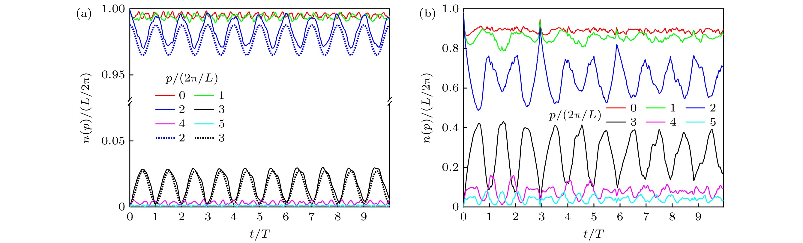
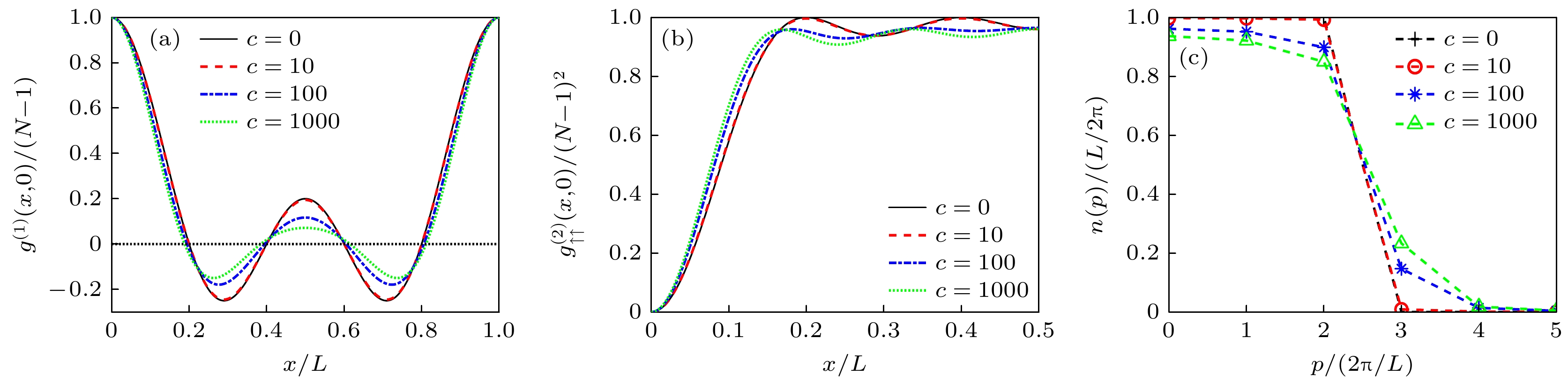
Based on the exact solution method, the ground state and quench dynamics properties of one-dimensional single-spin flipped Fermi gas with repulsion interaction are studied. With the Bethe wave function, the single-body correlation function and two-body correlation function of the ground state and those between different eigen-states can be reduced into a summation of simple functions, thereby greatly reducing the computational difficulty. For the system in the ground state, the single-body correlation functions and two-body correlation functions as well as momentum distributions for spin-up particles are investigated in real space with different interaction strengths. As the interaction strength increases, the number of nodes in the single-body correlation function remains unchanged, while the amplitude of oscillation decreases. Meanwhile, the number of peaks in the two-body correlation function increases by one due to interaction, indicating that the spin-down particle behaves as a spin-up particle. The momentum distribution becomes more smooth around Fermi surface with the interaction strength increasing. The interaction quench dynamics is investigated. The system is prepared in the ground state of ideal Fermi gas, and then the interaction strength is quenched to a finite positive value. The system evolves under time-dependent Schrödinger equation. The overlap between the initial state and eigen-state of post-quench interaction strength is expressed in the form of continued multiplication. The square of the modulus of this overlap, which represents the occupation probability, is calculated. We find that the occupation probabilities of the ground state and doubly degenerated excited state always have the first and the second largest value for an arbitrary interaction strength, respectively, which means that the difference in eigenenergy between these two states gives the primary period of oscillation. For relatively large particle number (
$ N\geqslant10$
), the primary period always does not change under different interaction strengths.It is found that in the case of interaction quenching, the momentum distribution and the correlation function show periodic oscillations. When the interaction strength is adjusted to a relatively small value, the oscillation periodicity is well-defined and the oscillation amplitude is small. The system can be approximated by a two-level model. When the interaction strength increases to a very large value, the oscillation periodicity worsens and the amplitude increases, but a primary period remains unchanged. Although the overall deviation is far from the initial state, it is very close to the initial state at time
$ t=mL^2/(2\pi\hbar)$
. This is because the difference between most energy eigenvalues is almost an integral multiple of energy unit
$ 2\times\left(2\pi/L\right)^{2}$
.