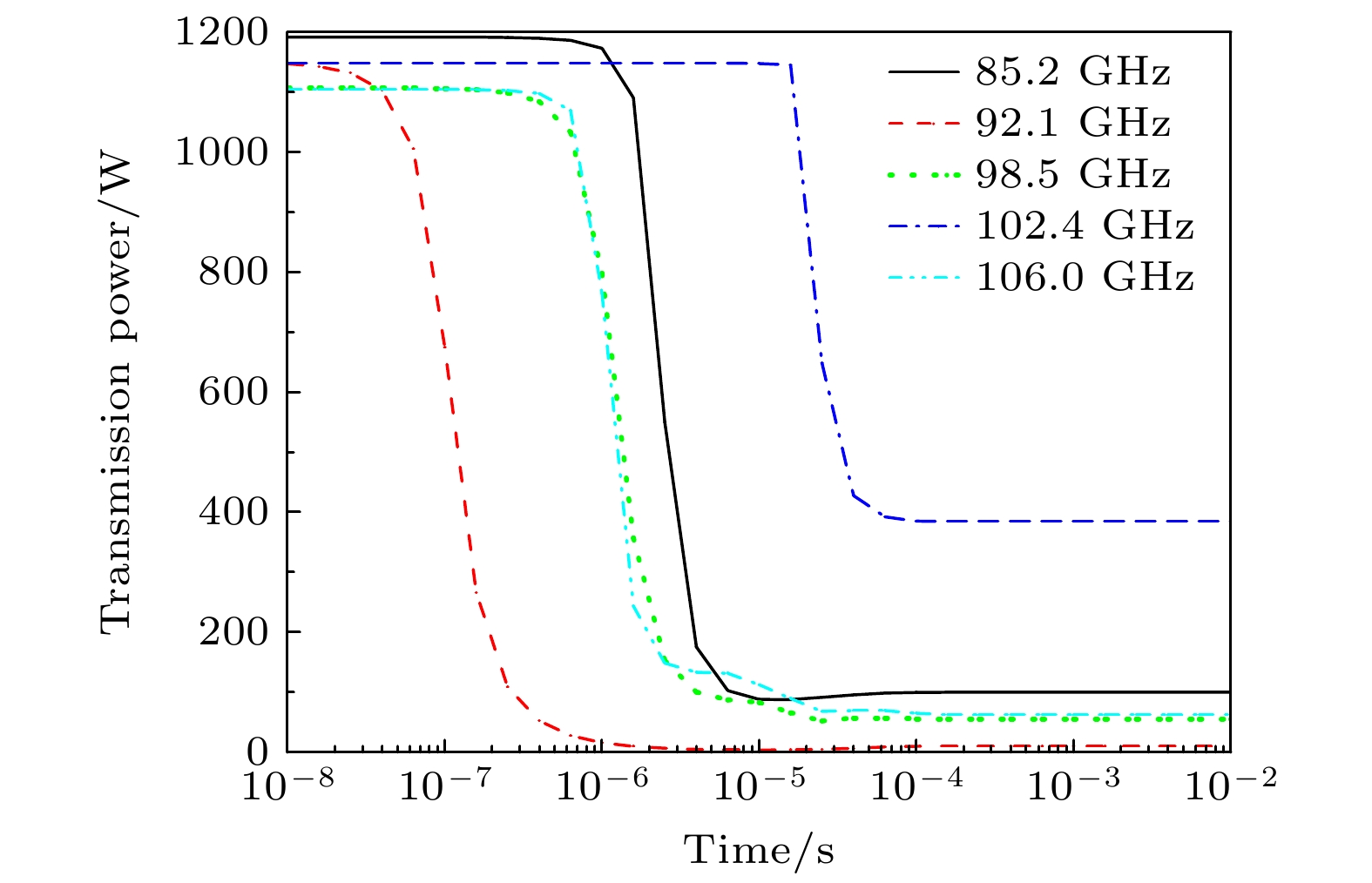
Photonic crystal with periodic dielectric constant distribution has become the focus of theoretical and applied research in recent years because of their bandgap structure similar to the electronic states in semiconductors. It is also a promising method of creating a stable low power microplasma. This research field makes it possible to explore plasma science using microplasmas driven by millimeter wave bands. The dispersive and dissipative properties of plasma make plasma photonic crystals have properties that conventional dielectric photonic crystals do not have. The properties and parameters of plasma photonic crystal can be artificially controlled by changing the parameters of the plasma. To further investigate the influence of photonic crystals on electromagnetic wave transmission, a waveguide model with a plasma photonic crystal array structure is proposed in order to achieve modulation of electromagnetic wave transmission. This proposed model structure can achieve multiple frequency transmission points, making up for the shortcoming of single frequency point transmission in the W-band. Meanwhile, adding a plasma column to the center of defect vacancy in the gradient structure can limit the amplitude of electromagnetic waves and regulate the transmission of electromagnetic waves at different resonant frequencies. The results show that electromagnetic wave can achieve efficient transmission at multiple frequency points such as 85.2 GHz, 92.1 GHz, 98.5 GHz, 102.4 GHz, and 106 GHz without plasma interference, and transmission coefficients are greater than -0.42 dB. The construction of gradient structure can form different strong electric fields around the defect vacancy at the resonance frequency, resulting in gas breakdown and the generation of high-concentration microwave plasma, achieving effective control of the reflected power, transmitted power and absorbed power of electromagnetic wave. When the plasma concentration reaches the plasma frequency equivalent to the incident wave frequency, the electromagnetic wave can be transmitted with less loss in this period. When it achieves a considerable degree or higher, the electromagnetic wave will be rapidly absorbed or reflected by the high concentration plasma, and the transmission power will decrease rapidly, and finally stabilize at a low level. In addition, changing the size of the plasma column can further adjust the transmission characteristics of electromagnetic waves at different frequency points. This research can provide support for the transmission of high-frequency electromagnetic waves and the design of microwave devices.