Pulsed field ablation (PFA) is a new type of physical energy source in the fields of tumor and atrial fibrillation ablation, which is based on irreversible electroporation with non-thermal, clear ablation boundaries, selective killing, and rapid advantages. The PFA triggers off the changes in the electrical conductivity of ablation zone, which can be described by a step function and used to predict the ablation zone. However, current research does not compare the advantages and disadvantages of different conductivity models, nor does it consider the effects of model parameter change caused by individual differences and errors on the efficacy of PFA. This work is devoted to comparing two commonly used conductivity models (Heaviside model and Gompertz model), and quantifying the influence of model input uncertainty on model output and PFA ablation zone.
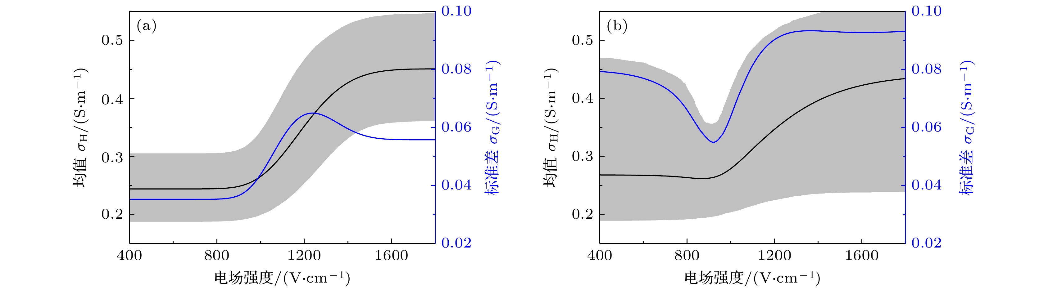
In this work, we carry out uncertainty quantification and sensitivity analysis to quantify the influence of model parameter uncertainty on model output, clarify the parameter sensitivity distribution, and provide model selection criteria from the perspectives of model complexity, parameter sensitivity distribution, and model robustness. Combined with finite element simulation, the study quantifies the effects of uncertainty in the most sensitive parameters of the conductivity model and ablation threshold on the PFA ablation zone. The results show that different conductivity models exhibit different robustness under the same proportion of variation in parameters. The Heaviside model, which is determined by a single factor, has strong robustness. The uncertainty output of the Gompertz model is jointly determined by multiple sensitivity parameters, making it susceptible to various conditions. The ablation threshold and pre-treatment tissue conductivity are the two most sensitive parameters affecting the assessment of ablation depth. Changes in the ablation threshold result in a Gaussian distribution of ablation depth. The greater the change in pre-treatment tissue conductivity, the greater the change in ablation depth is, which, however, follows a nonlinear proportional relationship. This approach can improve the accuracy and reliability of PFA ablation prediction, and provide a visual and global way to show the influence of input uncertainties on model output and parameter sensitivity ranking, thus effectively improving the accuracy of model prediction, reducing computational costs, and optimizing the selection of candidate models. This strategy can be applied to a variety of mathematical physics and simulation models to enhance model credibility and simplify the models.