Antimony selenide (Sb
2Se
3) is a simple-phase, element-rich, and economically friendly material for solar cell absorption layers, with broad application prospects. However, the weak conductivity of Sb
2Se
3has become a significant factor limiting the performance of solar cell devices. Carrier mobility is an important electrical parameter for both materials and devices, and strain can change carrier mobility. Therefore, studying the effect of strain on the carrier mobility of Sb
2Se
3is of practical significance. In this work, using density functional theory and deformation potential theory, we systematically investigate the influence of uniaxial strain on the band structure, bandgap width, iso-surface, and effective mass of Sb
2Se
3. We analyze the effects of three types of uniaxial strains along the
x-,
y-, and
z-direction on the carrier mobilities along the
x-,
y-, and
z-direction, which are denoted by
μ
x,
μ
y, and
μ
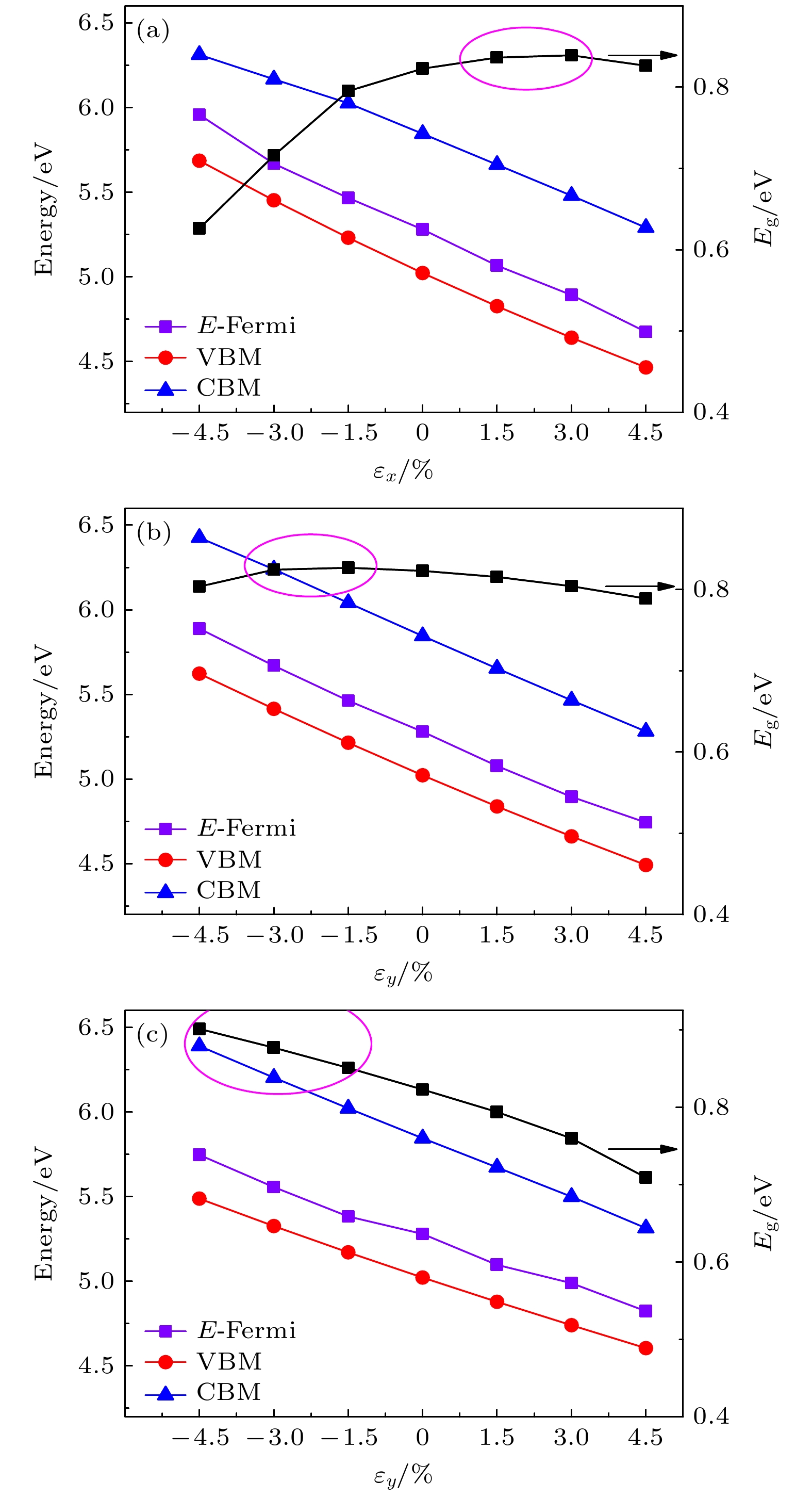
z, respectively. It is found that under these strains, the valence band maximum (VBM) position of Sb
2Se
3remains unchanged, and the bandgap decreases with the increase of strain along the
y- and
z-direction, while it increases along the
x-direction. The variation in bandgap may be related to the coupling strength between the Sb-5p orbital and Se-4p orbital of the conduction band minimum (CBM). For fully relaxed Sb
2Se
3, its iso-surface exhibits a distorted cylindrical shape, with low dispersion along the
z-axis and high dispersion along the
x- and
y-axis, where
μ
xis greater than
μ
yand
μ
z, suggesting that the
x-direction should be considered as the specific growth direction for Sb
2Se
3experimentally. When the strain is applied along the
x- and
z-direction,
μ
xgradually increases with strain increasing, while it decreases when the strain is applied along the
y-direction. Taking into account the combined effects of strain on bandgap, iso-surface, density of states, and mobility, this study suggests that the optimal performance of Sb
2Se
3solar cell absorber layer material can be realized when the strain is applied along the
y-axis, with a compressive strain of 3%.