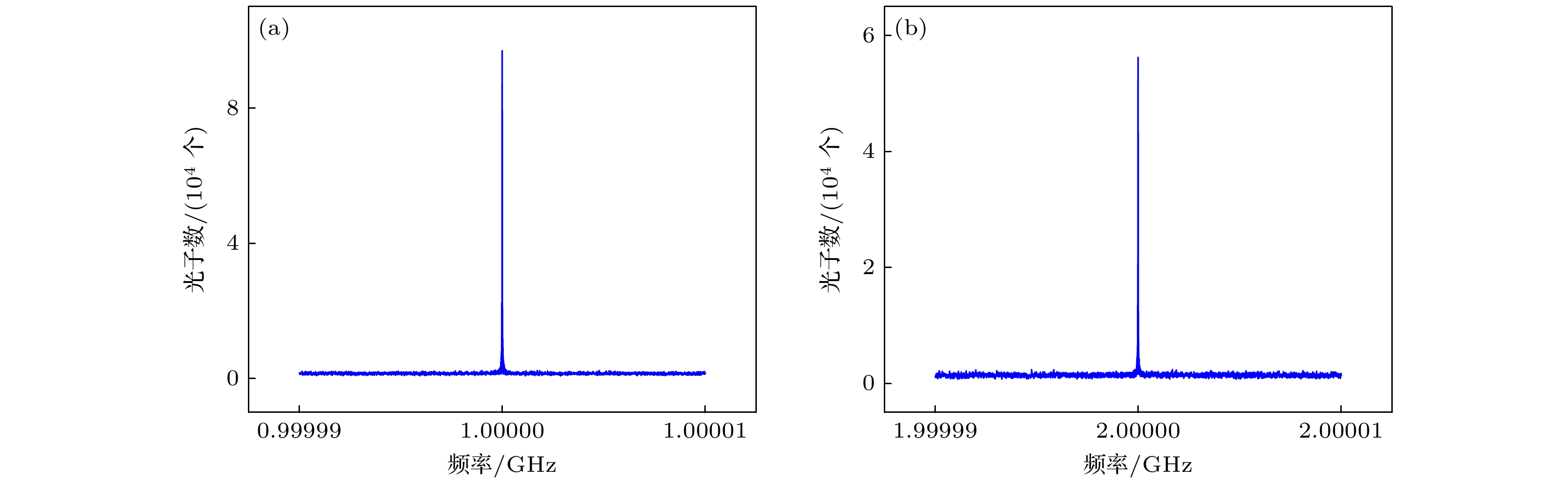
With the rapid development of radio frequency technology such as radar, electronic warfare and 5G communication, the measurement and real-time spectrum characterization of broadband radio frequency signals become increasingly important. The traditional radio frequency signal real-time measurement technology is limited by the sampling rate of analog-to-digital converter and the ability to process digital signals, and encounters the problems of narrow measurement band, large data volume, and susceptibility to electromagnetic interference. This work is to study a radio frequency signal measurement technology based on quantum compression sensing, which uses integrated electro-optical crystal as radio frequency sensor, and constructs a compression sensing machine by modulating the photon wave function of the measured radio frequency signal to realize the compression measurement of broadband radio frequency signal, significantly improving the spectrum sensing bandwidth. The experiment demonstrates the long-term spectrum monitoring of power frequency and intermediate frequency high voltage signals, and the real-time spectrum measurement of high frequency radio frequency signals. Under the Fourier limit spectrum resolution, the real-time spectrum analysis bandwidth of GHz magnitude is realized, and the data compression rate reaches 1.7×10
–5, which can meet the needs of 5G wireless communication, cognitive radio and other applications for broadband radio frequency signal spectrum measurement, and provide a new technical path for developing the next-generation broadband spectrum sensing technology.