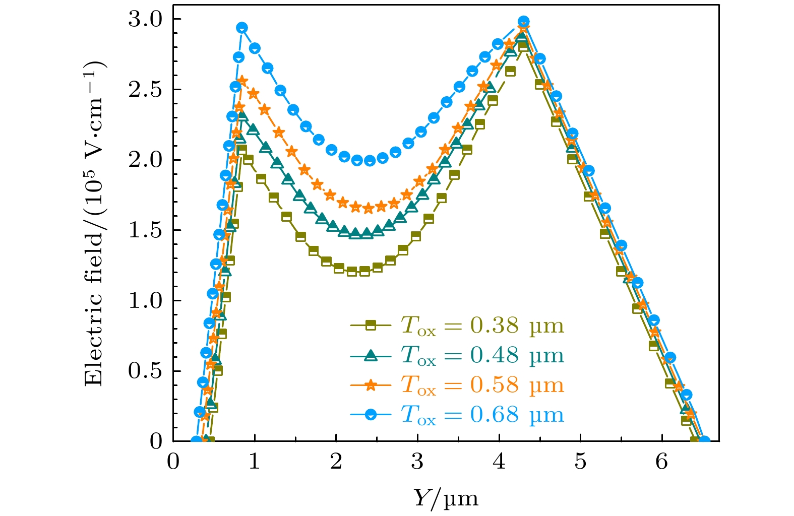
Shielded gate trench metal-oxide-semiconductor field effect transistor (SGT-MOSFET) introduces a longitudinal shielding gate connected to the source inside the body, which can assist in depleting the drift region. Its principle of withstanding voltage is different from that of the vertical U-groove MOSFET (VUMOSFET). The SGT-MOSFET will generate two electric field peaks inside the body, which will further optimize the electric field strength distribution of the device and increase the breakdown voltage of the device. Therefore, SGT-MOSFET has not only the advantages of low conduction loss of CCMOSFET, but also lower switching loss. The effects of structural parameters such as the width of the mesa, the thickness of the field oxygen, the depth of the trench and the doping concentration on the electric field strength distribution of SGT-MOSFET are not independent of each other. The more the parameters, the more complex the correlation of their effects on the electric field strength distribution is. In this paper, we take 110V SGT-MOSFET as a research object. Through numerical simulation, theoretical analysis and analytical modeling, the principle of withstanding voltage for different structures and the correlation between structural parameters and electric field strength distribution are studied. The analytical model of the electric field related to various structural parameters of the device is established, which provides a theoretical basis for the design of the device structure. The analytical model of electric field under low current is modified by introducing avalanche carriers, so that the modified analytical results can better match the simulation results. Through the modified electric field analysis model, the field oxygen thicknessin an optimal electric field is 0.68 µm . Comparing with the product of SGTMOSFET with 0.58 µm field oxygen thickness, at the optimal field oxygen thickness of 0.68 µm, the on-resistance of the device is reduced because the on-area of the device is increased; the electric field distribution is more uniform, so the device breakdown voltage increases; the gate-source capacitance decreases and the gate-drain capacitance is almost no change, so the gate-source charge decreases and the gate-drain charge is almost no change, while the total gate charge decreases. As a result, the optimal value parameter FOM
1of the device is increased by 18.9%, and the optimal value parameter FOM
2is reduced by 8.5%. Therefore, the static and dynamic characteristics of the device are significantly promoted, and the performance of the corresponding products is greatly improved.