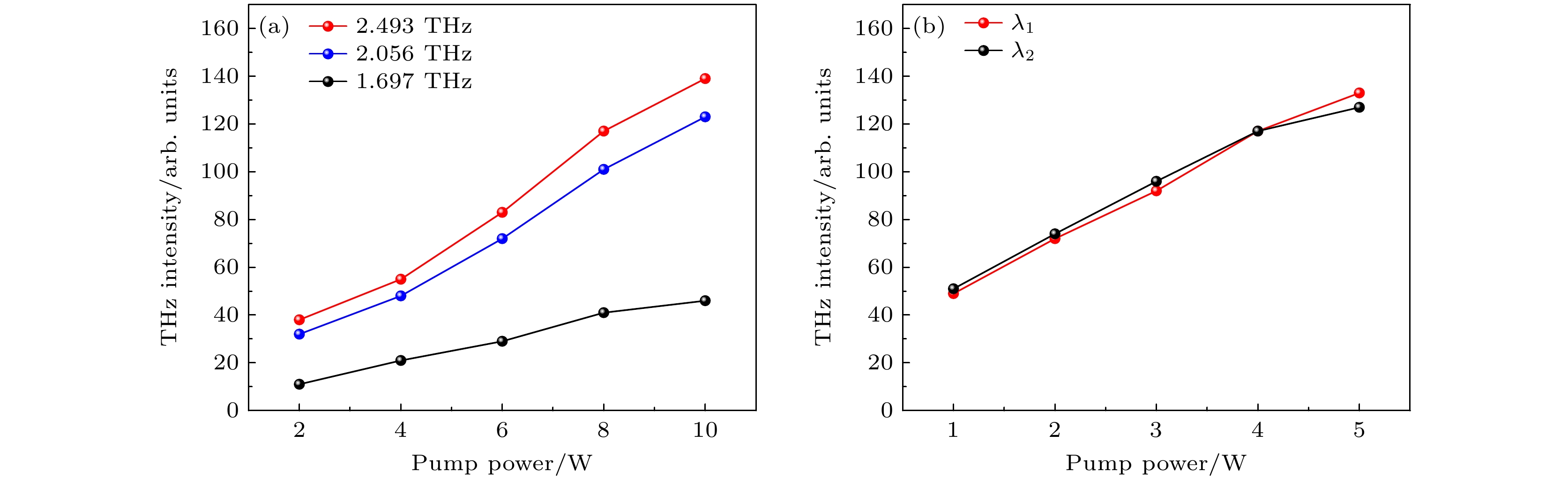
Terahertz (THz) waves have been widely investigated recently due to their ability to reflect the fingerprint characteristics of samples. As a promising method, THz technology has aroused great interest in various applications, especially biological imaging, environmental monitoring, non-destructive evaluation, spectroscopy and molecular analysis. In order to reveal the intramolecular vibration/rotation information of various compounds, the linewidths of their absorption lines are usually in a range of GHz or even MHz, and THz waves with wide tunability, narrow linewidth, high frequency accuracy, and high power stability are required. Currently, the linewidth with GHz level and low SNR at higher frequency still limit its further applications in reveal intramolecular information. In this work, the thermal distribution characteristics of DAST crystals based on diamond substrates under continuous laser pumping conditions are theoretically studied by COMSOL Multiphysics, and the effectiveness of diamond substrates in dissipating heat from DAST crystals is experimentally verified. Then, a narrow-linewidth and tunable organic-crystal continuous-wave terahertz source is demonstrated. Two narrow-linewidth continuous-wave (CW) fiber lasers are used as the pump sources for generating difference frequency. The terahertz wave is continuously tunable in a range of 1.1–3 THz. The maximum output power of 3.39 nW is obtained at 2.493 THz. The power fluctuation in 30 min is measured to be 2.19%. In addition, the generated THz wave has a high polarization extinction ratio of 9.44 dB. Using this CW-THz source for high-precision spectral detection of air with different humidity, the results correspond well with the gas absorption spectral lines in the Hitran database, proving that the CW-THz source has narrow linewidth, high frequency accuracy and stability. Therefore, it can promote the practical application of tunable CW-THz source, thus having good potential in THz high-precision spectroscopic detection and multispectral imaging.