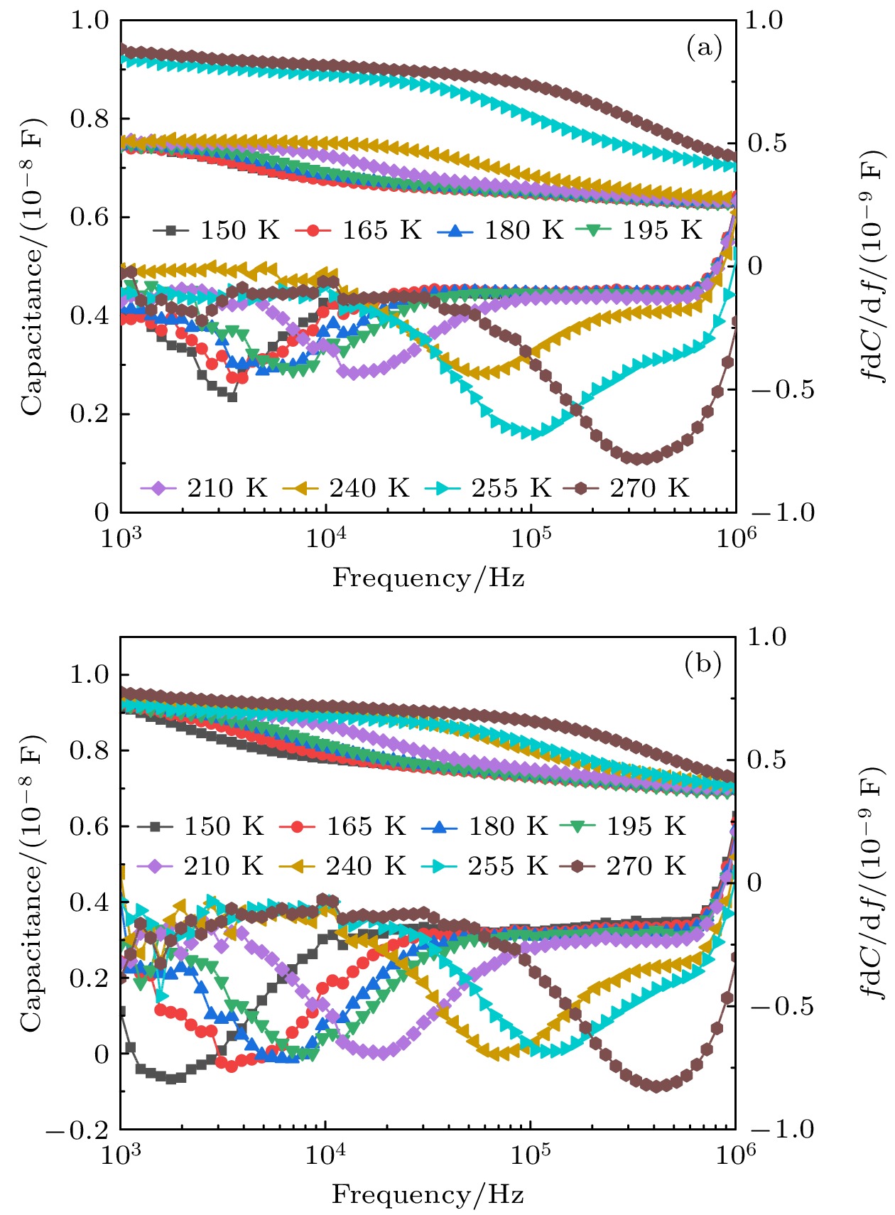
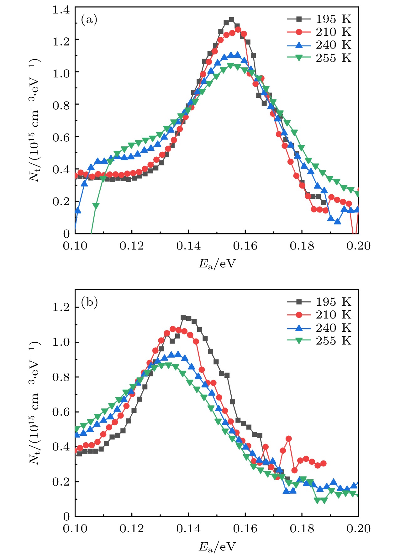
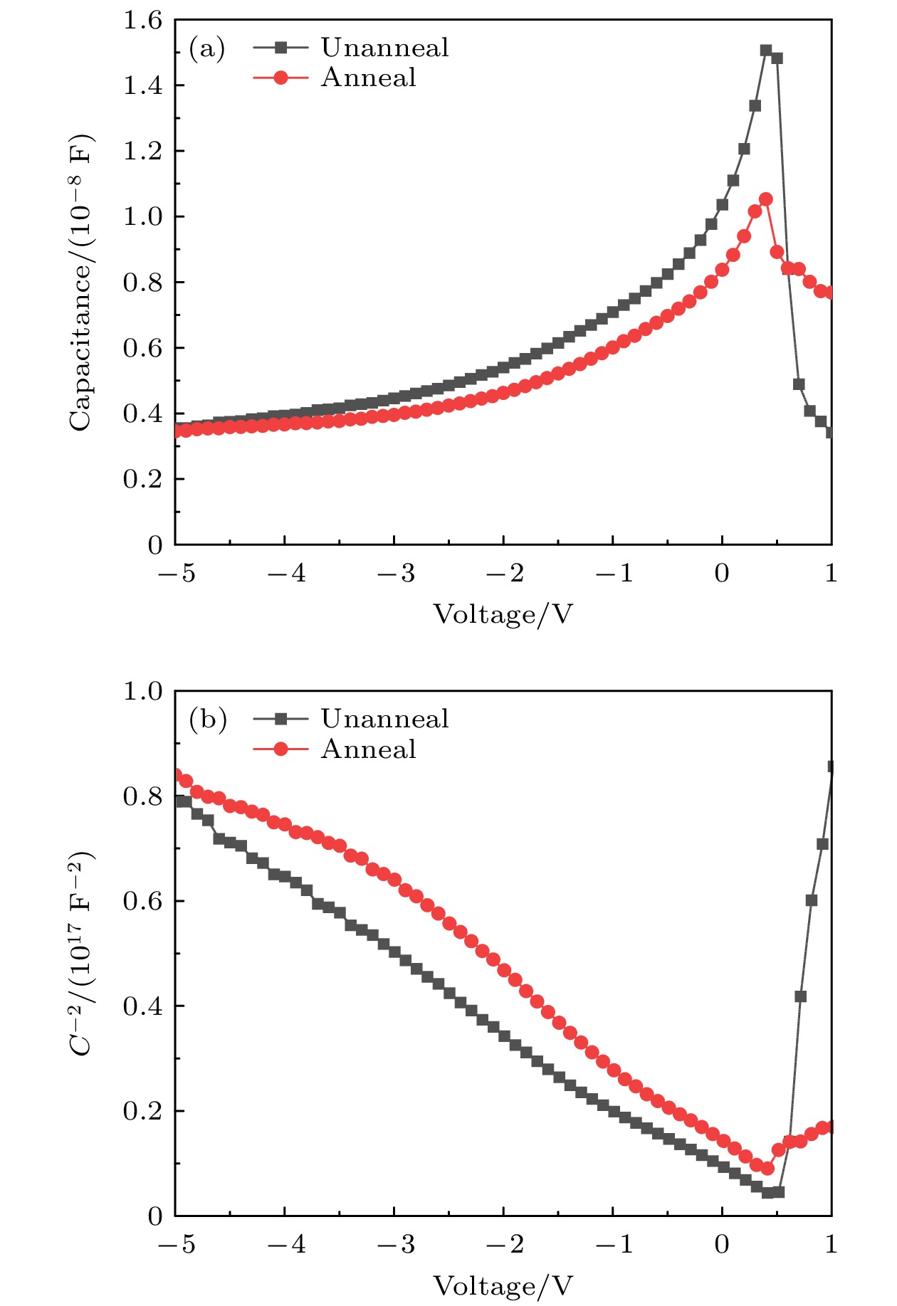
| [1] |
隽珽, 邢家赫, 曾凡聪, 郑鑫, 徐琳.基于SnO2:DPEPO混合电子传输层的钙钛矿太阳能电池性能. 必威体育下载 , 2024, 73(19): 198401.doi:10.7498/aps.73.20240827 |
| [2] |
黄昊, 牛奔, 陶婷婷, 罗世平, 王颖, 赵晓辉, 王凯, 李志强, 党伟.Sb2Se3薄膜表面和界面超快载流子动力学的瞬态反射光谱分析. 必威体育下载 , 2022, 71(6): 066402.doi:10.7498/aps.71.20211714 |
| [3] |
曹宇, 蒋家豪, 刘超颖, 凌同, 孟丹, 周静, 刘欢, 王俊尧.高效硫硒化锑薄膜太阳电池中的渐变能隙结构. 必威体育下载 , 2021, 70(12): 128802.doi:10.7498/aps.70.20202016 |
| [4] |
孙士阳, 迟中波, 徐平平, 安泽宇, 张俊皓, 谭心, 任元.金刚石(111)/Al界面形成及性能的第一性原理研究. 必威体育下载 , 2021, 70(18): 188101.doi:10.7498/aps.70.20210572 |
| [5] |
周庆中, 郭丰, 张明睿, 尤庆亮, 肖标, 刘继延, 刘翠, 刘学清, 王亮.载流子复合及能量无序对聚合物太阳电池开路电压的影响. 必威体育下载 , 2020, 69(4): 046101.doi:10.7498/aps.69.20191699 |
| [6] |
魏应强, 徐磊, 彭其明, 王建浦.钙钛矿的Rashba效应及其对载流子复合的影响. 必威体育下载 , 2019, 68(15): 158506.doi:10.7498/aps.68.20190675 |
| [7] |
肖友鹏, 高超, 王涛, 周浪.载流子选择性接触:高效硅太阳电池的选择. 必威体育下载 , 2017, 66(15): 158801.doi:10.7498/aps.66.158801 |
| [8] |
齐佳红, 胡建民, 盛延辉, 吴宜勇, 徐建文, 王月媛, 杨晓明, 张子锐, 周扬.电子辐照下GaAs/Ge太阳电池载流子输运机理研究. 必威体育下载 , 2015, 64(10): 108802.doi:10.7498/aps.64.108802 |
| [9] |
张鑫鑫, 靳映霞, 叶晓松, 王茺, 杨宇.高速率沉积磁控溅射技术制备Ge点的退火生长研究. 必威体育下载 , 2014, 63(15): 156802.doi:10.7498/aps.63.156802 |
| [10] |
刘芳芳, 何青, 周志强, 孙云.Cu元素对Cu(In, Ga)Se2薄膜及太阳电池的影响. 必威体育下载 , 2014, 63(6): 067203.doi:10.7498/aps.63.067203 |
| [11] |
潘惠平, 薄连坤, 黄太武, 张毅, 于涛, 姚淑德.铜铟镓硒太阳能电池多层膜的结构分析. 必威体育下载 , 2012, 61(22): 228801.doi:10.7498/aps.61.228801 |
| [12] |
乔士柱, 赵俊卿, 贾振锋, 张宁玉, 王凤翔, 付刚, 季燕菊.自旋极化有机电致发光器件中单线态与三线态激子的形成及调控. 必威体育下载 , 2010, 59(5): 3564-3570.doi:10.7498/aps.59.3564 |
| [13] |
