 2.9511 2.9671 2.9671 4p Sr –1.5141 2.6444 4.7234 5.9394 7.4711 11.6261 14.3794 18.7629 20.1488 20.1494 Sp 11.1181 6.9596 4.8808 3.6652 2.1344 –2.0027 –4.6540 –8.7725 10.8158 10.8150 C[r] 2.0644 2.0676 2.0719 2.0762 2.0850 2.1533 2.2977 2.2520 2.0817 2.0829 C[p] 1.2878 1.2862 1.2845 1.2827 1.2791 1.2542 1.2288 2.7123 3.8746 3.8744 -
[1] [2] [3] [4] [5] [6] [7] [8] [9] [10] [11] [12] [13] [14] [15] [16] [17] [18] [19] [20] [21] [22] [23] [24] [25] [26] [27] [28] [29] [30] [31] [32] [33]
计量
- 文章访问数:2578
- PDF下载量:78
- 被引次数:0












下载:







