-
Relativistic heavy ion collider (RHIC) as a dedicated nuclear facility has made a few major discoveries in physics. This year marks the 30th year STAR Collaboration formation and the 23th year of STAR detector operation and data collection at RHIC. In the last two decades, STAR has collected many datasets, exhibiting scientific versatility and flexibility of the RHIC facility. The total dataset in the first year is less than 1 million good events, and currently there are about 1 billion events per dataset. The Global Hyperon Polarization was proposed in 2004. This immediately prompted the STAR Collaboration to search for this phenomenon from the early datasets. The null results were presented at Quark Matter Conference in Shanghai in 2006 and subsequently published. Although there were peripheral and continuous efforts in the following decade, no positive result has been observed experimentally. This situation changed in the following decade with the upgrade of high data rate and time-of-flight (TOF) detector and the progress of the Beam Energy Scan Phase I (BES-I). The experimental discoveries of the global polarization of hyperons in 2017 and the spin alignment of vector mesons in 2023 at RHIC-STAR confirm the theory which was established nearly twenty years ago. The theory and these measurements open the way to studying the properties of the hot and dense nuclear matter created in high-energy heavy ion collisions from a new degree of freedom, spin. We briefly review these discoveries from the proposals of theory to the experimental measurements, and summarize the related measurements at the existing facilities and the theoretical explanations to the original proposal. The basic understanding and the original proposal are still valid and fundamental, that is, the angular momentum of system can transform into a spin effect observable in experiment. However, it appears that in each case a new model is needed to explain the new experimental observation. We need a more basic theory to help us unify all these spin related phenomena. Over the past five years, STAR has successfully installed 3 new detectors and we have begun to see the physical analysis results from datasets with those new functions. What makes the STAR detector viable after 20 years of operation is its continuous evolution through successful upgrades, with new scientific programs added year by year. The next big thing is to forward upgrade a tracking system (3 layers of silicon strips and 4 layers of sTGC chambers) and a calorimetry system (electromagnetic and hadronic calorimeters). In addition to studying the spin structure of protons by using the polarized proton beams at RHIC, the upgrades also provide a unique ability to investigate the origin of Λ Global Polarization as a function of rapidity and rapidity (de-)correlations in Au+Au collisions. -
Keywords:
- relativistic heavy ion collider/
- STAR/
- global hyperon polarization/
- spin alignment of vector mesons
[1] [2] [3] [4] [5] [6] [7] [8] [9] [10] [11] [12] [13] [14] [15] [16] [17] [18] [19] [20] [21] [22] [23] -
Detector Primary functions DOE+(in-kind) Year TPC+Trigger |η| < 1 tracking 1999— Barrel EMC |η| < 1 jets$ /\gamma /{{\text{π}}}^{0}/e $ 2004— FTPC Forward tracking (Germany) 2002—2012 L3 Online display (Germany) 2000—2012 SVT/SSD V0/charm (France) 2004—2007 PMD Forward photons (India) 2003—2011 EEMC 1 <η< 2 jets$ /{{\text{π}}}^{0}/e $ (NSF) 2005— Roman Pots Diffractive 2009— TOF PID (China) 2009— FMS/Preshower 2.5 <η< 4.2 (Russia) 2008—2017 DAQ1000 x10 DAQ rate 2008— HLT Online tracking (China/Germany) 2012— FGT 1 <η< 2 $ {W}^{\pm } $ 2012—2013 GMT TPC calibration 2012— HFT/SSD Open charm (France/UIC) 2014—2016 MTD Muon ID (China/India) 2014— EPD Event plane (China) 2018— RHICf η> 5 $ {{\text{π}}}^{0} $ (Japan) 2017 iTPC |η| < 1.5 tracking (China) 2019— eTOF –2 <η< –1 PID (Germany/China) 2019— FCS 2.5 <η< 4 calorimeter (NSF) 2021— FTS 2.5 <η< 4 tracking (NCKU/SDU) 2021— 现象 实验 特点 理论解释 解释实验 超子整体极化(GHP)的能量依赖性 RHIC[6]
SIS[11]信号强度~1%
随能量减弱自旋与角动量耦合[1,2,17],
涡旋[15,16]理论和实验
符合较好GHP的对撞中心度依赖性 RHIC
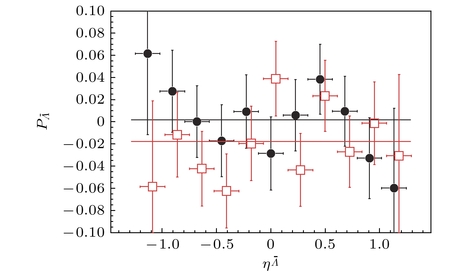
LHC信号向偏心碰撞增强 没有很好的理论解释 GHP的横动量依赖性 RHIC 似乎随动量上升趋势 超子局域极化 RHIC[7]LHC[8] 正的正弦振荡信号 切向涡旋性[18,19] 解释信号
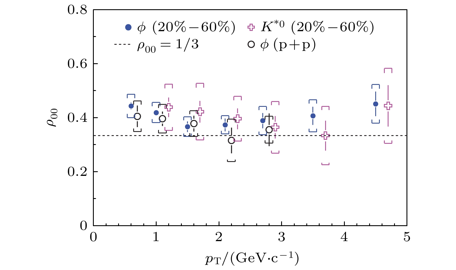
的正负值GHP的二三阶椭圆流向依赖性 RHIC[13] 信号向偏心碰撞增强 矢量介子自旋排列 RHIC[9] K*介子零信号
$ \varphi $介子正信号强作用场[20] 理论与实验
定性符合矢量介子自旋排列 LHC[12] K*介子负信号
$ \varphi $介子零信号${J}/{\psi }$ 矢量介子自旋排列 LHC[14] ~5% GHP的快度依赖性 没有实验结果 角动量的几何形状依赖性[21] -
[1] [2] [3] [4] [5] [6] [7] [8] [9] [10] [11] [12] [13] [14] [15] [16] [17] [18] [19] [20] [21] [22] [23]
计量
- 文章访问数:3302
- PDF下载量:101
- 被引次数:0












下载:



