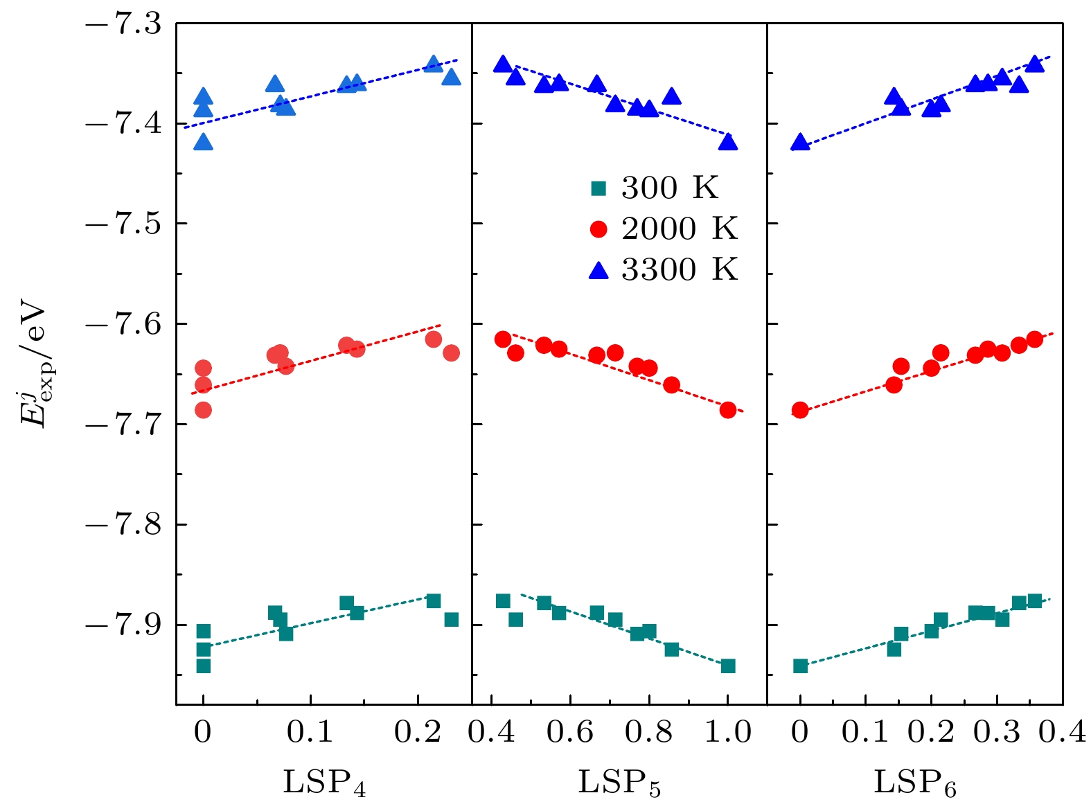
Metallic glass (MG) has received intensive attention in the fields of amorphous physics and materials science, owing to its excellent mechanical properties, good corrosion resistance, and large elastic deformation limit. Comparing with traditional oxide glass, the limited glass-forming ability (GFA) seriously restricts the application of MG in engineering. Therefore, the GFA has been a hot scientific issue in the field of amorphous material research. Recently, scientists have fully realized that GFA is closely related to the local atomic structure in liquid as well as its evolution features. Since the MG is called the “freezing” liquid, exploring the correlation of local atomic structures between liquid phase and solid phase under rapid solidification conditions is helpful in understanding the microstructural mechanism of GFA. Therefore, the rapid solidification process of liquid Ta is investigated via molecular dynamics simulation. The pair correlation function (PDF), the largest standard cluster (LSC), and the reverse atomic trajectory tracking methods are used to characterize and analyze the microstructure and its evolution during the rapid solicitation of liquid Ta. The results show that the local atomic configurations of the rapidly solidified Ta are various Kasper clusters as well as their distorted configurations, among of which [1/444, 10/555, 2/666] deformed icosahedron (or Z13 cluster) accounts for the highest proportion. The trend of hereditary ability of clusters revealed by the onset temperature of continuous heredity is consistent well with that by the fraction of staged heredity. The geometric symmetry of clusters can be quantitatively characterized by using the local symmetry parameter (LSP). The hereditary ability of clusters is closely related to their LSP. The local five-fold symmetry is beneficial to enhancing hereditary ability, while local four- and six-fold symmetry are disadvantageous for that. The probability of clusters with the same LSC index emerging in the energy range follows the Gaussian distribution, and the expected average atomic potential energy
$ {E}_{\rm exp}^{j} $
is almost linearly related to the LSP, and
$ {E}_{\rm exp}^{j} $
decreases with the increase of LSP
5. The high local five-fold symmetry reduces the average atomic potential energy of LSC, thereby enhancing its configurational heredity. These findings have guiding significance in improving GFA through regulating the local symmetry of liquid monatomic metals or alloys.