| [1] |
霍冠忠, 苏超, 王可, 叶晴莹, 庄彬, 陈水源, 黄志高.铁酸铋薄膜光电流的磁场调制研究. 必威体育下载 , 2023, 72(6): 067501.doi:10.7498/aps.72.20222053 |
| [2] |
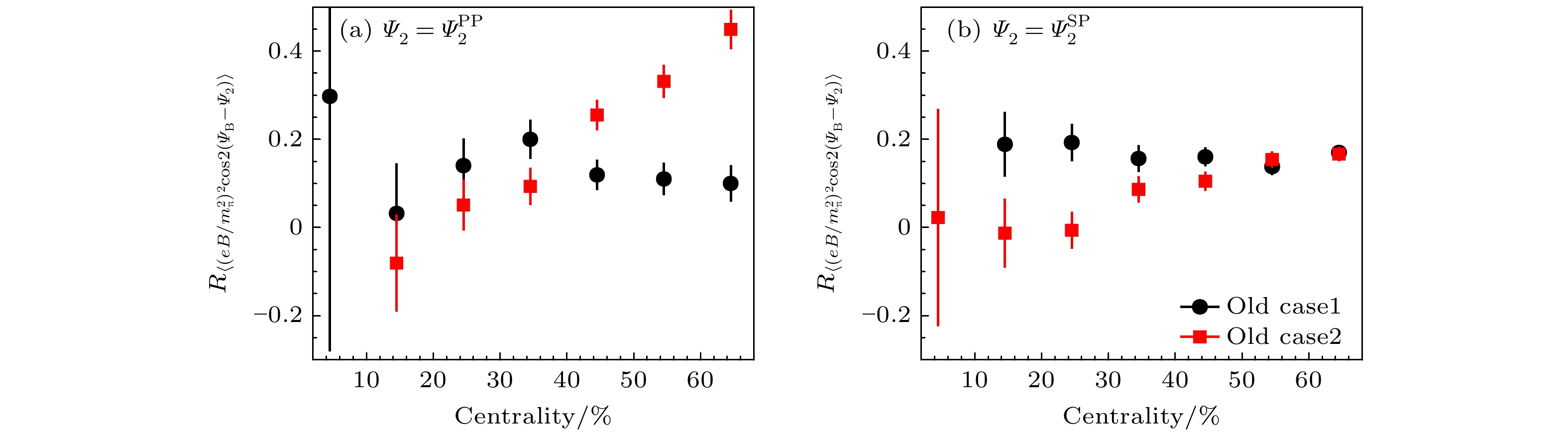
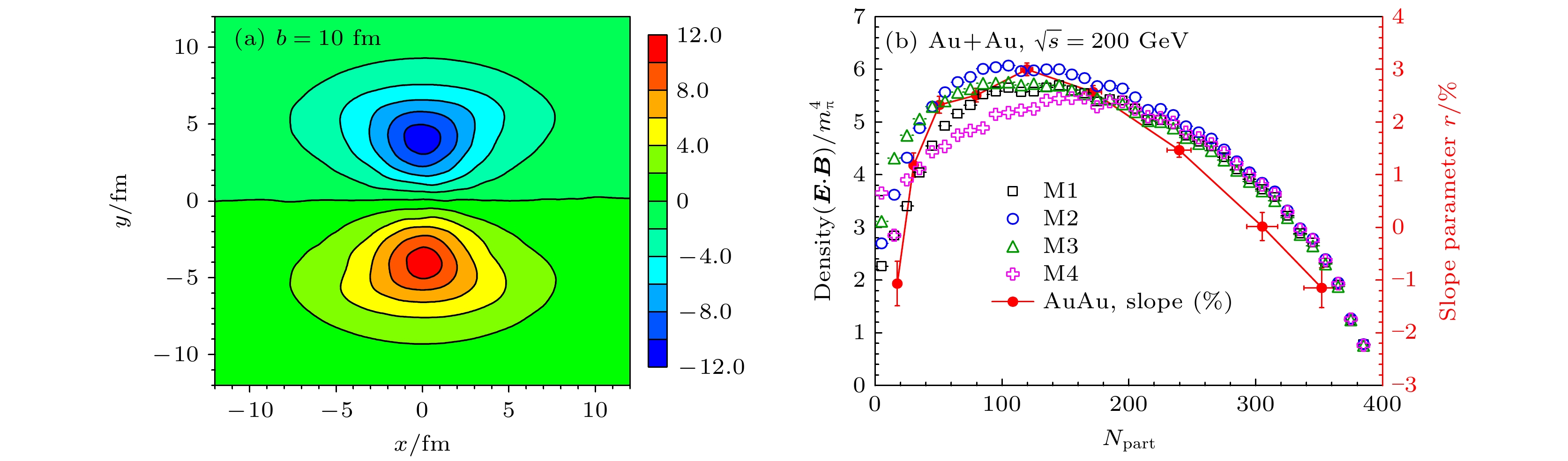
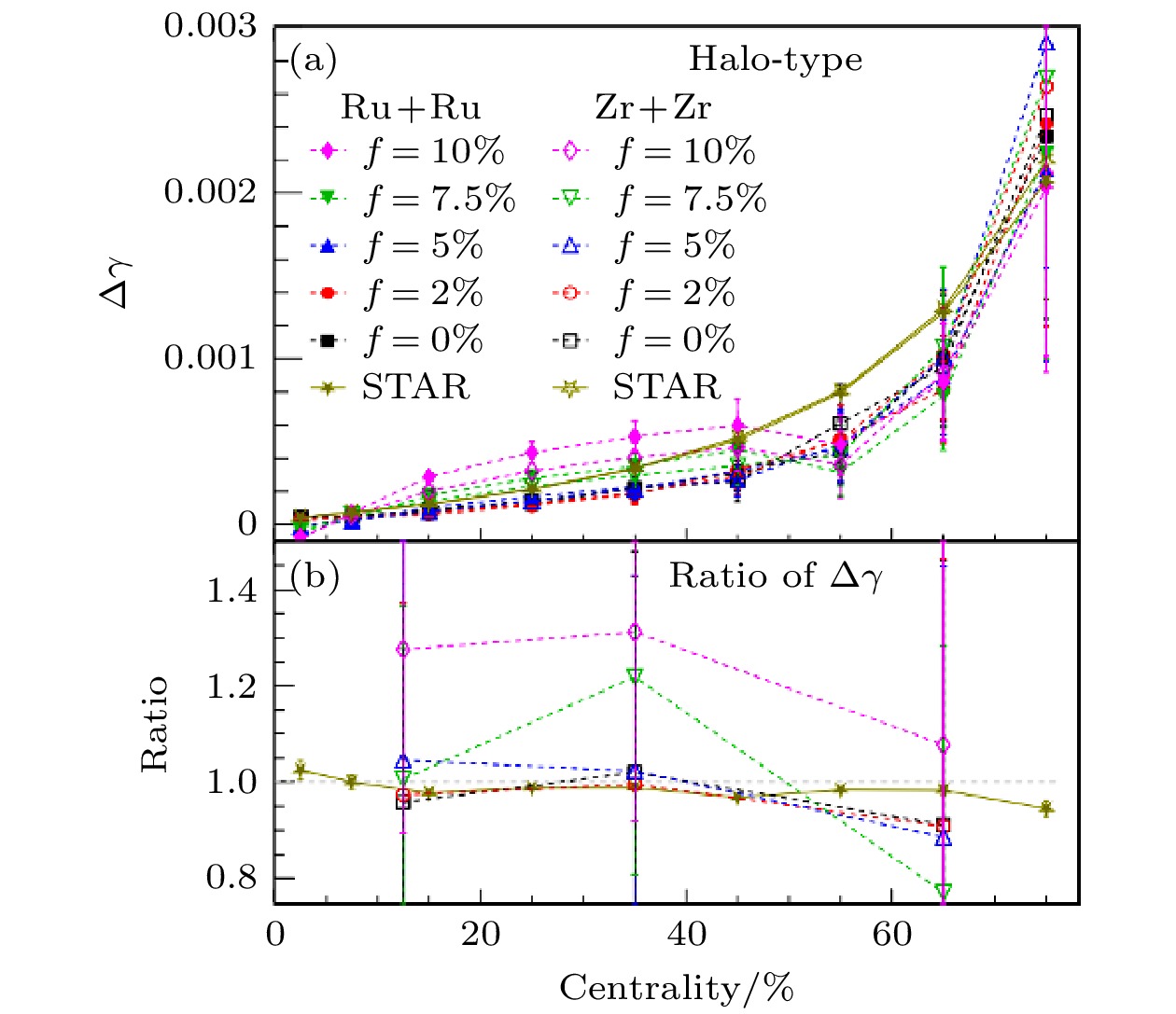
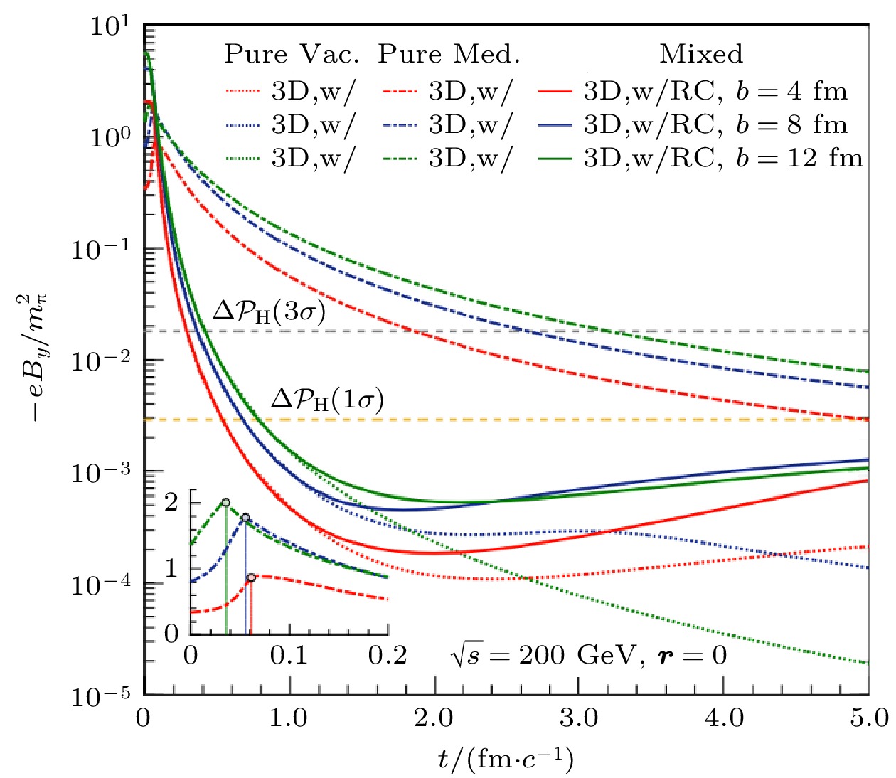
寿齐烨, 赵杰, 徐浩洁, 李威, 王钢, 唐爱洪, 王福强.相对论重离子碰撞中的手征效应实验研究. 必威体育下载 , 2023, 72(11): 112504.doi:10.7498/aps.72.20230109 |
| [3] |
崔翔.电流连续的细导体段模型的磁场及电感. 必威体育下载 , 2020, 69(3): 034101.doi:10.7498/aps.69.20191212 |
| [4] |
孟令辉, 任洪波, 刘建晓.高温等离子体中太赫兹波的传输特性. 必威体育下载 , 2018, 67(17): 174101.doi:10.7498/aps.67.20180647 |
| [5] |
于振涛, 吕俊伟, 毕波, 周静.四面体磁梯度张量系统的载体磁干扰补偿方法. 必威体育下载 , 2014, 63(11): 110702.doi:10.7498/aps.63.110702 |
| [6] |
成玉国, 程谋森, 王墨戈, 李小康.磁场对螺旋波等离子体波和能量吸收影响的数值研究. 必威体育下载 , 2014, 63(3): 035203.doi:10.7498/aps.63.035203 |
| [7] |
张红, 张春元, 张慧亮, 刘建军.外加磁场下抛物型量子线中的带电激子. 必威体育下载 , 2011, 60(7): 077301.doi:10.7498/aps.60.077301 |
| [8] |
姜文龙, 孟昭晖, 丛林, 汪津, 王立忠, 韩强, 孟凡超, 高永慧.双量子阱结构OLED效率和电流的磁效应. 必威体育下载 , 2010, 59(9): 6642-6646.doi:10.7498/aps.59.6642 |
| [9] |
邹秀, 邹滨雁, 刘惠平.外加磁场对碰撞射频鞘层离子能量分布的影响. 必威体育下载 , 2009, 58(9): 6392-6396.doi:10.7498/aps.58.6392 |
| [10] |
陈杰, 鲁习文.基于磁荷面分布的舰船磁场预测方法. 必威体育下载 , 2009, 58(6): 3839-3843.doi:10.7498/aps.58.3839 |
| [11] |
汪津, 华杰, 丁桂英, 常喜, 张刚, 姜文龙.磁场作用下的有机电致发光. 必威体育下载 , 2009, 58(10): 7272-7277.doi:10.7498/aps.58.7272 |
| [12] |
张雯.磁场微重力效应的研究. 必威体育下载 , 2009, 58(4): 2405-2409.doi:10.7498/aps.58.2405 |
| [13] |
罗成林, 杨兵初, 戎茂华.磁场对滤纸上Zn电解沉积物形貌的影响. 必威体育下载 , 2006, 55(7): 3778-3784.doi:10.7498/aps.55.3778 |
| [14] |
张助华, 郭万林, 郭宇锋.轴向磁场对碳纳米管电子性质的影响. 必威体育下载 , 2006, 55(12): 6526-6531.doi:10.7498/aps.55.6526 |
| [15] |
韩 逸, 班春燕, 巴启先, 王书晗, 崔建忠.磁场对液态铝和固态铁界面微观组织的影响. 必威体育下载 , 2005, 54(6): 2955-2960.doi:10.7498/aps.54.2955 |
| [16] |
李玉现, 刘建军, 李伯臧.量子点接触中的电导与热功率:磁场与温度的影响. 必威体育下载 , 2005, 54(3): 1366-1369.doi:10.7498/aps.54.1366 |
| [17] |
黄维清, 陈克求, 帅志刚, 王玲玲, 胡望宇.磁耦合效应对半无限超晶格中表面电子态的影响. 必威体育下载 , 2004, 53(7): 2330-2335.doi:10.7498/aps.53.2330 |
| [18] |
欧阳世根, 关毅, 佘卫龙.旋转超导体中的电流与电磁场. 必威体育下载 , 2002, 51(7): 1596-1599.doi:10.7498/aps.51.1596 |
| [19] |
陈正林, 张杰.对超热电子诱生的磁场分布的估算. 必威体育下载 , 2001, 50(4): 735-740.doi:10.7498/aps.50.735 |
| [20] |
陈正林, 张 杰.对超热电子诱生的磁场分布的估算. 必威体育下载 , 2000, 49(11): 2180-2185.doi:10.7498/aps.49.2180 |