黎兵, 刘才, 冯良桓, 张静全, 郑家贵, 蔡亚平, 蔡伟, 武莉莉, 李卫, 雷智, 曾广根, 夏庚培.CdS/CdTe薄膜太阳电池的深能级瞬态谱和光致发光研究. 必威体育下载 , 2009, 58(3): 1987-1991.doi:10.7498/aps.58.1987 |
| [14] |
周小莉, 杜丕一.磁控溅射法制备的CaCu3Ti4O12薄膜. 必威体育下载 , 2005, 54(4): 1809-1813.doi:10.7498/aps.54.1809 |
| [15] |
沈 韩, 许 华, 陈 敏, 李景德.钇掺杂钨酸铅晶体中的极化子和导纳谱. 必威体育下载 , 2003, 52(12): 3125-3129.doi:10.7498/aps.52.3125 |
| [16] |
孟繁玲, 李永华, 徐耀, 王煜明.小角x射线散射确定TiNi薄膜中晶化粒子的长大激活能. 必威体育下载 , 2002, 51(9): 2086-2089.doi:10.7498/aps.51.2086 |
| [17] |
李宏建, 彭景翠, 许雪梅, 瞿述, 夏辉, 罗小华.有机电致发光器件中载流子的输运和复合发光. 必威体育下载 , 2002, 51(2): 430-433.doi:10.7498/aps.51.430 |
| [18] |
刘峰, 黄钧伟, 刘伟, 肖玲, 任洪涛, 焦玉磊, 郑明辉, 阎守胜.弱场下熔融织构YBa2Cu3O7-δ样品局域磁通蠕动的实验研究. 必威体育下载 , 2001, 50(10): 2001-2007.doi:10.7498/aps.50.2001 |
| [19] |
傅柔励, 马允胜, 孙鑫.强耦合一维电子-晶格体系中孤子激活能. 必威体育下载 , 1992, 41(7): 1143-1146.doi:10.7498/aps.41.1143 |
| [20] |
黄启圣, 汤定元.锑化铟中载流子的复合过程. 必威体育下载 , 1965, 21(5): 1038-1048.doi:10.7498/aps.21.1038 |