-
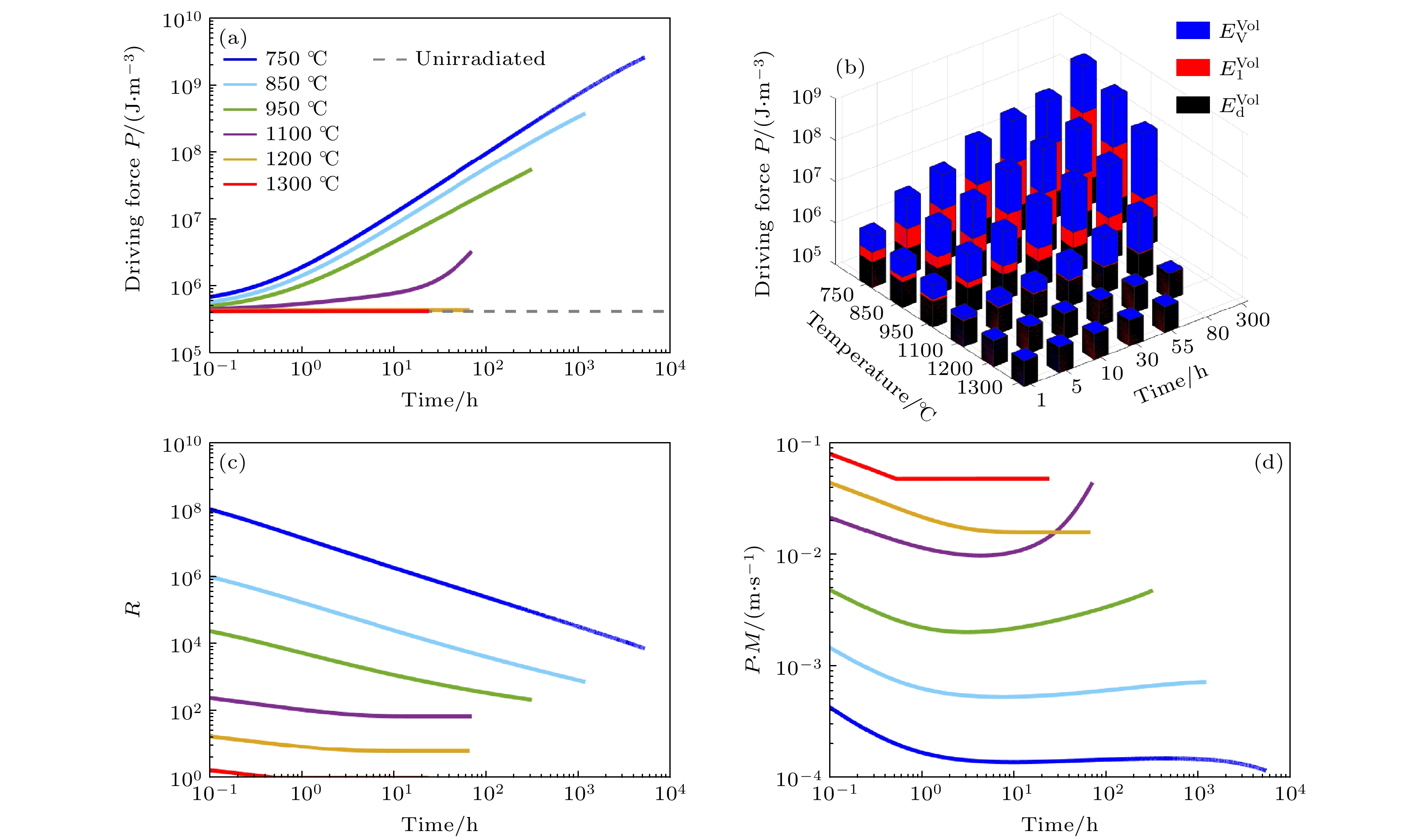
钨作为未来聚变堆偏滤器靶板的候选材料, 需要长期服役在高温且受到高能中子辐照的严峻环境, 这将导致钨发生中子辐照诱导再结晶, 从而提高钨发生沿晶脆断的可能性, 威胁偏滤器的运行安全, 因此研究中子辐照诱导钨再结晶的物理机制具有重要意义. 然而, 与最近高通量同位素反应(HFIR)堆高温下中子辐照实验观察到的结果相比, 目前考虑辐照增强再结晶驱动力效应的模型低估了中子辐照对再结晶的影响, 结果表明仍有其他效应影响再结晶过程. 基于此, 本文在假设晶界迁移率与自体扩散系数成正比的前提下, 引入辐照增强晶界迁移因子( R), 建立了新的辐照诱导再结晶动力学模型. 模拟结果显示, 在综合考虑辐照增强再结晶驱动力和晶界迁移效应后, 模型计算出的850 ℃下达到一半再结晶分数所需要的时间(
$ {{t}}_{{X}{}={}0.5} $ )和HFIR堆中子辐照实验结果相符, 这表明辐照增强晶界迁移效应是影响辐照诱导再结晶现象的重要因素之一. 另外, 模型研究了不同辐照温度下钨的$ {{t}}_{{X}{=0.5}} $ . 结果表明辐照与未辐照的$ {{t}}_{{X}{=0.5}} $ 差别随温度升高而逐渐下降. 这是因为随着温度的升高, 辐照缺陷复合加剧, 辐照缺陷对再结晶驱动力的贡献下降, 且热激活扩散系数增大的幅度大于辐照下扩散系数的增大幅度, 所以热激活效应会逐渐主导再结晶过程.Tungsten is the candidate for divertor target material in future fusion reactors. The tungsten divertor target is expected to long serve in a harsh environment of high temperature and high-energy neutron irradiation. This can lead to neutron irradiation-induced recrystallization of tungsten, thereby increasing the possibility of intergranular brittle failure and compromising the safe operation of the divertor. Thus, clarifying the mechanism of neutron irradiation-induced tungsten recrystallization is important. However, the current model, which only considers the irradiation-enhanced effect on recrystallization driving force, underestimates the irradiation effect on recrystallization compared with the results observed in recent high-temperature neutron irradiation experiments in the HFIR reactor. It indicates that other irradiation effects can also influence the recrystallization process. In this study, we introduce the irradiation-enhanced grain boundary migration factor ( R) into the established irradiation-induced recrystallization kinetic model, on the assumption that the grain boundary migration velocity is proportional to the self-diffusion coefficient. The simulation results show that after considering both irradiation-enhanced recrystallization driving force and grain boundary migration effect, the calculated half-recrystallization time ( ${t}_{{X}\text{}=\text{}0.5}$ ) at 850 ℃ from the model matches the one obtained in the neutron irradiation experiment in the HFIR reactor. This result indicates that the irradiation-enhanced grain boundary migration effect is one of the important factors affecting irradiation-induced recrystallization. In addition, the difference between irradiated and unirradiated t X=0.5decreases with temperature increasing. This phenomenon is due to the fact that as the temperature increases, the contribution of irradiation defects to the driving force for recrystallization decreases owing to the irradiation defect recombination. Moreover, the increase of thermal activation diffusion coefficient is more significant than the increase of the irradiation-enhanced diffusion coefficient. These findings suggest that the thermal activation effect eventually dominates the recrystallization process over the irradiation effect as temperature increases.[1] [2] [3] [4] [5] [6] [7] [8] [9] [10] [11] [12] [13] [14] [15] [16] [17] [18] [19] [20] [21] [22] [23] [24] [25] [26] [27] [28] [29] [30] [31] [32] [33] [34] [35] [36] [37] [38] [39] [40] [41] [42] [43] [44] [45] [46] -
参数 NRTdpa
/(10–7dpa·s–1)Sdpa
/(10–8dpa·s–1)Gtot
/(1021m–3·s–1)数值 2.16 6.41 4.06 -
[1] [2] [3] [4] [5] [6] [7] [8] [9] [10] [11] [12] [13] [14] [15] [16] [17] [18] [19] [20] [21] [22] [23] [24] [25] [26] [27] [28] [29] [30] [31] [32] [33] [34] [35] [36] [37] [38] [39] [40] [41] [42] [43] [44] [45] [46]
计量
- 文章访问数:3211
- PDF下载量:110
- 被引次数:0














下载:




