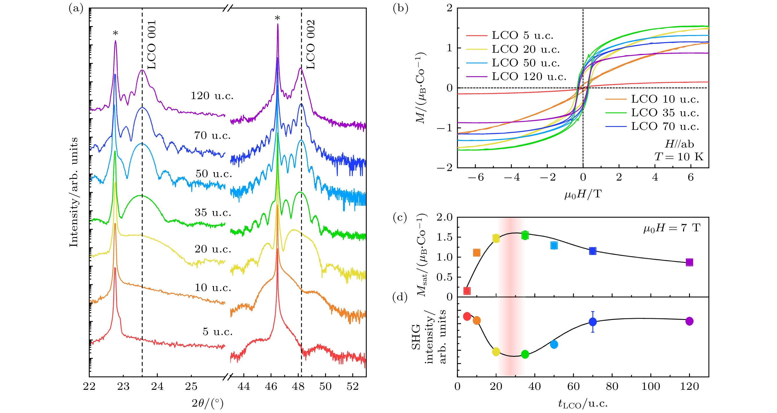
Strongly correlated electronic system contains strong coupling among multi-order parameters and is easy to efficiently tune by external field. Cobaltite (LaCoO
3) is a typical multiferroic (ferroelastic and ferromagnetic) material, which has been extensively investigated over decades. Conventional research on cobaltites has focused on the ferroelastic phase transition and structure modulation under stress. Recently, researchers have discovered that cobaltite thin films undergo a paramagnetic-to-ferromagnetic phase transition under tensile strain, however, its origin has been controversial over decades. Some experimental evidence shows that stress leads the valence state of cobalt ions to decrease, and thus producing spin state transition. Other researchers believe that the stress-induced nano-domain structure will present a long-range ordered arrangement of high spin states, which is the main reason for producing the ferromagnetism of cobalt oxide films. In this paper, we review a series of recent researches of the strong correlation between spin and lattice degrees of freedom in cobalt oxide thin films and heterojunctions. The reversible spin state transition in cobalt oxide film is induced by structural factors such as thin-film thickness, lattice mismatch stress, crystal symmetry, surface morphology, interfacial oxygen ion coordination, and oxygen octahedral tilting while the valence state of cobalt ions is kept unchanged, and thus forming highly adjustable macroscopic magnetism. Furthermore, the atomic-level precision controllable film growth technology is utilized to construct single cell layer cobaltite superlattices, thereby achieving ultra-thin two-dimensional magnetic oxide materials through efficient structure regulation. These advances not only clarified the strong coupling between lattice and spin order parameters in the strongly correlated electronic system, but also provided excellent candidate for the realization of ultra-thin room temperature ferromagnets that are required by oxide spintronic devices.