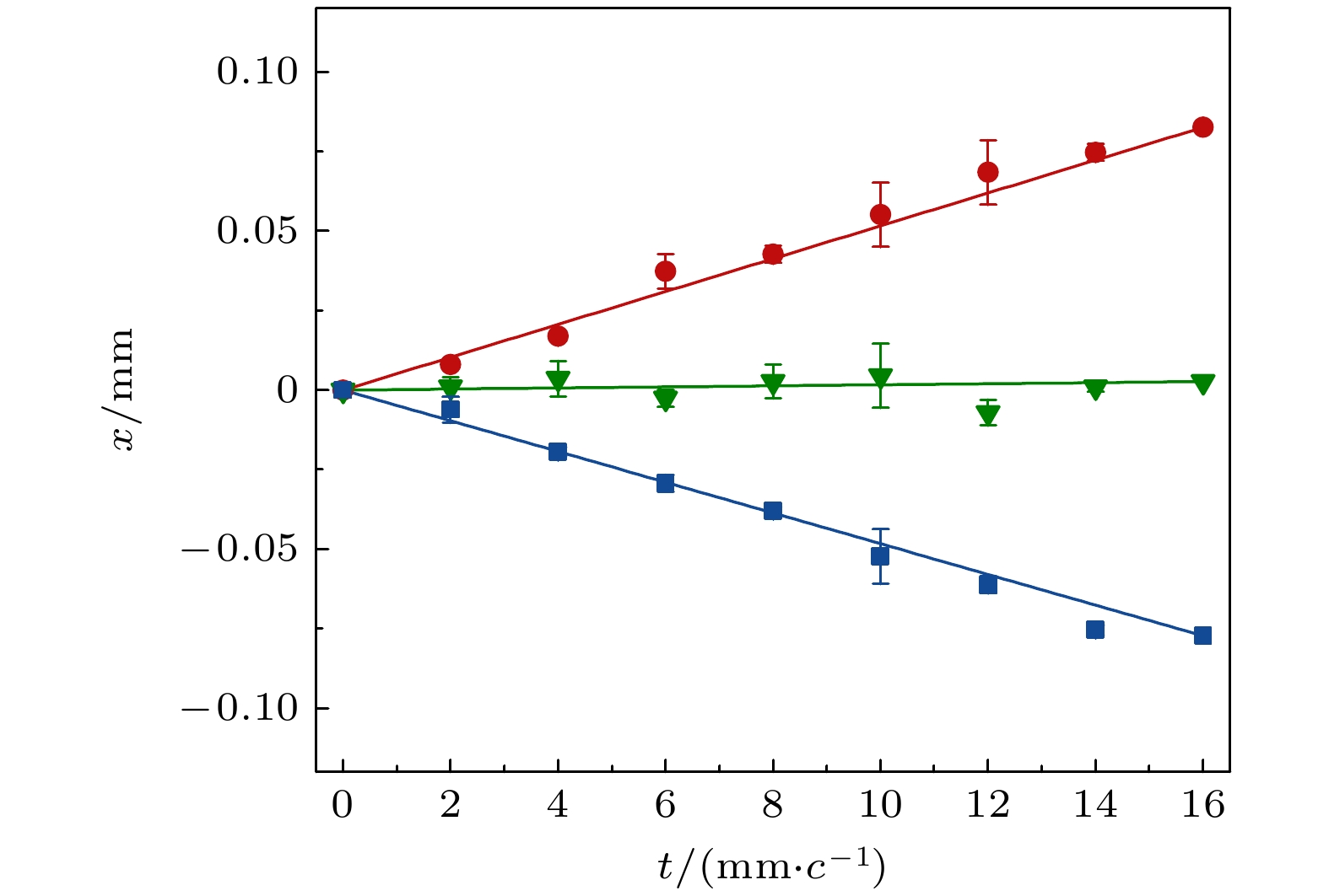
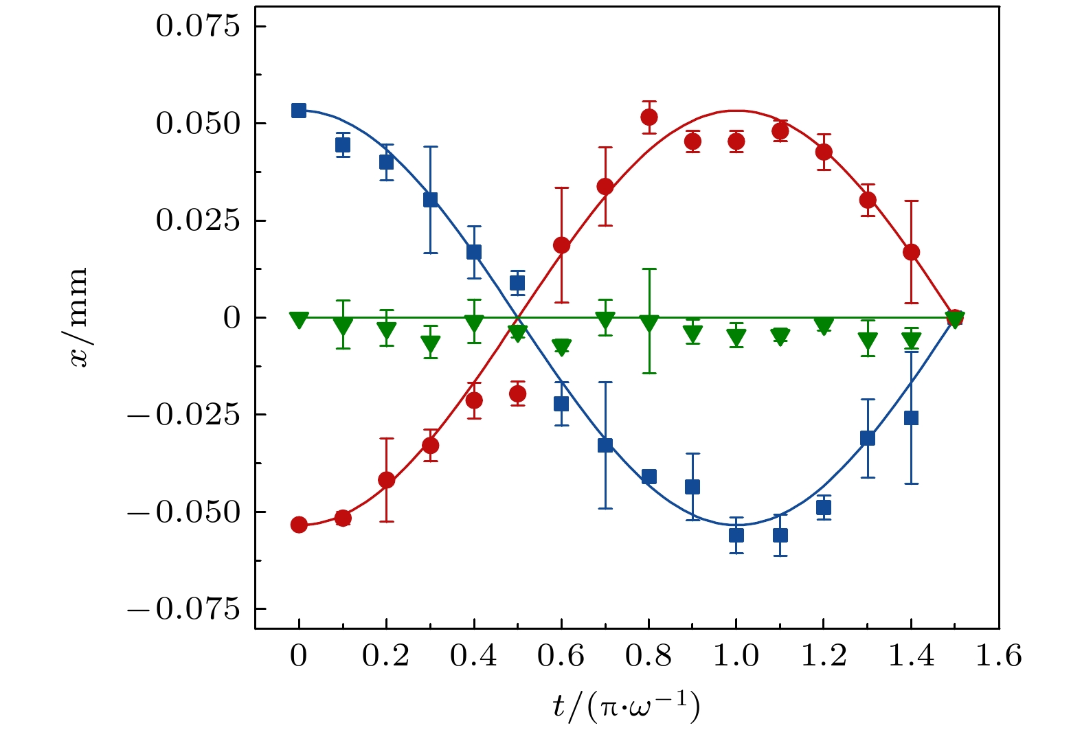
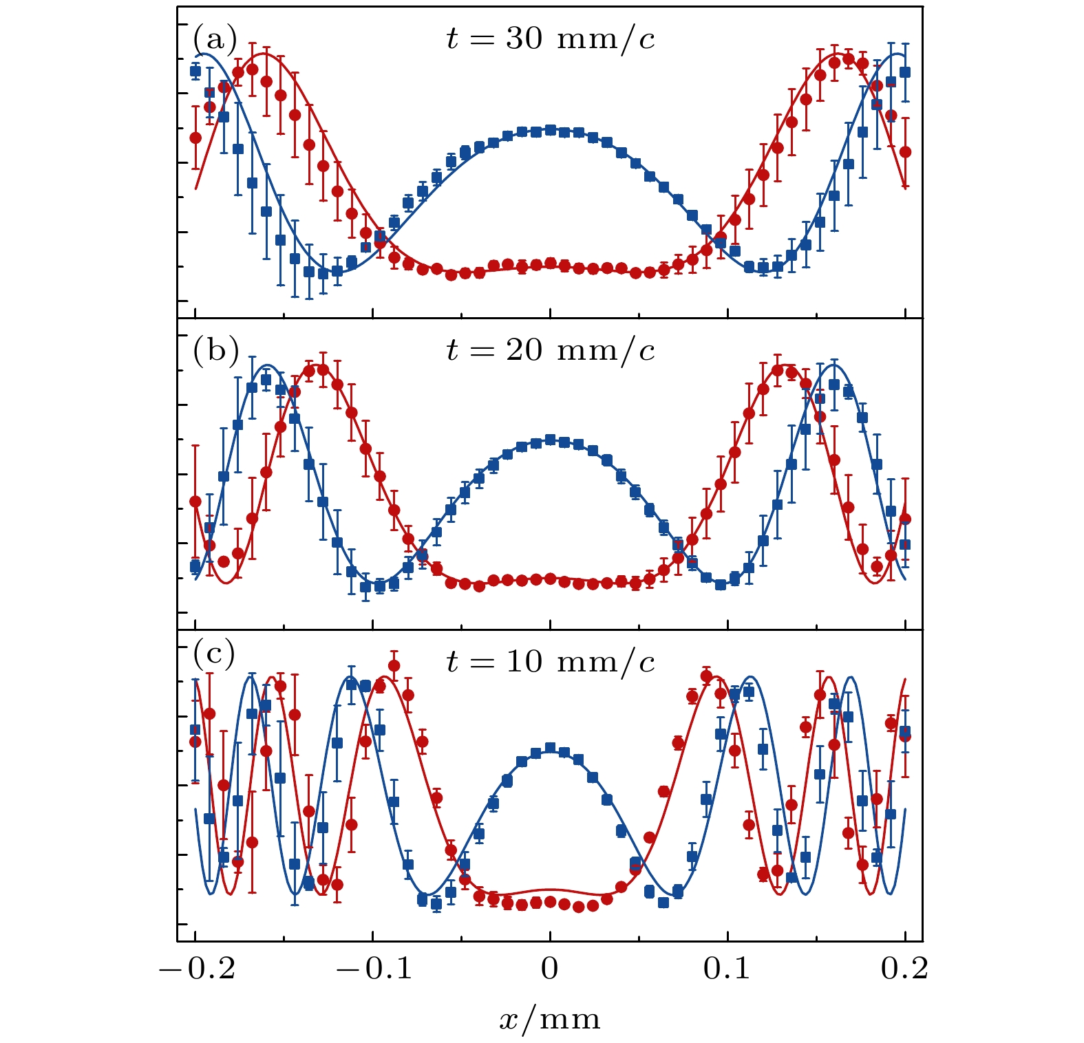
The propagator plays a central role in path integral theory and therefore has significant value in various fields of modern quantum physics, where path integral representations can be used. However, owing to the fact that it has not been directly measured in experiment, progress of experimental studies of quantum systems based on path integral representations has been seriously limited. Recently, we proposed a propagator measurement scheme based on the direct measurement of the wave function and successfully performed the first experimental measurement of the propagator by using a single photon experiment. Furthermore, in this study, the quantum principle of least action is demonstrated for the first time. This research successfully addresses the technical challenges of path integral experimental studies. In this work, we review the research progress in this field, including a brief introduction to the basic concepts and research progress of direct wave function measurement, and a detailed description of the theoretical model, experimental design, and experimental results of propagator measurement. Finally, we introduce an important application example, which can serve as the experimental demonstration of the quantum principle of least action through propagator measurement. The research progress of propagator measurement reviewed in this work will provide important references for future experimental studies by using this method.