With the decrease of system dimension, the quantum confinement effect and electronic correlation interaction inside the material will be enhanced correspondingly, often resulting in some novel physical properties. Recently, the freestanding perovskite oxide films as low as the monolayer limit have been successfully prepared and can be transferred to any desired substrate, which provides a great opportunity for exploring the functional properties of two-dimensional perovskite. In perovskite materials, Jahn-Teller distortion and orbital order often cause a variety of correlated electronic behaviors. However, unlike van der Waals materials that retain their structural and chemical bonding characteristics when they are reduced to the monolayer limit, perovskite materials may undergo structural reconstruction when they are reduced to two dimensional structures. Therefore, what are the issues to be solved urgently are whether Jahn-Teller distortion and related effects exist in the perovskite monolayer limit, and whether two-dimensional perovskite can exhibit some new properties different from its bulk phase. In this work, perovskite fluoride KCuF
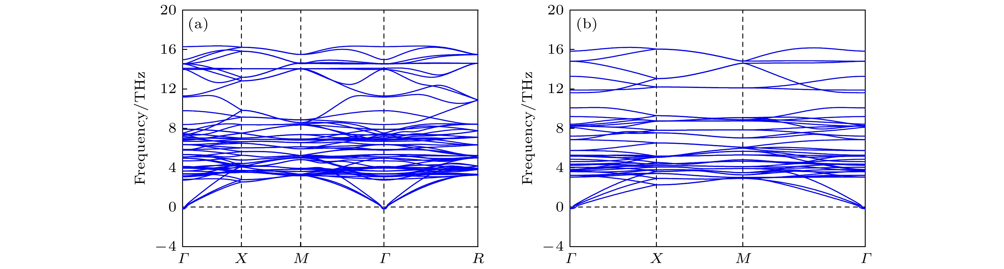
3and its monolayer have been comparatively studied by the first-principles calculation, symmetry analysis, and Monte Carlo simulation methods, revealing the change in lattice dynamics, structural, electronic, and magnetic properties caused by dimensionality reduction in perovskites. The results show that the cooperative Jahn-Teller distortion and the in-plane staggered orbital order occurring in the KCuF
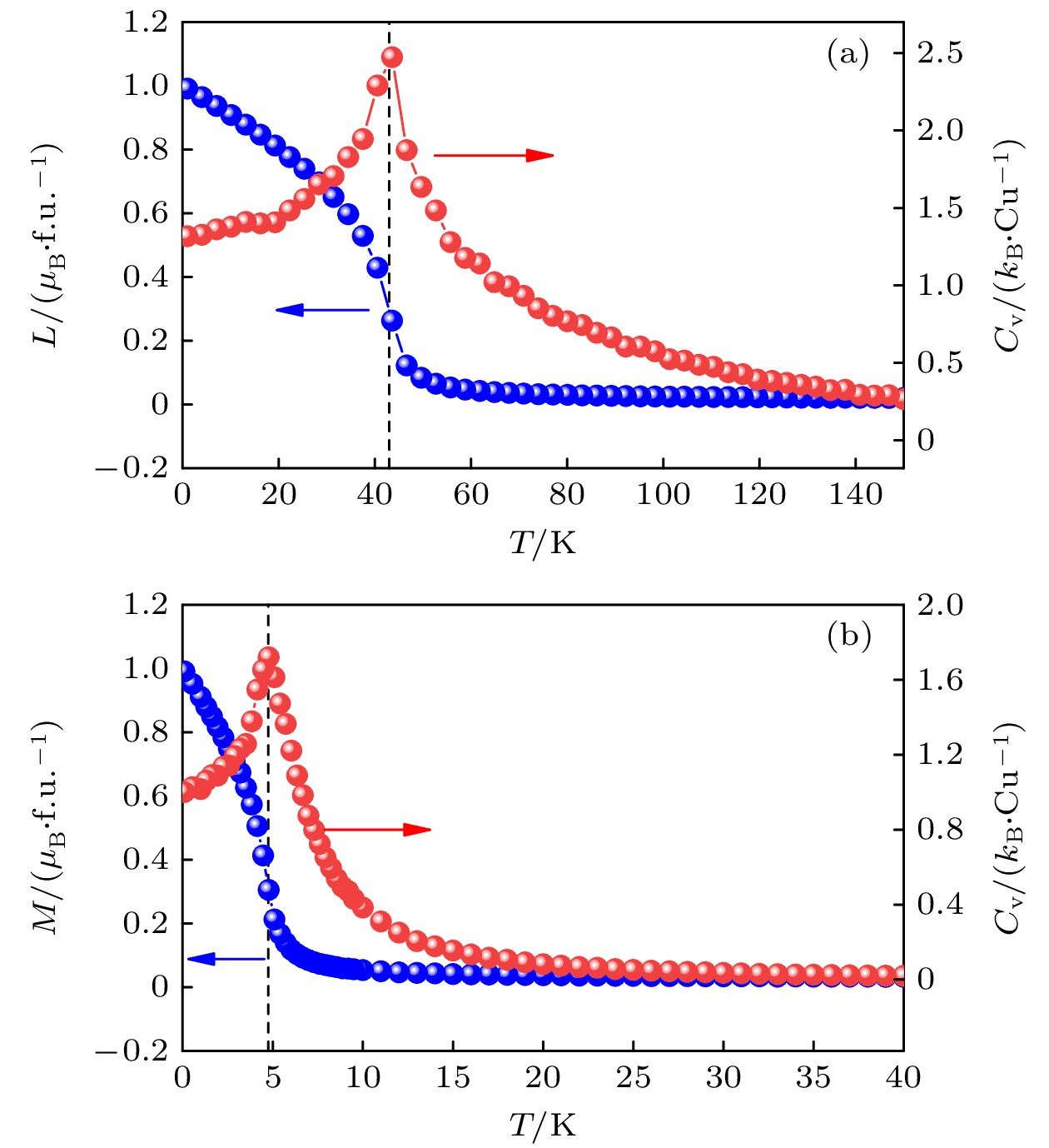
3bulk can be retained to the monolayer limit. However, unlike the bulk phase, the Jahn-Teller distortion mode appears as a soft mode of the prototype phase in the monolayer, and the insulating property of the monolayer does not rely on the emergence of the Jahn-Teller distortion, but it is related to the enhancement of the electronic correlation effect. The staggered orbital order causes the nearest-neighbor exchange interaction to be ferromagnetic, resulting in the monolayer being a two-dimensional ferromagnetic insulator, different from the antiferromagnetic phase in the bulk. Monte Carlo simulations predict that the Curie temperature of the monolayer is about 5 K, which is much lower than the Néel temperature of the bulk phase, indicating that the disappearance of interlayer coupling leads to a significant reduction in the magnetic phase transition temperature. This work provides guidance and reference for studying the two-dimensional perovskite materials and designing the perovskite-based two-dimensional ferromagnets.