-
声表面波是激发和控制自旋波的一种新兴手段, 不仅激励效率高, 而且传输长度可以达到毫米量级, 通过引入磁声耦合还可以打破时空反演对称性, 实现声表面波的非互易传播. 本文对不同类型的磁声耦合的物理机制进行了梳理, 对比了磁弹性耦合、自旋-涡度耦合(包括非磁性层注入交变自旋流和磁性材料自身的Barnett效应), 以及磁-旋转耦合在不同模式的声表面波激发下的等效驱动磁场, 讨论了这些等效驱动场的角度依赖性, 以及相应功率吸收的频率依赖性. 这为在实际应用中区分和利用各种磁声耦合机制提供了理论支持. 此外, 本文还介绍了利用磁声耦合实现声表面波非互易性传输的两种主流手段, 包括利用手性失配效应和引入具有非互易性自旋波色散关系的磁结构, 对比并讨论了它们各自的物理机制和优劣势, 希望为设计和发展基于磁声耦合的固态声学隔离器、环形器提供参考.Surface acoustic wave (SAW) is a new means of exciting and controlling spin wave (SW), which has not only high excitation efficiency, but also long transmission length up to millimeter order. Based on the SAW-SW coupling (phonon-magnon coupling), a wide variety of new devices and applications such as high-sensitivity weak magnetic field sensors, energy-efficient spintronic devices, solid-state acoustic isolators, and nonreciprocal phase shifters, have been realized. Therefore, it is of great value to study the physical mechanism of magneto-acoustic coupling, develop new magneto-acoustic coupling effects, and improve the efficiency of magneto-acoustic coupling. In this work, different types of physical mechanisms of magneto-acoustic coupling are reviewed. The effective driven magnetic fields of magnetoelastic coupling, spin-vorticity coupling (including injection of alternating spin current from a non-magnetic layer and Barnett effect inside magnetic material itself), and magneto-rotation coupling under different modes of SAW excitation are compared. The angular dependence of these driven fields and the frequency dependence of the corresponding power absorption are discussed, which provides theoretical support for distinguishing and utilizing various magneto-acoustic coupling in practical applications. In addition, we also introduce two methods to realize nonreciprocal SAW transmission by magneto-acoustic coupling, including the helicity mismatch effect and nonreciprocal spin-wave dispersion magnetic structures, and discuss their physical mechanisms as well as advantages and disadvantages. For such magneto-acoustic nonreciprocal devices, the properties of higher isolation, lower insertion loss and wider bandwidth are always desired. In order to improve the properties of the devices, it is important to find magnetic structures with stronger SW nonreciprocity, reduce the insertion loss introduced by magnetic structure, and fully consider the effective driven field characteristics of different modes of SAW. We hope that this review can serve as a guide for future design and development of solid acoustic isolators and circulators in the RF and microwave frequency bands.
-
Keywords:
- magneto-acoustic coupling/
- spin waves/
- surface acoustic waves/
- phonon-magnon coupling/
- nonreciprocal device
[1] [2] [3] [4] [5] [6] [7] [8] [9] [10] [11] [12] [13] [14] [15] [16] [17] [18] [19] [20] [21] [22] [23] [24] [25] [26] [27] [28] [29] [30] [31] [32] [33] [34] [35] [36] [37] [38] [39] [40] [41] [42] [43] [44] [45] [46] [47] [48] [49] [50] [51] [52] [53] [54] [55] [56] [57] [58] [59] [60] [61] [62] [63] [64] [65] [66] [67] [68] [69] [70] [71] [72] [73] [74] [75] [76] [77] [78] [79] [80] [81] [82] [83] [84] [85] [86] [87] [88] [89] [90] [91] [92] [93] [94] [95] [96] [97] [98] [99] -
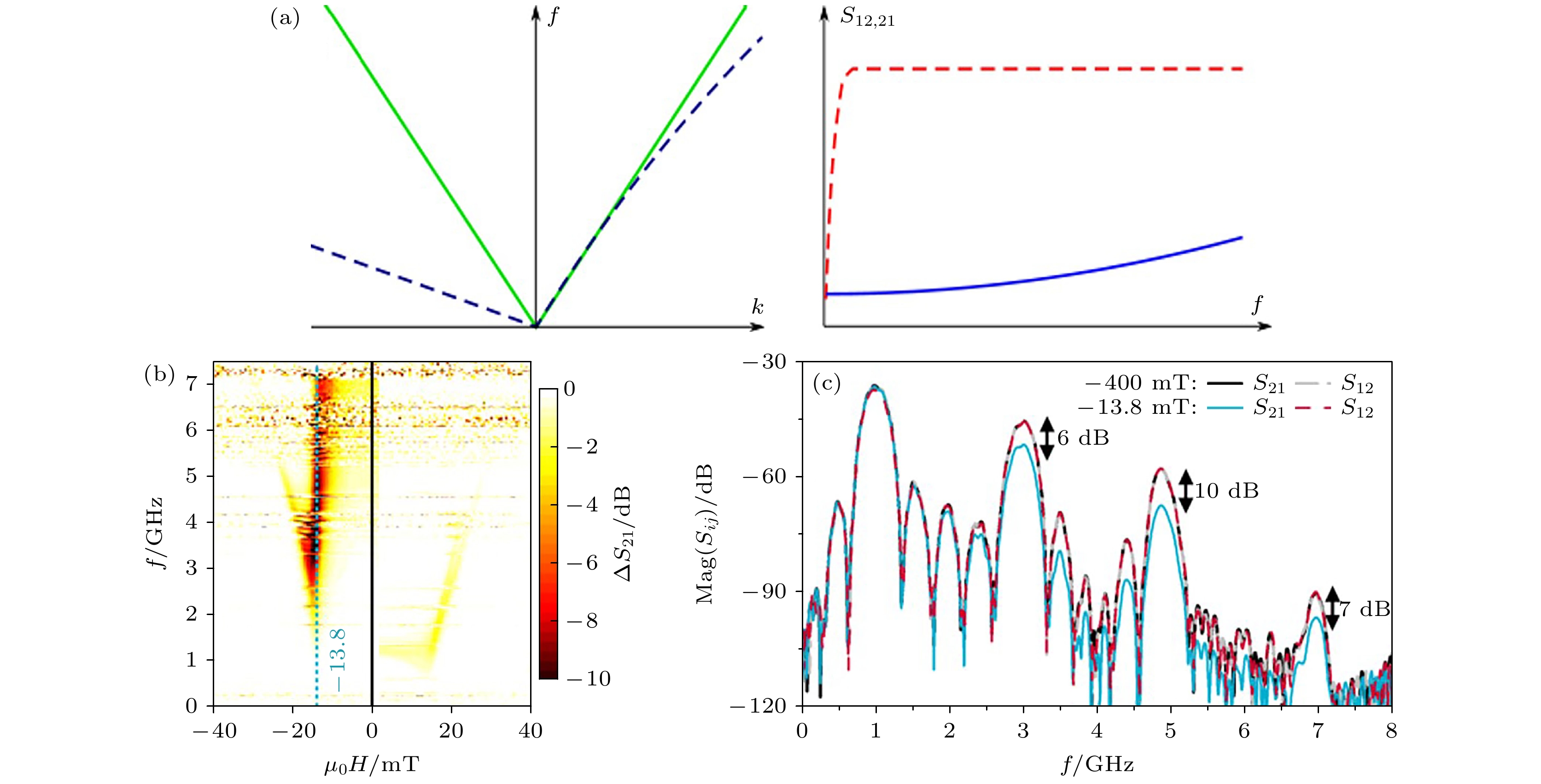
耦合类型 SAWs模式 应变场分量 方向 相位 等效驱动磁场的角度依赖性 功率吸收的频率依赖性 磁弹性耦合 R[28] εxx 面内 i $ \sin 2\left( {{\varphi _0} - {\varphi _{\mathrm{G}}}} \right) $ f εxz 面外 1 $ \cos \left( {{\varphi _0} - {\varphi _{\mathrm{G}}}} \right) $ f3 SH[22] εxy 面内 / $ \cos 2\left( {{\varphi _0} - {\varphi _{\mathrm{G}}}} \right) $ f LL[23] εxx 面内 / $ \sin 2\left( {{\varphi _0} - {\varphi _{\mathrm{G}}}} \right) $ f 自旋-涡度耦合-非磁性层 R[45] $ J_{\mathrm{s}}^Y $ 面外 / $ \cos \left( {{\varphi _0} - {\varphi _{\mathrm{G}}}} \right) $ f7 SH[51] $ J_{\mathrm{s}}^X $ 面外 i $ \sin \left( {{\varphi _0} - {\varphi _{\mathrm{G}}}} \right) $ f7 $ J_{\mathrm{s}}^Z $ 面内 1 1 f5 自旋-涡度耦合-Barnett场 R[52] Ωy 面内 / $ \cos \left( {{\varphi _0} - {\varphi _{\mathrm{G}}}} \right) $ f3 SH[52] Ωx 面内 i $ \sin \left( {{\varphi _0} - {\varphi _{\mathrm{G}}}} \right) $ f3 Ωz 面外 1 1 f5 磁-旋转耦合 R[53] $ {\omega _{xz}} $ 面外 / $ \cos \left( {{\varphi _0} - {\varphi _{\mathrm{G}}}} \right) $ f3 SH[53] $ {\omega _{yz}} $ 面外 / $ \sin \left( {{\varphi _0} - {\varphi _{\mathrm{G}}}} \right) $ f3 注: “/”表示在只有一种驱动场分量的情况下, 无相对的相位差异.fn表示其与频率的n次方成正比. 磁结构/nm 非互易起源 f/GHz lf/mm IL0/dB ILΔ/lf/(dB·mm–1) ΔS±/lf /(dB·mm–1) Ref. Ni(30) HME 2.24 0.8 47 0.34 0.03 [29] Ni(20)/Si(400) HME 1.85 0.4 N/A 0.003 0.03 [31] CoFeB(5)/Pt HME, iDMI 6.77 0.75 71 22 28 [33] FeGaB(20)/Al2O3(5)/FeGaB(20) IDC 1.435 2.2 55 4 22 [37] NiFe(20)/Au(5)/CoFeB(5) IDC, HME 6.87 0.5 89 1.6 74 [34] CoFeB(16)/Ru(0.55)/CoFeB(5) IDC 5.08 0.15 81 0.9 250 [42] FeCoSiB(10)/NiFeCu(10) IDC 2.33 0.5 54 30 60 [43] Ni(16)/Ti(8)/FeCoSiB(16) IDC 2.33 0.5 51 4 80 [67] CoFeB(16)/Ru(0.55)/CoFeB(14) IDC 2.8—7 0.1 60 0.8 50 [68] -
[1] [2] [3] [4] [5] [6] [7] [8] [9] [10] [11] [12] [13] [14] [15] [16] [17] [18] [19] [20] [21] [22] [23] [24] [25] [26] [27] [28] [29] [30] [31] [32] [33] [34] [35] [36] [37] [38] [39] [40] [41] [42] [43] [44] [45] [46] [47] [48] [49] [50] [51] [52] [53] [54] [55] [56] [57] [58] [59] [60] [61] [62] [63] [64] [65] [66] [67] [68] [69] [70] [71] [72] [73] [74] [75] [76] [77] [78] [79] [80] [81] [82] [83] [84] [85] [86] [87] [88] [89] [90] [91] [92] [93] [94] [95] [96] [97] [98] [99]
计量
- 文章访问数:1264
- PDF下载量:97
- 被引次数:0












下载:










