-
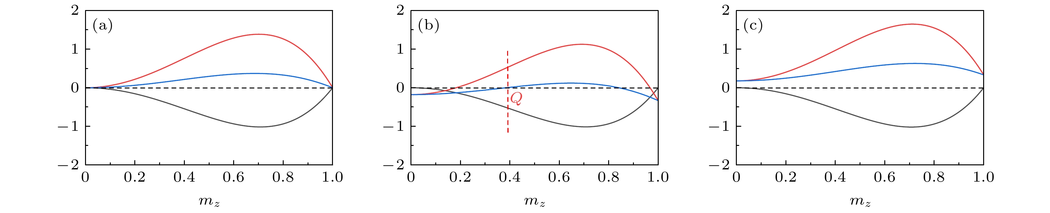
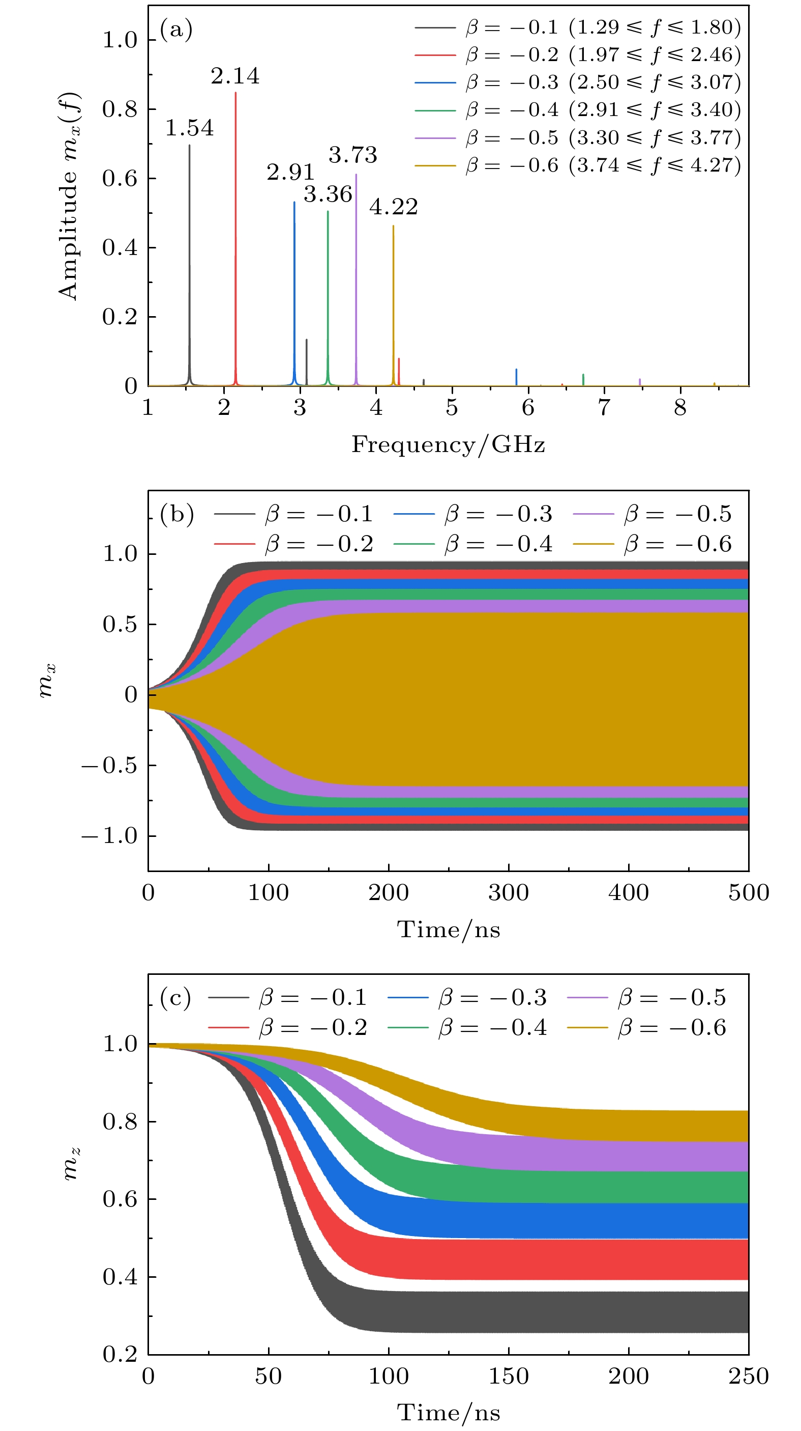
自旋转移力矩纳米振荡器是一种直流驱动的新型纳米微波振荡器, 因其易集成、尺寸小、频率调制范围宽等优点, 成为未来射频收发器的理想器件. 但是, 自旋转移力矩纳米振荡器的稳定自激振荡需要外加磁场的条件限制了其应用. 基于宏自旋模型(又称单自旋或单畴模型), 利用Landau-Lifshitz-Gilbert-Slonczewski方程, 理论上研究了类场矩和电流强度对垂直磁化的自由层磁矩的零场稳定自激振荡特性的影响. 研究结果表明, 当类场矩参数与自旋转移力矩参数的比值为负值且其绝对值大于某一数值时, 自旋转移力矩纳米振荡器可以实现零场自激振荡, 其物理机制可以通过能量平衡方程解释, 并且这一临界比值依赖于该系统的阻尼系数和电流强度. 尤其是, 自旋转移力矩纳米振荡器的稳定自激振荡频率可以通过类场矩参数与自旋转移力矩参数的比值和电流强度的大小来调节, 并且其类场矩的绝对值越大, 施加的电流强度越小(大于临界电流强度), 则越有利于抑制二次和三次自激振荡频率的形成, 从而提高自旋转移力矩纳米振荡器的“单频”性. 上述结果提供了一种实现频率可调的零场自旋转移力矩纳米振荡器的理论方案.
-
关键词:
- 自旋转移力矩纳米振荡器/
- 类场矩/
- 零场稳定振荡
The spin-torque nano-oscillator (STNO), which is a novel type of nano-sized microwave oscillator driven by direct current, is considered as a promising candidate for future radio frequency (RF) transceivers owing to its scalability, nanoscale size and high frequency tunability. However, the potential application of STNO is limited because its stable oscillation requires an external magnetic field. In this work, the influences of the field-like torque and applied current intensity on the stable oscillation of STNO with a perpendicularly magnetized free layer are studied theoretically based on the macrospin model (also known as the single-spin or single-domain model) and the Landau-Lifshitz-Gilbert-Slonczewski (LLGS) equation in the absence of magnetic field. It is demonstrated numerically that a stable oscillation of STNO can be observed when the ratio between the field-like torque and the spin torque is a negative value and larger than a certain value that depends on the damping coefficient and the current intensity, whose physical mechanism can be understood by the energy balance equation. Moreover, the frequency of stable oscillation of STNO can be modulated by the ratio between the field-like torque and the spin torque and also by the current intensity. Particularly, the larger the absolute value of the ratio between the field-like torque and the spin torque and the smaller the applied current intensity (above the critical current intensity), the more conducive it is to suppressing the formation of second and third oscillation frequencies, thereby enhancing the STNO’s “single-frequency” feature. Our findings provide a theoretical scheme for realizing a frequency tunable zero-field STNO, which may be useful for designing future RF transceivers.[1] [2] [3] [4] [5] [6] [7] [8] [9] [10] [11] [12] [13] [14] [15] [16] [17] [18] [19] [20] [21] [22] [23] [24] [25] [26] [27] [28] [29] [30] [31] [32] [33] [34] [35] [36] [37] [38] [39] [40] [41] -
[1] [2] [3] [4] [5] [6] [7] [8] [9] [10] [11] [12] [13] [14] [15] [16] [17] [18] [19] [20] [21] [22] [23] [24] [25] [26] [27] [28] [29] [30] [31] [32] [33] [34] [35] [36] [37] [38] [39] [40] [41]
计量
- 文章访问数:2429
- PDF下载量:92
- 被引次数:0












下载:




